当前位置: 材料牛 » HTH官网地址 » 天津大学 2024首篇 Nature 半导体石墨烯新突破!

天津大学 2024首篇 Nature 半导体石墨烯新突破!

近年来,传统硅基材料的发展已逐渐接近摩尔定律的极限。为了进一步提高材料性能,亟需寻找新的材料或者采用创新的制备方法。例如,考虑采用二维材料、有机材料或新型合金等替代传统硅基材料,以期在性能上实现更大的突破。作为最具代表性的二维材料之一,石墨烯因其卓越的性能长期受到学术界的青睐。尽管石墨烯以其独特的狄拉克锥能带结构而备受瞩目,但这种结构导致了无带隙的特性,限制了其在逻辑电路中的应用潜力。因此,在石墨烯的研究和开发领域,寻找和实施有效调制石墨烯带隙结构的策略,已成为一个至关重要的科学挑战。

当前,实现石墨烯带隙打开的策略涵盖了栅压调控、化学修饰、缺陷工程及外部场效应调控等多种外部干预手段。然而,这些方法在技术执行层面面临重大挑战,且难以确保在大规模生产环境下的重复性与均一性。这些问题显著阻碍了基于石墨烯的半导体材料及其器件在工业领域的应用和推广。

天津大学天津纳米颗粒与纳米系统国际研究中心的马雷教授及其科研团队,日前在半导体石墨烯领域取得了显著进展。该团队的研究成果以“Ultrahigh-mobility semiconducting epitaxial graphene on silicon carbide”为题,已于2023年10月31日在Nature杂志上被接收,并于2024年1月3日在该杂志网站上发布。

本工作实现了三方面技术革新:首先,采用创新的准平衡退火方法,该方法制备的超大单层单晶畴半导体外延石墨烯(SEG),具有生长面积大、均匀性高,工艺流程简单、成本低廉等优势,弥补了传统生产工艺的不足;第二,该方法制备的半导体石墨烯,拥有约600 meV带隙以及高达5500 cm2V-1s-1的室温霍尔迁移率,优于目前所有二维晶体至少一个数量级;最后,以该半导体外延石墨烯制备的场效应晶体管开关比高达104,基本满足了现在的工业化应用需求。

天津大学博士生赵健、博士生纪佩璇、硕士生李雅奇、博士生李睿为共同一作,天津大学马雷教授作为本文的通讯作者,佐治亚理工学院的Walt A. de Heer教授作为共同通讯作者,天津大学为第一单位。天津大学学生:张凯敏、田昊、于凯丞、边博岳、郝路珍和肖雪共同参与了此项研究工作。

图1. SEG制备过程 (a) CCS感应加热炉示意图,其中两个3.5 mm × 4.5 mm的SiC晶片位于一个封闭的圆柱形石墨坩埚内,坩埚通过线圈内的高频电流感应加热。(b) 两个晶片堆叠,底部晶片的C面(源)面向顶部晶片的Si面(种子层)。在高温下,晶片之间的轻微温差导致从底部晶片向顶部晶片的净质量流动,从而通过台阶流动在种子晶片上生长出大的平台,并在这些平台上生长出均匀的SEG薄膜。(c) SEG三阶段生长流程图。第一阶段(I)真空中,将晶片加热至900 ℃并维持约25分钟以清洁表面;第二阶段(Ⅱ),在1 bar的氩气中加热到1300 ℃并维持约25分钟,产生一系列双层SiC台阶和约0.2微米宽的平台。第三阶段(III),在1 bar的氩气中1600 ℃下,台阶聚束和台阶流动产生大的原子级平整度的平台;这些平台上,在C面和Si面之间建立的准平衡条件下生长出缓冲层。这种大面积的覆盖范围是因为生长SEG的(0001)平台具有非常高的稳定性。

传统的外延石墨烯和缓冲层是在控制约束升华(CCS)炉中生长的,首先将其中一块3.5 mm ×4.5 mm的半绝缘SiC晶片置于一个圆柱形石墨坩埚中,并在1 bar的氩气氛围下退火,温度范围从1300 °C-1600 °C (如图1c所示);坩埚盖设有泄漏孔,硅从坩埚中逸出的速率决定了表面石墨烯形成的速率。通过这种方式有效地控制了生长温度和石墨烯形成的速率。如果将泄漏孔封闭,则石墨烯生长会受到强烈抑制。在所谓的“三明治”或“面对面”方法中,石墨烯的生长进一步受到抑制,在这种方法中两个晶片通常堆叠起来,其中一个晶片的Si面面向另一个晶片的Si面。在1 bar的氩气中,几乎没有硅能从晶片之间的微米级间隙中扩散出来,因此即使在高温下Si从表面的蒸发率很高,也能维持1:1的Si:C比例。在这些条件下,观察到显著的台阶流动和台阶聚束现象。台阶聚束是指由于晶体沿(0001)面的小角度错切而导致衬底表面台阶的合并,形成由比例高平台包围的大型原子平坦(0001)平台的过程。

当 Si 面与 C 面相对时,在 1 bar 超纯净的 Ar 气氛围中和 1600 ℃左右的温度下生长出表面覆盖有缓冲层的大型原子平整度的平台(如图1所示)。虽然在T > 1600 °C时Si的蒸汽压力占主导地位,但Si₂C和SiC₂的蒸汽压力已经足以促进从C面到Si面的显著SiC传输。这一过程与传统的非平衡CCS方法形成对比,传统方法中Si面上不断耗尽Si元素。最初的实验由天津大学国际纳米中心课题组使用半绝缘SiC晶片进行,其中底部晶片(图1)被涂上有机物以产生大的覆盖有SEG的(0001)面平台,石墨化的有机物可能会导致底部晶片变得稍微温度高一些。

在C面对Si面的情况下,温度较高的C面上形成了一层薄的Si膜,而大的SEG生长在Si面上。因此,从Si面缺失的Si实际上可能会在C面上凝结,以恢复整体的化学计量比。无论如何,此方法只形成了SEG,没有发现石墨烯存在的证据。我们还发现,当温度梯度反转,使Si面比C面温度更高,且质量传输是从Si面(源)到C面(种子)时,在Si面也会形成大的覆盖有SEG的平台。显然,在这种反向晶体生长中,衬底台阶从源头处蒸发,在Si面上留下大的(0001)平台。此外,在Si面对Si面的情况下,我们发现大的覆盖有SEG的平台形成在温度较高的Si面上,而不是温度较低的Si面上。此外,在使用单一晶片的实验中,且在坩埚中引入大量硅以在坩埚中产生饱和硅蒸气环境时,晶片的Si面部分被SEG覆盖,而在C面上没有发现石墨烯。

实验结果表明,覆盖有SEG的(0001)面极其稳定,比任何其他SiC面都稳定,特别是比裸露的(0001)面更稳定,这为生产出晶圆级别的单晶SEG提供了重要依据。

图2. 半导体石墨烯的表征, (a)完整的3.5 mm4.5 mm的复合电子显微镜图像。 扫描电子显微镜(SEM)被调整以在SiC(白色区域)和SEG(灰色区域)之间提供鲜明对比。大约80%的表面被SEG覆盖。石墨烯显示为非常黑暗的斑点(这里看到的黑点是灰尘颗粒)。最大的无台阶区域约为0.5 mm0.3 mm。(b) SEG的低温原子分辨扫描隧道显微镜(STM)图像,显示了石墨烯蜂窝晶格结构(绿色),其在(66)SiC超周期结构(红色菱形;紫色六边形)上有空间调制,对应于SEG高度调制,由于与衬底形成的共价键。(c) SEG的低能电子衍射(LEED)图,显示了SEG晶格的特征衍射图案,揭示了其石墨烯晶体结构和SEG与SiC衬底原子的晶体学对准。在传统生产的缓冲层样品中,通常会有石墨烯存在。(d) 50 µm50 µm区域的拉曼光谱图,具有1 µm分辨率,测量了2680 cm-1和1620 cm-1处的I2D/IG强度比,对于石墨烯,I2D/IG ≈ 2。红色箭头对应于在mapping图中的2500个光谱中强度比最大的位置处采集的拉曼光谱,表面上没有任何石墨烯信号。(e) SEG的低温扫描隧道光谱(STS),显示SEG的0.6 eV的带隙(蓝线)与SEG的计算态密度(DOS)对比(红色虚线)。在带隙中没有可观测的剩余态,表明杂质态密度很低。

在100纳米至1毫米的尺度上,扫描电子显微镜(SEM)可以提供高对比度,以区分裸露的SiC、SEG和石墨烯。在纳米尺度上,通过其(6×6)SiC调制,可以利用扫描隧道显微镜(STM)分辨出石墨烯和SEG的原子结构。低能电子衍射(LEED)用于识别SEG并验证其与SiC衬底的原子级对准,LEED还用于区分SEG和石墨烯。拉曼光谱(1微米至100微米)对石墨烯和SEG非常敏感,没有2D特征峰存在说明不是石墨烯。侧向力显微镜(LFM)在微米尺度的扫描中区分SEG、SiC和石墨烯。原子力显微镜(AFM)、扫描电子显微镜(SEM)和光学显微镜(OM)可识别表面台阶。AFM用于测量台阶的高度。图2e为半导体石墨烯的低温扫描隧道谱,显示出SEG的态密度(DOS)作为费米能量的函数,具有明确定义的0.6 eV带隙。

图3. SEG 的Hall bar的输运特性,在室温下通过氧气进行p掺杂。(a) 在低温下,电导率较小,并在室温下增加,最高可达5×10-3 S(200 Ω/m2)。这种增加被归因于表面吸附的单层O2的电离增加,以及与样品相关的杂质态密度的增加。S9是通过转移4个金膜电极覆盖未经处理的带状样品制备的。(b) 随着温度升高,电荷密度增加。(c) 通过Arrhenius图,n与1/T(d)的关系,显示了一致的斜率,激活能为120 meV,这归因于强吸附在SEG上的O2的阴离子化;斜率变化是由于介电性能的变化,可能是由表面污染引起的。线性外推到1/T=0时,提取到约1500×1012 cm-2,接近O2的单层密度(红圈)。S3的低温斜率较小,与残留光刻胶的60 %覆盖率和10 meV的激活能一致,略微p掺杂了SEG。(d) 随着温度升高,霍尔迁移率通常会增加,迁移率范围从2-5500 cm2V-1s-1不等。迁移率通常随温度增加而增加,这是由于电荷密度增加所导致的。(e) 对吸附氧单层的电离过程的示意图。(f) 掺杂的SEG的输运特性可以解释为从带隙中局部态的低迁移率跃迁输运到高迁移率带输运,这里以电子输运(空穴输运在形式上是等效的)来解释,这个过程与产生带隙中局部杂质态的半导体中的输运基本相同,正如在低电荷密度和温度下产生的缓冲层中观察到的,费米能级位于带隙中(EF1),输运由从局部态到局部态的跃迁主导,导致低迁移率。如图(b)所示,电荷密度随温度升高而增加,导致费米能级最终升高到导带边缘(EC)之上,使输运转变为高迁移率的带输运。因此,转变电荷密度(以及转变温度)取决于缺陷密度,S4约为0.27×1011 cm-2,S3约为4.3×1012 cm-2,S2约为17 × 1012 cm-2

对使用两种不同方法图案化SEG的Hall bar进行了一系列输运测量。样品在环境空气中或纯O2中,并在紫外线(UV)辐射下进行了p型掺杂。通过这种方式,实现了室温下的电荷密度n从4×1012 cm-2到4×1013 cm-2。测量在配备有超导磁体的低温杜瓦中进行,温度范围从100 K到300 K不等。在每个温度下,磁体的磁场从B = -3 T扫描到 +3 T,用于进行霍尔测量以确定电荷密度。

样品的电导率(图3a)都随着温度升高而单调增加,当温度由室温降至低温时,电导率的数值小了近1000倍。电荷密度(图3b)范围从≈0.2×1012 cm-2到40×1012 cm-2不等。STS测量(图2e)显示SEG在本质上是电中性的,因此掺杂是由环境气体(包括微量挥发性有机化合物)和光刻加工残留电阻引起的。迁移率(图3d)随着温度升高而增加,趋向于在较高温度时饱和,最大迁移率为5500 cm2V-1s-1。电荷密度的半对数图,绘制为 104/T 的函数(图3c)清楚地显示了Arrhenius的行为,掺杂密度为n的p型半导体由下式给出:   (公式1)

这里的k为玻尔兹曼常量,EF为费米能级,EA为受主能级,g为受主简并度,低温下g = 1  (EA-EF>>kT)。

                                   (公式2) 

公式1是从半导体中受体的电离推导出来的,但对于在二维表面上电离中性分子的热力学性质类似。从图3c中得出,ΔE= 0.12±0.02 eV,N0≈1.5×1015cm-2,这接近于O2的单层密度(即1400×1015 cm-2,图3c中的红色圆圈)。实验结果证实了p掺杂是由于近似完整的氧气单层引起的这一假设。ΔE和N0的变化是由于部分覆盖的微量环境挥发性芳香分子引起的,这些分子容易被吸附在石墨化材料上,降低了氧气覆盖率并影响其电离能。在样品S1(图3d)中观察到的斜率变化是由残胶引起的,这导致SEG在低温下p掺杂,从斜率确定其ΔE = 0.035 eV。

样品S2、S3和S4的迁移率显示出急剧上升,在转变温度Ttr分别为250 K、190 K和150 K时出现平台。相应的转变电荷密度ntr分别为17×1012 cm-2、4.3×1012 cm-2和0.27×1012 cm-2。低电荷密度下的迁移率是由带隙中的局部缺陷态引起的(图3 e和f),随着电荷密度的增加局部态被填充,之后输运过渡到高迁移率的带输运,因此ntr是缺陷态密度的度量。这一过程已在其他二维半导体中观察到,并且它对于薄膜晶体管的亚阈值上升有贡献;在CCS生长的半导体石墨烯中,带隙内的输运已被确定为可变程跳跃。

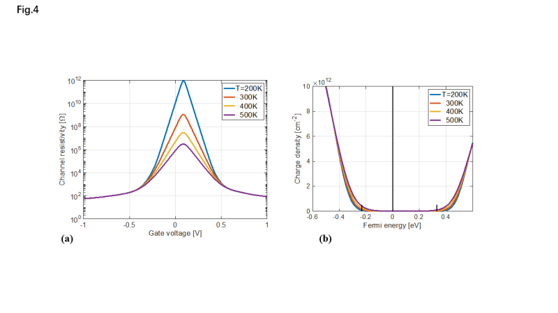
图4 (a) 通过计算态密度预测的SEG沟道电阻率,假设理想的介电常数下SEG的迁移率为4000 cm2V-1s-1,室温开关比预测超过106。(b) 电荷密度与费米能级(EF)的关系图。预测在T = 300 K时,N和P分支的开启电压分别为+0.34 V和-0.23 V。

通过测量半导体特性和态密度,我们可以预测场效应管的响应(图4),沟道电导可以表达成σ(Vg)=nee+ nhh,这里的ne是电子密度和nh是空穴密度。

          (公式3)

在这里,Fe和Fh分别是电子和空穴费米函数,密度态D(ε)来自图2b中的红色虚线。在μ = 4000 cm2V-1s-1的情况下,开关比为106 (图4a),亚阈值摆幅(SS)为60 mV/ decade(图4b),这足以满足数字电子学的要求。

结论与展望 

在主流石墨烯研究兴起之前,外延石墨烯纳米电子研究的核心目标就是构建一个能够替代硅电子的2D纳米电子平台。普遍认为,石墨烯的零带隙结构是实现这一目标的主要挑战。本文证明原子排列高度有序的半导体石墨烯是一种性能优异的2D半导体材料,具有0.6 eV的能隙,室温下的迁移率远远超过所有当前的2D半导体材料。以SEG为沟道的场效应晶体管的开关比为104,在优化的器件中可能达到106。除了迁移率已经达到5500 cm2V-1s-1,SEG是在THz兼容的SiC衬底上生长的,SiC本身已经成为越来越重要的商业半导体,与传统的微电子加工方法兼容。此外,外延石墨烯具备纳米图案化的能力,与其他衬底上的石墨烯相比,在纳米尺度上的边缘结构更加有序,在其边缘同样可以表现出良好的一维导电特性。SEG可以与各种原子和分子进行插层反应,成为新型电子和磁性材料。这项工作成功地攻克了长期以来阻碍石墨烯电子学发展的关键技术难题,打开了石墨烯带隙,实现了从“0”到“1”的突破,这一突破被认为是开启石墨烯芯片制造领域大门的重要里程碑。毫无疑问,SEG已经为2D纳米电子领域带来了全新的可能性,其潜力之巨大,让人相信在不久的将来,它将迎来商业化的曙光。

纳米中心介绍

纳米中心于2018年7月正式挂牌成立,中心执行主任为马雷教授。中心依托天津大学深厚的学术底蕴和多学科的综合优势,致力于营造国际化的学术创新环境,建成石墨烯电子学与团簇物理学领域世界一流的国际化研究平台,为祖国培养锐意进取敢为人先、具有科研创新精神的研究型人才,服务国家重大战略需求,取得国际一流的研究成果。

作为世界上最为先进的外延石墨烯研究中心之一,能够实现碳化硅任意晶面的切割、磨抛、大面积全覆盖单层石墨烯的生长以及器件制备的全套工艺流程。利用相关工艺,本实验室与浪潮开展了量子芯片制造工艺的合作研发、承接了中国HTH官网地址 大学碳化硅石墨烯量子点太赫兹探测器的研制工作。本实验室利用该工艺技术在世界上首次成功制备SiC非极性面大面积生长的单晶单层外延石墨烯。由于该材料具有的超过20微米的室温弹道自由程和电子相干长度,为未来量子计算机在室温下实现带来了新的曙光。

在团簇物理学研究领域,纳米中心先后独立设计并建造了多套以大型质谱仪与光电子能谱仪为代表的大型仪器设备,包括一套第四代中性纳米团簇电/磁偏位置灵敏飞行时间质谱仪、一套低温高分辨双反射式飞行时间质谱仪联用角分辨激光光电子能谱装置、世界上第一套集成角分辨能谱仪的小型静电储存环、一套用于尺寸原子级分辨的支撑纳米催化性质在线研究的团簇沉积系统以及超高真空及环境控制的二维材料在线生长与慢电子衍射及俄歇电子谱联用系统。更重要的是,上述各套谱仪中所使用到的技术已经实现完全自主可控的且达到国际一流水平

未经允许不得转载:材料牛 » 天津大学 2024首篇 Nature 半导体石墨烯新突破!

相关文章

Baidu
map