【研究背景】
沥青具有突出的性价比、良好的结构可调性以及高炭收率等优势,因此被认为是推动硬炭规模化生产的理想前驱体。然而,沥青的化学组成和结构十分复杂,不同沥青分子间的结构差异可能会影响沥青衍生硬炭的结构和电化学性能。尤其沥青分子性质和组成随着原油来源和生产方法的不同而多种多样,这对于后续硬炭结构和性能的调控以及大规模的生产是十分不利的,阻碍其“构效关系”的进一步研究。石油沥青的复杂性使得合理选择硬炭前驱体具有挑战性。因此迫切需要从沥青原料出发,充分了解沥青的组成和结构特征,考察原料组成对其衍生硬炭结构的形成以及电化学性能的影响具有重要意义。
【成果简介】
近日,中国科学院山西煤炭化学研究所陈成猛研究员、陈景鹏助理研究员等人以石油沥青为原料,利用甲苯和四氢呋喃对其进行了分级萃取获得不同分级沥青组分并进一步进行预氧化交联和炭化,获得面向钠离子电池应用的沥青衍生硬炭负极材料。系统地研究了沥青组分之间化学组成和结构的差异对其氧化反应历程、机制以及衍生硬炭结构和电化学性能的影响机制。研究发现,四氢呋喃不溶物能够富集极性氧官能团,从而增强其氧化活性,以获得更多的氧来构建丰富的三维交联结构,从而限制炭化过程中碳层的重排,扩大了层间距,促进了超微孔的发展和无序结构的形成。所制得的硬炭实现了储钠性能的全面提升。该论文发表在期刊《Carbon》,中国科学院山西煤炭化学研究所硕士研究生张旭峰为论文第一作者,陈成猛研究员、陈景鹏助理研究员为论文共同通讯作者。
【图文导读】
该工作以石油沥青为原料,利用甲苯和四氢呋喃对其进行分级萃取以获得不同分级沥青组分。利用元素分析、红外光谱以及固体核磁等说明沥青组分间的化学组成和分子结构差异。研究发现,沥青组分的分子结构均是以稠环芳香核为主体并连带着烷基侧链。与甲苯可溶物(TS)相比,四氢呋喃不溶物(THFI)具有较高的芳香度、较少且较短的烷基侧链以及丰富的极性氧官能团,如羰基、羟基和羧基等。沥青组分间的化学组成和结构差异直接影响了其后续的热解行为、衍生硬炭的结构和电化学性能。

图一 沥青组分的化学组成和分子结构
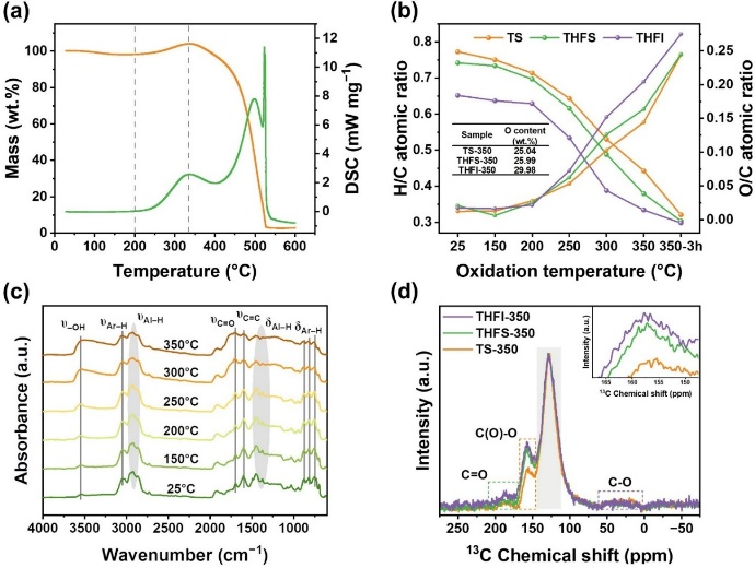
将沥青组分分别进行预氧化处理。利用元素分析、原位红外模拟氧化交联反应历程,结合X射线光电子能谱、固体核磁和热重质谱探究交联产物的化学组成、结构及失重行为,从而揭示沥青组分在预氧化过程中的反应历程及机制。研究发现,由于极性官能团的富集,THFI呈现出最高的氧化反应活性,其氧化产物中的C=O和O=C–O含量更高,建立了更为充分的三维交联结构,有利于后续硬炭结构的形成和发展。

图二 沥青组分的预氧化过程

图三 沥青组分可能的氧化反应路径
将氧化沥青组分进一步高温炭化。利用扫描电镜、透射电镜、X射线衍射谱、拉曼光谱以及孔结构表征等探究交联结构对硬炭微观形貌、晶体结构以及孔隙结构等的影响规律,进一步阐明沥青组分间结构差异对其衍生硬炭微观形貌和结构的影响机制。研究发现,THFI建立的三维交联结构有效地限制了炭化过程中碳层的重排,扩大了层间距,促进了超微孔的发展和无序结构的形成。因此,THFI衍生硬炭(THFI-1400)呈现出较大的层间距、更为无序的微晶结构以及发达且连通性好的超微孔结构,有利于储钠性能的进一步提升。

图四 沥青组分衍生硬炭的微观形貌表征

图五 沥青组分衍生硬炭的微晶结构表征
以沥青组分衍生硬炭为负极材料组装扣电进行电化学性能测试,建立沥青组分衍生硬炭结构与储钠性能间的构效关系,进一步阐明沥青组分间结构差异对其衍生硬炭电化学性能的影响机制。研究发现,THFI-1400呈现出出色的储钠性能:高的可逆容量(30 mA/g时可逆容量为309.7 mAh/g)、高首次库伦效率(90.96%)、优异的倍率性能(1 A/g时为209.8 mAh/g)和超长循环寿命(1 A/g时循环500次后为205.3 mAh/g)。

图六 沥青组分衍生硬炭的电化学性能测试
【文章链接】
链接:https://doi.org/10.1016/j.carbon.2024.119165
题目:Insight into the effect of structural differences among pitch fractions on sodium storage performance of pitch-derived hard carbons
所有作者:
Xufeng Zhang, Zonglin Yi, Yanru Tian, Lijing Xie, Fangyuan Su, Xianxian Wei, Jingpeng Chen*, Cheng-Meng Chen*
DOI号:10.1016/j.carbon.2024.119165





