【引言】
近室温制冷是当代社会不可或缺的技术。常规制冷技术是利用消耗臭氧的挥发性制冷剂(例如氯氟烃)进行蒸汽压缩制冷,然而其技术限制了其进一步发展。在过去几十年中,科学家和工程师一直在努力探索环保高效的制冷技术,用以取代传统的蒸气压缩式制冷,其中利用磁热材料的磁热效应(MCE)制冷被认为是一种有前景的制冷技术。然而将磁热材料应用于磁制冷,不仅要求巨大磁热效应,而且要求可逆性以及室温工作温度。由于磁结构变换参数具有相互依赖性,难以制备同时满足以上条件的Ni-(Co)-Mn-X磁性形状记忆合金。本文作者通过在Ni42-XTiXCo9Mn9Sn30合金中掺杂适量钛,进行了磁结构变换参数的协同调谐,在5T的磁场下,首次实现了最高的可逆磁化熵。
【成果简介】
近日,北京HTH官网地址 大学从道永教授(通讯作者)在Acta Mater.上发表了题为“Giant and reversible room-temperature magnetocaloric effect in Ti-doped Ni-Co-Mn-Sn magnetic shape memory alloys”的文章。在该文章中,研究人员通过多次电弧熔化高纯度组成成分,在有氩气保护的水冷铜炉制备Ni42-XTiXCo9Mn9Sn30的多晶纽扣锭。将获得的铸锭在真空的石英管中密封,并用氩气回填,然后在1223K下退火9小时,然后水淬。该合金在5T的磁场下,首次实现了最高的可逆磁化熵,并且具有良好的压缩性能,无毒,不含贵金属,在热循环期间表现出稳定的马氏体转变。
【图文导读】
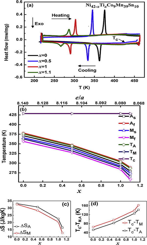
图一 性能表征

(a) Ni42-XTiXCo9Mn9Sn30的差热分析,Tc表示奥氏体的居里温度
(b) 马氏体转变温度和居里温度Tc分别作为Ti含量x和电子浓度e / a的函数
(c) 马氏体转变熵变;
(d) 居里温度和相变温度之差—Ti含量x 曲线;TC-TM:马氏体转变;TC-TA:可逆转变
图二 基本性质的测定

(a) 5T磁场下,Ni42-XTiXCo9Mn9Sn30的磁化强度-温度曲线;AS:初始转变温度;Af:结束转变温度
(b) 左轴:△M/△SA;右轴:诱导完全可逆相变施加的最小磁场
图三 晶体结构高能X射线衍射图

(a-b) Ni42-XTiXCo9Mn9Sn30合金高能X射线衍射图:(a)320K,奥氏体;(b) 220K,马氏体
(c-d) 不同状态Ni42-XTiXCo9Mn9Sn30高能X射线衍射图案演变:(c)加热状态;(d)冷却状态
图四 等离子体磁化分析

(a) 5T与0.05T磁场下,Ni42-XTiXCo9Mn9Sn30的磁化强度-温度曲线
(b) 5T与0.05T磁场下,磁化强度的温度依赖性
图五 等温磁化分析

(a) Ni42-XTiXCo9Mn9Sn30在不同温度增加和减少磁场第一周期和第二周期测量的磁化强度-磁场强度曲线;实线表示第一周期循环,短划线表示第二周期循环,虚线表示纯奥氏体和纯马氏体的磁化的外推
(b) 不同温度下的Arrott图
(c) 场诱导转变关键场的温度依赖性
图六 第一次循环周期磁热性能表征

(a) 0.05T-0.5T,奥氏体百分比-温度曲线
(b) 用不同方法拟合的磁化熵-温度曲线;TF_M(T):基于M(T)的转变分数曲线;TF_M(H):基于M(H)的转变分数曲线;C-C_M(H):基于M(H)的Clausius-Clapeyron关系曲线;Maxwell_M(H):基于M(H)的麦克斯韦关系曲线
(c) 在314K(奥氏体状态)和273K(0T下的马氏体状态)下测量的M(H)曲线
(d) 第一次循环周期不同温度下奥氏体百分比-磁场强度曲线
(e) 285 K,磁化熵-外加磁场曲线;实线(曲线1)和具有实心圆的实线(曲线2)表示使用以(d)中的点A作为初始点的TF_M(H)方法确定的曲线。具有空心圆的实线(曲线3)表示使用以(d)中的点B作为初始点的TF_M(H)方法确定的曲线。实心星表示用C-C_M(H)方法估计的数据。
图七 第二次循环周期磁热性能评估

(a) 第二次循环周期不同温度奥氏体百分比-磁场强度曲线
(b) 285 K,磁化熵-外加磁场曲线;红色曲线表示由(a)中的285K的f(H)曲线确定的结果;曲线I和II表示使用TF_M(H)方法确定的曲线,其中(a)中的点D选择为初始点;曲线III表示使用选择为(a)中的点E的TF_M(H)方法确定的曲线的初始点;深黄色曲线对应于图5a所示的第一场周期
(c) 外加场:0.05T-0.5T;拟合方法:TF_M(H);红色实心圆代表第二次所确定的可逆熵变;深黄色开放菱形代表第一次场循环所确定熵变
图八 可逆-温度曲线

外加5T磁场,可逆-温度曲线,且插图显示了Ni42-XTiXCo9Mn9Sn30合金在0T磁场情况下加热时测得的特等热容CP-温度曲线
图九 常见材料的磁化性能

5T磁场下,常见磁热材料可逆磁化熵-温度示意图
图十 室温应力–应变曲线

室温下Ni41Ti1Co9Mn39Sn10合金的应力应变曲线
图十一 热循环(110次)DSC曲线

Ni41Ti1Co9Mn39Sn10合金在经过110次冷热交替循环下的DSC曲线
【小结】
本文研究人员通过对Ni42-XTiXCo9Mn9Sn30磁性形状记忆合金中的磁结构变换参数进行协同调整,通过与Ti合金化,实现了巨大、可逆室温磁热效应。在5T磁场下,首次实现了Ni-Mn-Sn基Heusler合金最高的可逆磁化熵。当Ti含量达到1%时,马氏体相变温度降至室温,居里温度与马氏体相变温度之差增大,另一方面,热滞后(△Thys)和变换间隔(△Tint)的总和,即Af-Mf仅略微增加。因此,诱导完全可逆相变所需场大大减少。此外,合金不含贵金属、无毒、具有良好的压缩性能,并且在热循环期间表现出稳定的马氏体转变。所有这些优点使得该合金对于设计用于环境友好型固态冷却的高性能磁热材料至关重要。
文献链接:Giant and reversible room-temperature magnetocaloric effect in Ti-doped Ni-Co-Mn-Sn magnetic shape memory alloys(Acta Mater, June 8, 2017, DOI: org/ 10. 1016/ j. actamat. 2017. 06. 010)
本文由材料人编辑部陈炳旭编译,刘宇龙审核,点我加入材料人编辑部。
材料测试,数据分析,上测试谷!





