有机-无机钙钛矿太阳能电池 (PSC) 的功率转换效率 (PCE) 已达到 25.7%。因此被认为是下一代光伏市场的主导者。迄今为止,已经报道了带隙在 1.2 和 2.3 eV 之间的 PSCs。虽然具有窄带隙值的单结 PSCs 自 2014 年以来受到了广泛的关注,然而作为钙钛矿材料的一员,宽带隙钙钛矿 (WBG-PVK) 也不容忽视,因为它对于串联太阳能电池很重要。截至目前,钙钛矿/钙钛矿串联的效率已达到28%。为了提高串联电池的效率,必须提高顶部和底部电池的效率。
近日,日本国立电气通信大学沈青教授 (Qing Shen)和早瀬修二教授 (Shuzi Hayase)团队在Advanced Functional Materials上发表了题目为 “Perovskite Solar Cells Consisting of PTAA Modified with Monomolecular Layer and Application to All-Perovskite Tandem Solar Cells with Efficiency over 25%” 的研究文章,该文章报道了使用一系列具有不同烷基链长度的单分子层来修饰PTAA空穴传输层,提高了基于PTAA的宽带隙(1.77eV)钙钛矿太阳能电池的效率。同时,相应的全钙钛矿叠层电池也取得了25.24%的效率。


图 1. a) 用于表面改性的器件结构和分子结构以及单分子的化学结构。 b) PTAA 和 4,3BuPACz 之间的化学相互作用示意图。 c) 在用单分子层修饰的 PTAA 上生长的 WBG 钙钛矿的晶粒尺寸分布。 d) 在用单分子层修饰的 PTAA 上生长的 WBG 钙钛矿的晶格应变。e) 在用单分子层修饰的 PTAA 上生长的 WBG 钙钛矿的 Urbach 能量。

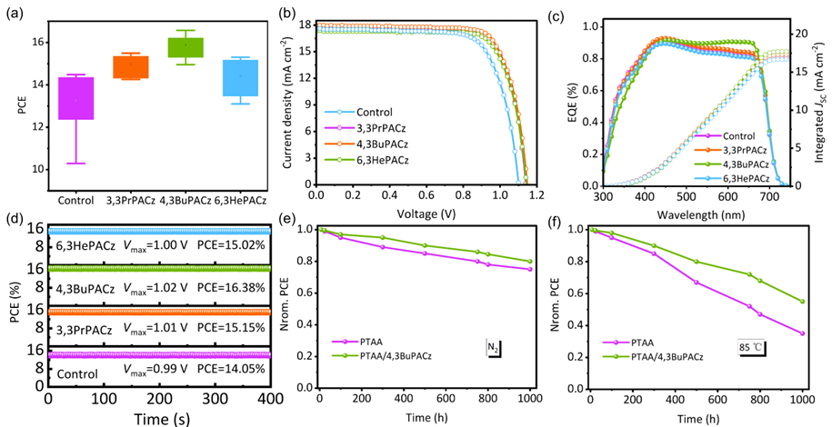
图 2.在 PTAA,PTAA/3,3PrPACz,PTAA/4,3BuPACz 和 PTAA/6,3HePACz基底上制造的PSC 的a) PCE 统计分布图,b) J-V 曲线, c) IPCE 曲线和 d)稳态效率随时间的变化。 e) 在 PTAA 和用 4,3BuPACz 改性的 PTAA 上制造的 PSC 在室温下储存在充满氮气的手套箱(无封装)中的 N2 稳定性。f) 在 PTAA 和用 4,3BuPACz 改性的 PTAA 上制造的未封装 PSC 的热稳定性,在黑暗中保持在 85 ℃ 的氮气手套箱中。

图 3. a) 在 PTAA,PTAA/3,3PrPACz,PTAA/4,3BuPACz 和 PTAA/6,3HePACz基底上制造的PSC 的 VOC 与光强度的关系,b) TPV 衰减曲线和 c) TPC 衰减曲线。 d) 器件的能带排布示意图。

图4 a) 全钙钛矿串联太阳能电池的结构。 b) 串联太阳能电池的 J-V 曲线和 c) IPCE 曲线。
总之,作者合成了几种新的单层分子(3,3PrPACz、4,3BuPACz 和 6,3HePACz),并评估了其作为 PTAA 修饰层的效果。结果表明,具有四个碳作为间隔基团的 单层分子给出了最好的结果。 实验结果表明,引入4,3BuPACz后,钙钛矿薄膜的质量(晶粒尺寸和针孔密度)有明显改善。单层分子的引入减少了器件中的非辐射复合,降低了钙钛矿和 HTL 之间的能带差距,促进了 HTL 的电荷收集。 最后,基于4,3BuPACz 修饰的 PSC 实现了 16.57% 的PCE,同时串联太阳能电池的 PCE 为 25.24%。 这项工作表明,用 单分子层修饰PTAA 可以提高宽带隙的 Pb-PSC的效率。
相关论文发表在 Advanced Functional Materials上,日本国立电气通信大学博士生毕欢(ORCID: 0000-0001-7680-9816)为第一作者,早瀬修二教授和沈青教授(ORCID: 0000-0001-8359-3275)为通讯作者。
文献链接
Citation: Bi, H., Fujiwara, Y., Kapil, G., Tavgeniene, D., Zhang, Z., Wang, L., Ding, C., Sahamir, S. R., Baranwal, A. K., Sanehira, Y., Takeshi, K., Shi, G., Bessho, T., Segawa, H., Grigalevicius, S., Shen, Q., Hayase, S., Perovskite Solar Cells Consisting of PTAA Modified with Monomolecular Layer and Application to All-Perovskite Tandem Solar Cells with Efficiency over 25%. Adv. Funct. Mater. 2023, 2300089. https://doi.org/10.1002/adfm.202300089
本文由作者供稿





