当前位置: 材料牛 » HTH官网地址 » 中国科学技术大学教授孙学峰研究组:链状自旋铁电体系结构研究取得新进展

中国科学技术大学教授孙学峰研究组:链状自旋铁电体系结构研究取得新进展

【成果简介】

中国科学技术大学教授孙学峰研究组的博士史俊借助稳态强磁场实验装置变温X射线衍射仪(XRD)和拉曼光谱仪设备,对链状自旋体系Ca3Co2-xMnxO6的电磁行为、铁电性质、结构变化等进行了深入的研究,并取得了新进展。

【图文导读】

图1 链状自旋体系Ca3Co2-xMnxO6随温度变化的XRD谱和Raman谱

随着温度的降低,不会出现额外的衍射峰,表明没有结构相变。

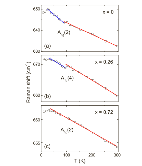
图2 拉曼峰位置变化

这些线条在某些温度条件下几乎线性依赖,偏离这些线性行为则出现异常现象。

【研究内容】

由于在电磁、自旋电子学、磁存储等领域具有潜在应用价值,多铁材料引起了广泛的关注。Ca3Co2-xMnxO6(x ≈ 1)是一个典型的磁场驱动铁电体系。它的结构是由沿着c方向的CoO6三棱镜结构和MnO6八面体交替共面而形成的一维自旋链,Co2+和Mn2+都处于高自旋态。由于很强的链内耦合作用和类伊辛各向异性作用,这一体系可以用一维伊辛模型来描述。在链内,由于近邻的铁磁耦合和次近邻的反铁磁耦合的竞争,导致自旋呈现“向上-向上-向下-向下”的反铁磁结构。交替的Co2+和Mn2+离子形成磁有序结构打破反演对称性,从而在16.5K诱导沿着c方向的电极化。当沿着c方向施加磁场,电极化被破坏。一种可能的解释是由于“向上-向上-向下-向下”的自旋有序结构改变为“向上-向上-向上-向下”的自旋构型,从而破坏了电极化。而另一种在10T下抑制电极化的机制则认为是磁场导致Mn2+离子的自旋反转到ab面内所导致。此外,轻微的破坏Co/Mn离子有序,会大大增强体系的铁电性。实验证明,在这一体系中,离子有序和自旋阻挫对增强铁电性质具有重要的作用。因此,对偏离x=1的Ca3Co2-xMnxO6的电磁性质研究,对增强该体系的铁电性质具有重要意义。

在本工作中,研究人员发现,和母体Ca3CoMnO6相比,沿着自旋链的方向(即c方向),电极化的量级和转变温度都提高了数倍。此外,当磁场垂直于链时探测到了电极化。这是在Ca3Co2-xMnxO6体系中第一次从实验上探测到垂直于c方向的电极化。通过低温XRD,对其低温的结构进行了详细研究,发现Co2+O6三棱镜结构发生了Jahn-Teller畸变。对于x=1的母体样品,其晶胞在两个方向的变化是相等的,而对于x=0.75和0.25的样品,在各个方向上发生了不对称的变化。通过低温Raman光谱,研究人员对声子的振动模式进行了研究,发现Jahn-Teller畸变破坏了Co2+O6三棱镜结构的C3对称性,从而导致了沿着和垂直c轴方向的电极化。通过结构和声子模式的研究表明,Ca3Co2-xMnxO6中铁电性的形成的原因可能和晶格的Jahn-Teller畸变有关。

该研究成果发表在国际期刊Physical Review B上 。

原文链接:http://paper.sciencenet.cn//htmlpaper/20179114291588244755.shtm

文献链接:Ferroelectricity of structural origin in the spin-chain compounds Ca3Co2−xMnxO6 (Phys.Rev.B,2017,DOI:10.1103/PhysRevB.96.064112)

本文由材料人编辑部Allen编辑,点我加入材料人编辑部

材料测试,数据分析,上测试谷

未经允许不得转载:材料牛 » 中国科学技术大学教授孙学峰研究组:链状自旋铁电体系结构研究取得新进展

相关文章

Baidu
map