【背景介绍】
众所周知,有机化学的快速发展对于生物学和医学都是非常重要的。其中,利用高的非对映异构体和对映异构体快速、简便、经济的制备出胺类化合物,将极大的促进有机化学中合成胺类化合物的发展。虽然目前在合成胺类化合物方面已经取得了重大的进展,但是仍然存在几个关键性的问题。利用催化对映选择性制备无保护的α-二级胺R-NH2的方法却是屈指可数。目前,更多的是必须使用N-活化或保护的起始原料,增加操作流程,产生更多的废物并降低效率。通常需要在酸性、氧化性或还原性的条件下合成未受保护的α-仲胺,却得到低或中等的产率;在某些情况下,需要专门的三个合成步骤用于单独保护基团操作,其中可能需要过量的昂贵试剂。同时,在去除N-保护基团所需的反应条件也可能导致在多功能分子中的其他位点发生副反应。此外,与许多生物活性分子的合成相关的烷基取代的N-保护的亚胺具有不稳定性和难以纯化的问题,因此必须以混合物形式使用,进一步降低产率。虽然通过使用N-H醛亚胺可以解决一下胺类化合物的合成,但是关于它们的合成的报道很少并且范围受到限制。
【成果简介】
今日,Science最新报道了法国斯特拉斯堡大学的Amir H. Hoveyda教授(通讯作者)等人报道了通过对映选择性地添加碳基亲核试剂和对映异构体还原得到的酮亚胺,使得大部分反应活性不够的腈类化合物直接转化为多官能的无保护的烯丙基胺。成功的合成出来需要同时存在与之竞争的铜基催化剂,而较慢的形成和反应性较差的催化剂首先参与。通过加入非生产性的侧循环来解决该挑战,其中,这种侧循环由廉价的添加剂选择性地提供原料,以延迟活性更高的催化剂的功能。通过利用该方法高效的制备出抗癌药物(+)-白刺新碱突出了该方法的实用性。文章题目为“Delayed catalyst function enables direct enantioselective conversion of nitriles to NH2-amines”。
【图文解读】
图一、多组分对映选择性的合成仲胺的研究现状、关键问题及可能的一般解决方案

图二、调控竞争催化剂的反应性顺序

图三、双催化剂催化非对映异构体的四组分和对映选择性过程

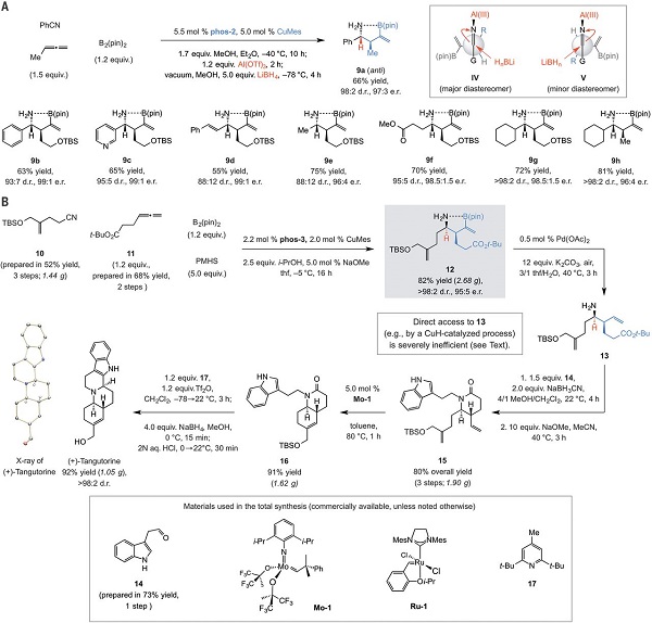
图四、应用范围

【小结】
综上所述,作者通过直接使用廉价且易于获得的催化剂,并且无需任何保护和去保护的步骤,有效、立体地和对映选择性地制备多官能团烯丙基胺的能力,这将对具有生物活性的含N化合物的可实现性产生实质性的影响。同时,作者希望该方法适用于通过使用替代类型的有机铜化合物来合成其他类型的未保护胺。更重要的是,这可能是设计涉及多种催化剂的转化的第一步,其中它们需要进入催化反应的顺序不同于通过其固有反应性所预期的顺序。通过选择性地将其中一种催化剂与非生产性侧循环一起延迟来控制不同催化剂有效反应的顺序,这一概念可以在未来的反应开发研究中得到广泛应用。
文献链接:Delayed catalyst function enables direct enantioselective conversion of nitriles to NH2-amines (Science, 2019, DOI:10.1126/science.aaw4029)
本文由材料人CQR编译,材料人整理。
欢迎大家到材料人宣传HTH官网地址 成果并对文献进行深入解读,投稿邮箱:tougao@cailiaoren.com
投稿以及内容合作可加编辑微信:cailiaokefu.





