【引言】
层状材料由于其在基底和边缘处的各向异性所带来的独特化学和物理性能而受到材料研究人员的持续关注。在作为催化材料时,层状材料的不同位置,例如平面或边缘处,会对特定的化学反应有着不同的反应活性。因此,催化反应中反应活性位点的确认对于未来催化剂的设计以及对于今后通过提高增加反应位点来提高催化剂性能的工作有着重要影响。
【成果简介】
近期,斯坦福大学崔屹团队研究了利用电化学脱嵌所带来的增强效果确定钴酸锂(LCO)材料不同位置析氧反应活性的不同。通过理论计算,表明钴酸锂表面的锂析出是由于Co4+位点相较于Co3+位点数量增加。而析氧反应活性的改变可归因于氧2p电子的转移。在对于纳米片状LCO试验检测中,电化学脱嵌对在所暴露晶面中占绝大多数的(0001)面的析氧反应活性提升可忽略不计,但是在对主要暴露晶面边缘的纳米颗粒的检测中,电化学脱嵌却显著提升了材料的析氧反应活性。除此之外,该团队还应用电化学刻蚀方法在经电化学脱嵌的钴酸锂(De-LCO)上制造更多的活性位点,提高了材料的析氧反应活性,验证了之前的理论。本文所介绍的文章于2017年4月18日发表在美国化学学会会志(JACS)上,通讯作者为斯坦福大学教授崔屹。
【图文导读】
图一:LiCoO2/Li0.5CoO2体系析氧反应活性分布理论计算图和Li0.5CoO2表面结构

a: 通过理论计算得出的LiCoO2/Li0.5CoO2体系析氧反应活性分布图。每一个橙色(绿色)图标对应一个LiCoO2/Li0.5CoO2表面,其后的数字为理论计算的析氧反应过电位值。
b-f: 所研究的Li0.5CoO2表面结构示意图。图中着重标出了析氧反应媒介的位置。
说明:
在本篇文献中,作者首先描述了关于材料的理论计算结果。在材料所包含的晶面中,(0001)面在析氧反应中活性最低,而具有较高稳定性的(01-12 )和( 11-20)晶面被认为贡献了大多数析氧反应活性。为了验证这一设想,研究人员制备了片状LCO和颗粒状LCO两种不同的纳米结构。在LCO纳米片中,暴露的晶面主要是(0001)晶面,而在LCO纳米颗粒中,(0001)晶面暴露得较少,而边缘处暴露得较多。这样就可以通过比较两种不同形貌的材料的反应情况来确定具有反应活性的结构位点。
图二:所制备的LCO材料的形貌和晶格结构表征

a: 合成的LCO纳米片的TEM图像,比例尺为20nm。插图为LCO纳米片的SEM和SAED图像,比例尺为2μm。SEM和SAED图像显示出了所制备的材料具有片状的形貌以及晶面指数为(0001)的优先暴露晶面。
b: LCO和De-LCO纳米片在衍射角为18°-20°时的粉末X射线衍射数据。衍射峰蓝移表明电化学脱嵌取得成功。
c-d: LCO纳米片在电化学脱嵌之前和之后的高分辨率TEM图像,比例尺为1nm。这两张图表明优先暴露的(0001)晶面未受脱嵌过程影响。
e: 合成的LCO纳米颗粒的TEM图像,比例尺为20nm。插图为LCO纳米颗粒的SEM图像,比例尺为500nm。该SEM图像表明LCO纳米颗粒的表面暴露的晶面是随机的。
f: LCO和De-LCO纳米颗粒在衍射角为18°-20°时的粉末X射线衍射数据。
g-h: LCO纳米颗粒在电化学脱嵌之前和之后的高分辨率TEM图像比例尺为2nm。这两张图表明优先暴露的(0001)晶面之间的间距在脱嵌后增大了大约3%。
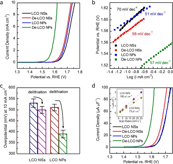
图三:磁、电学表征显示电化学脱嵌对于不同形貌的LCO的影响

a: 未经电化学脱嵌的经过电化学脱嵌的LCO纳米片和LCO纳米颗粒的极化曲线。根据表征结果,电化学脱嵌对LCO纳米颗粒的析氧反应活性有显著提升作用,但是对LCO纳米片却几乎无影响。这表明基底平面对析氧反应基本不具有活性,但是其它主要与之相反。
b: 四类样品的塔菲尔曲线。
c: 未经电化学脱嵌的经过电化学脱嵌的LCO纳米片和LCO纳米颗粒的过电位变化。
d: 未经电化学脱嵌的经过电化学脱嵌的LCO纳米片和LCO纳米颗粒的归一化极化曲线。其中插入的小图显示的是LCO纳米片和LCO纳米颗粒的双层电容测量曲线。
图四:LCO纳米片刻蚀过程示意图及刻蚀结果

a: 不同醋酸浓度条件下刻蚀对LCO纳米片影响的示意图。
b-c: 6%和10%浓度条件下刻蚀的LCO纳米片的SEM图像。
d: 原De-LCO纳米片和6%和10%浓度条件下刻蚀的LCO纳米片的析氧反应极化曲线,刻蚀过程对于反应活性的提高表明新生成的表面具有高的反应活性。
【小结】
本文作者利用理论计算和实验确认了LCO材料在未经脱锂处理和脱锂后的析氧反应活性晶面。其中,理论计算表明(0001)面在析氧反应中有大的过电位,反应活性小。而极化的(01-12 )和非极化的( 11-20)面则具有反应活性,且活性能被脱锂过程进一步增大。这种现象的出现可归因于Co4+的增加和与氧2p电子件强烈的共价偶联作用。在实验过程中,由电化学脱锂带来的析氧反应活性显著增加的现象只能在LCO纳米颗粒上被观察到,而LCO纳米片上未出现此类现象。造成这种差异的原因是LCO纳米颗粒上可暴露出更多的析氧反应活性位点。这种由反应活性位点暴露程度导致的差异进一步被LCO纳米片的酸刻蚀实验所证实。以上理论推测和实验结果均表明这是一种确定催化剂析氧反应活性晶面的有效方法。
文献链接:Identifying the active surfaces of electrochemically tuned LiCoO2 for oxygen evolution reaction (J. Am. Chem. Soc.,2017,DOI:10.1021/jacs.7b02622)
本文由材料人编辑部林海编译,黄超审核,点我加入材料人编辑部。
材料测试,数据分析,上测试谷!





