当前位置: 材料牛 » HTH官网地址 » 这篇Science有点冷:用于可持续制冷的有机离子塑料晶体

这篇Science有点冷:用于可持续制冷的有机离子塑料晶体

这篇Science有点冷:用于可持续制冷的有机离子塑料晶体

一、【科学背景】

研究人员预测未来二十年气候变暖将大幅增加,到2050年,能源需求将增加两倍,空调将成为电力需求的主要因素,同时将排放更多的温室气体。先进冷却技术的研发被视为降低空调能源成本的当务之急。固态热材料正在成为传统制冷剂的替代品,这些材料对压力变化等扰动表现出热响应。因此,它们的相关冷却系统可以按照与蒸汽压缩循环相同的热力学原理运行,同时避免使用高全球变暖潜势的工作流体,并提供更节能的制冷潜力,但相关的技术路线却未得到改进。幸运的是,气压热效应利用气压压热材料可以通过推动固体加压相变实现冷却,有着出色的节能潜力。但需要注意的是,目前很多材料受限于高转变温度和高驱动压力,仍需深入探索以供实际应用。

二、【创新成果】

基于上述挑战,近期澳大利亚迪肯大学Jennifer M. Pringle教授联合莫纳什大学Douglas R. MacFarlane教授联合设计了一种新的固体压热(BC)材料,称之为有机离子塑料晶体(OIPC)。OIPC显示出低于环境的转变温度,即所谓的“巨大”熵变,以及对压力的高灵敏度。通过离子的结构修饰,这些原型OIPC BC实现的压热响应是可调的,这种结构和功能组合的广泛矩阵表明了OIPC可作为高效和可持续冷却技术的新型材料。

具体来讲,过往研究表明在新戊烷衍生的塑料晶体的固-固(s-s)转变中发现了所谓的“巨大”熵变,接近现代流体制冷剂的性能,远远优于其他场驱动的热效应。尽管由于转变温度(Ts-s)对压力的高灵敏度,可以在中等压力下获得,但这些材料在冷却应用中的实际适用性受到其高于环境转变温度的阻碍。对可应用于上述材料的制冷循环的详细分析表明,在某些条件下,在家用制冷和空调的能源成本方面,气压热循环可以大大优于传统的蒸汽压缩循环。因此,有机离子塑料晶体(OIPC)(图1A)被研究人员提了出来,这些化合物以前在并没有用于气压热效应制冷。与分子塑性晶体不同,OIPC由阳离子和阴离子组成,其动力学在固-固转变过程中以复杂的方式变化。因此,它们的热性能是多种多样的,是压热应用的首选。OIPC中的可逆一级固-固转变通常发生在适合冷却应用的亚环境温度下,这使得它们对节能冷却技术极具吸引力。

形成OIPC的有机阳离子和阴离子范围很广。研究人员研究的OIPC中包含双(氟磺酰基)亚胺([FSI])或双(三氟甲磺酰基)酰亚胺([TFSI])阴离子(图1A)已被证明会产生非常明显的重取向动力学,这会导致固-固转变时的高熵变化。当这些阴离子与N-甲基-N-异丙基吡咯烷鎓([Ci3mpyr]+)和类似的阳离子偶联时(图1A),所得OIPC在低温下显示出固-固转变。研究人员报告了四个原型OIPC的气压热研究,并根据它们已知的热物理性质和转变温度进行了选择。

1 有机离子塑料晶体作为压热材料;© 2025 Science

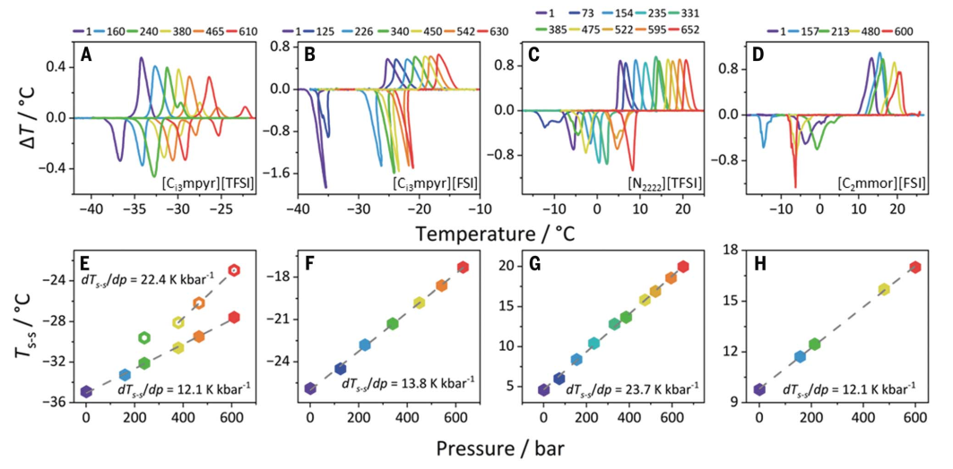
随后,研究人员分析了四种OIPC在不同压力下的HP-DTA曲线(图2)。结果发现,材料的转变温度(Ts-s)均为亚环境温度,范围为-37°C至10°C。静水压力对热性能的影响允许直接得出材料的一些气压热性能,包括转变温度对压力的敏感性(dTs-s/dp),其正梯度表明了传统的气压热效应。这些值与文献中已研究用于气压热应用的示例化合物相当,被认为是一些性能最好的材料,显示出优异的制冷潜力。

2 高压差热分析;© 2025 Science

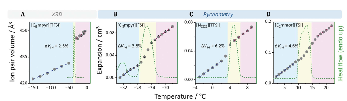
随后,研究人员通过固态核磁共振光谱、XRD和MD模拟等技术,研究了OIPC在塑性和低温相中的结构和动力学。这些揭示了固-固转变过程中不同分子运动的演变,通常包括旋转或重新取向运动以及阳离子和/或阴离子的扩散运动增加。塑性相中的自由体积是一种固有的材料属性,正电子湮没寿命谱提供了证据。在OIPC作为电解质的通常应用中,自由体积作为离子传导的基础得到了很好的研究,研究表明自由体积对压力热性能也非常有益。

3 体积变化测定;  © 2025 Science

研究表明决定任何压热材料适用性的关键参数被认为是:(i)适合应用的转变温度(大多数冷却应用的亚环境)和转变温度对压力的敏感性(dTs-s/dp);(ii)使相变可逆发生所需的压力变化;(iii)在压力循环中可以可逆地实现的熵变的大小。OIPC在固-固、无序相变过程中表现出较大的熵变和温度滞后现象(Thys),后者是实现可逆相变的重要因素。为了研究这些减少Thys的策略,研究人员研究了[C2mmor][FSI]中的有序-无序相变,该相变最初表现出最大的Thys。而在添加成核剂氧化铝(Al2O3)的八个连续加热和冷却循环中,平均结晶温度降至4.7°C(图4A)。与获得的数据相比,Thys降低了~50°C。[N2222][TFSI] 的结晶温度也有所提高(图4B)。令人意外的是,碳或石墨烯不仅能提高热性能,还可能因成核效应进一步降低Thys,为OIPC的实际应用奠定了基础。

4 实验参数对Thys的影响; © 2025 Science

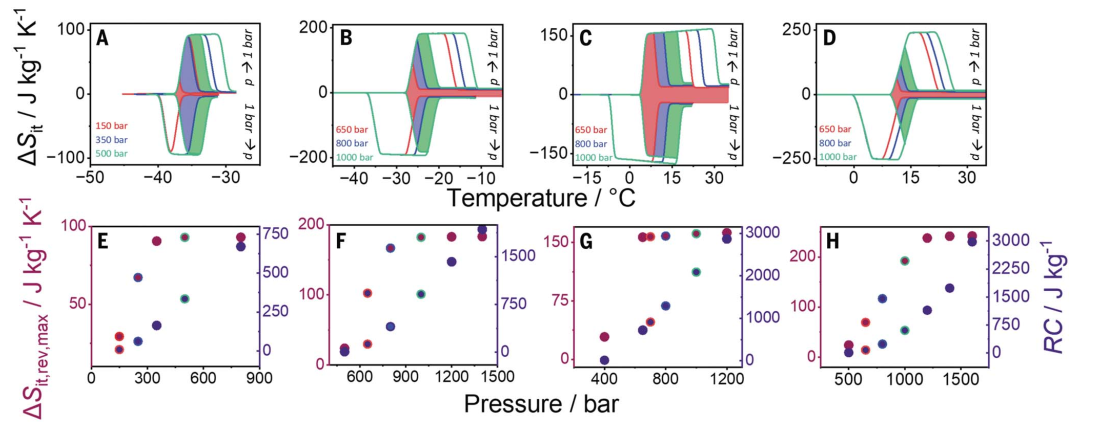
气压热性能指标研究表明,研究所用的各类材料在TS-S、熵变以及制冷能力(RC)方面性能出色。图5 的等压熵曲线表明较大压力范围内的熵变随压力增大直至达到极限值,与 DSC 分析一致。RC性能参数通常可用于通过计算给定压力变化(RC/p)下可实现的RC来比较压热材料。研究人员将这些OIPC在不同压力下计算的RC/p值与文献中的一些主要示例进行比较。结果发现,在1 kbar下,[N2222][TFSI]的RC压力归一化值为2.1 J kg−1 bar−1,与其他优异材料的压力归一化值相当。展现出了优异的应用潜力。

5气压热性能指标; © 2025 Science

该研究开发的OIPC代表了一个极具前景的压热材料家族,在施加适度的气压效应时可以经历高熵转变,文章以“Organic ionic plastic crystals having colossal barocaloric effects for sustainable refrigeration”为题发表在国际顶级期刊Science上,引起了相关领域研究人员热议。

三、【科学启迪】

综上所述,研究人员开发的OIPC在大多数冷却应用所需的亚环境温度下能够提供固-固转变。一些OIPC的转变温度非常低,这使得通过增加较低的工作压力,可以进一步调整转变温度以适应给定的应用。然而,这种范围会随着工作要求的增加而受到限制。所幸,研究人员已经证明,Thys的值对样品体积高度敏感,在实际应用中,在较大的样品尺寸下会减小Thys,并且可以通过添加添加剂进一步减小Thys。因此,有一些简单的策略可以在优化的设备中进一步提高OIPC的气压热性能指标。1、修改OIPC的两个取代离子的化学结构以定制相变性能的能力为优化压热性能提供了巨大的空间。2、探究相变自由度增加、离子结构和体积变化之间的关系,应该能深入了解造成巨大气压热反应的机制,从而在这种情况下进一步推进OIPC。考虑到材料的广泛范围,研究者认为基于OIPC的材料有可能为未来冷却技术的可持续发展做出重大贡献。

文献链接:Organic ionic plastic crystals having colossal barocaloric effects for sustainable refrigeration2025https://doi.org/ 10.1126/science.adq8396

 

本文由LWB供稿。

未经允许不得转载:材料牛 » 这篇Science有点冷:用于可持续制冷的有机离子塑料晶体

相关文章

Baidu
map