一、导读
锂离子电池(LIBs)具有长循环寿命、高能量和功率密度,是电子产品和交通运输电源的主要储能技术。然而,“热失控(TR)”等安全失效问题会阻碍LIBs的快速发展。LIBs的热失控通常由放热反应引起,失控后LIBs在短时间内释放大量的热量。除高温外,LIBs滥用或老化还可能导致燃烧或爆炸。大规模LIBs的TR可能是毁灭性的灾难。大多数情况下,TR是源于各种滥用,包括电气滥用(包括短路、过充、过放电或快速充电)、机械滥用(包括挤压、碰撞或穿透)和热滥用。因此,了解LIBs的TR过程和机制对于缓解TR至关重要。
二、成果掠影
清华大学何向明教授简要回顾了近20年来LIBs的TR研究进展,并对近年来在材料/电池/模块水平上,不同阴极的LIBs的TR机制的研究进展进行了讨论。作者提出了LiNixMnyCo1‐x‐yO2 (NMC)‐基LIBs最新的加速量热计(ARC)数据,并重新思考液态电解质在TR中的作用。最后,研究讨论了目前最常见的TR机制知识,并简要总结了缓解TR的策略。
相关研究工作以“Trends in a study on thermal runaway mechanism of lithium‐ion battery with LiNixMnyCo1‐x‐yO2 cathode materials”为题发表在国际知名期刊Battery Energy上。

三、核心创新点
1.作者简要回顾了LIBs的TR研究进展,并对不同阴极LIBs的机理研究进行了综述。最后讨论了目前最知名的研究TR机制的知识,并简要总结了缓解TR的策略。
2.作者认为热化学和热物理的研究领域需要分别关注多尺度下的化学反应和热传导,并聚焦电化学方法、热化学分析方法、先进微结构/谱学表征和失效电池“逆向解析”,提出了未来开展的研究工作的方向。
四、数据概览

图1锂离子电池热失控机理研究历程示意图©2022 The Authors
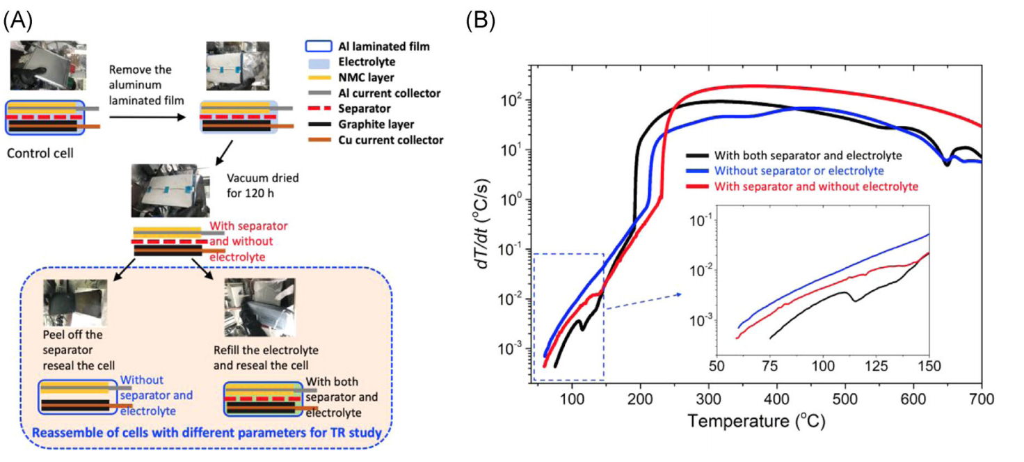
图2 (A)用于TR研究的不同参数的电池重组过程示意图。(B) ACR TR试验控制单元和三个特殊修饰单元的温度速率与绝对温度的关系。©2022 The Authors
插图是用破折号标记的区域的放大图。ARC,加速量热计;TR,热失控。
图3 NMC LIB的TR机理研究的有前景的方法示意图。©2022 The Authors
两个半透明的循环分别显示了热化学和热物理的两个类别,分别侧重于反应和热传导。四个角块图介绍了电化学测量、电弧TR测试、高级表征和死后分析的方法。ARC,加速量热计;TR,热失控。
五、成果启示
基于NMC LIBs的TR研究进展和本文提供的数据,作者认为液态电解质在TR过程中可以作为氧缓速剂,在TR后期阻碍氧触发的强烈放热反应。本文对未来的研究进行了展望,并提出了有前景的研究方法。
1.TR的研究可分为两类:热化学和热物理,分别侧重于化学反应和热传导。热化学涉及到在多尺度上对中间产物和材料变化的高精度表征,而热物理涉及到在多尺度上对热过程中热传导和其他参数的高精度测量和模拟。
2.多尺度X射线计算机断层扫描、4D纳米断层扫描和高速成像技术是了解电池故障的综合方法。原位同步加速器X射线技术与原位质谱技术相结合,可以表征锂化石墨阳极在加热过程中的固体电解质膜固体电解质界面(SEI)分解、气体释放和锂浸出,证明了它们在界面演化研究中的作用。由于TR过程中电化学和热表征的数据量非常大,仿真需要由机器学习支持的高精度数据驱动计算模型。对于ARC TR测试,研究人员应开发高精度的量热技术和合理的ARC测试设计。此外,使用液氮终止TR等悬浮技术可以帮助了解不同的TR阶段。
3.逆向解析值得更多的研究努力,因为多尺度断层扫描方法可以用于揭示显著的形态和相位变化,例如SEI和正极电解质界面(CEI)的演化可以通过逆向解析cyro-TEM或NMR技术来描述。此外,重组电池可以区分不同成分的降解贡献,如阴极、阳极、分离器、电解质等。
原文详情:https://onlinelibrary.wiley.com/doi/10.1002/bte2.20210011
本文由张熙熙供稿。





