当前位置: 材料牛 » HTH官网地址 » 导读 » Nano Energy: 应变对热导率的调控起源

Nano Energy: 应变对热导率的调控起源

【引言】

热传导的有效调控在纳米能源技术的高性能热管理中起着关键作用的角色。半导体中的热传导中主要由声子输运承担,因此对声子输运的基本认识对于热流的有效控制具有重要意义,而且是一个与能源技术相关,具有巨大实际意义的的热物理问题,如电制冷、热电技术、相变存储、热器件(二极管、晶体管、逻辑门)等。在过去的几十年中,很多研究致力于通过改变材料的几何构型或者原子的相对位置实现热输运的有效调控,比如合理的材料外形设计和组分控制,包括纳米结构设计,在材料中引入孔洞,进行物理化学处理(氢化、氧化等)等等。此外,有效的热调制也可以通过应变工程实现。由于应变工程具有很强的柔韧性和鲁棒可靠性,其已成为实现连续可调热输运的最有前途和最有效的途径之一。而且在许多系统的实际情况下,合成的材料和纳米级器件通常在制造后都含有残余应变。因此,对于热导率的应变工程调控的研究具有非常重要的现实意义。然而,以往的研究主要集中于如何通过机械应变来调节热导率,而对其调控效应的本质起源的基本认识还有很多不清楚,这些深入认识与理解对于更加有效、精准的热导率调控具有影响深远的指导作用。

以石墨烯为代表的二维(2D)材料在许多领域已经被大量研究了很多年,其中单层的六角氮化硼(h-BN)具有宽带隙(~5.0-6.0eV),可以作为对无带隙石墨烯的应用替代材料,使得二维氮化物在促进下一代纳米电子技术发展过程中发挥关键作用。除此之外,在最近的研究中,h-BN、六角氮化铝和氮化镓(h-AIN和h-GaN)也被成功地制造合成出来,并因其独特的电光性质而受到广泛关注。因此,这些二维第三主族氮化物(h-BN, h-AIN, h-GaN)的热输运性质,尤其是其对外部机械应变的响应,对设计能量相关的新型器件具有极大的意义,特别是在有特殊传热需求的高性能先进热管理方面。

【成果简介】

近日,德国亚琛工业大学(RWTH Aachen University,Germany)的Guangzhao Qin(第一作者)、ZhenzhenQin、Huimin Wang和现任职于美国南卡大学(University of South Carolina, USA)的Ming Hu(通讯作者)通过对一类具有平面结构的二维材料进行系统的研究,建立了在二维系统中孤立电子对驱动强声子非谐性的微观图像,为热导率的应变调控效应提供了本质起源的理解。基于精确的第一性原理计算,研究人员报道了一类二维平面结构的热导率在应变作用下反常增加一个数量级的现象,该现象与具有相似平面结构的石墨烯中应变诱导的热导率降低形成了强烈的对比。深入的分析表明,应变作用下热导率的反常增加原因在于随着原子距离的增加,孤立电子对与邻近原子的成键电子相互作用减弱,因此系统的非简谐性减弱,导致了热导率在应变作用下的反常增加。该研究揭示了热运输的应变调控机理,对于未来能源纳米技术和应用的相关研究将有很大的助益。

该工作于近日发表在国际顶级SCI期刊Nano Energy(影响因子:12.343)。

【图文导读】

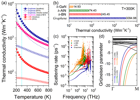
图1. 应变导致的反常热导率增加,原因主要在于声子弛豫时间的变化。

一般意义上,对于褶皱起伏的二维材料,热导率会随着应变拉伸导致的结构变平而增加,并且这种增加很长时间以来被认为是起伏结构所特有的。然而,精确的第一性原理计算发现,一类二维平面结构的热导率在应变作用下反常增加一个数量级,该现象与具有相似平面结构的石墨烯中应变诱导的热导率降低形成了强烈的对比。

图2. 热导率以及声子散射非简谐性的对比分析。

对比分析发现,该类二维平面结构热输运性质的差别,原因不在于传统认识的声子整体流动(phonon hydrodynamics)以及散射相空间、散射通道等,而在于非简谐性之间的区别。

图3. 声子谱和态密度分析。

基于声子谱和声子狄拉克点的演化分析,发现直观上的原子质量差不能解释h-BN中的强非简谐性以及低热导率,因此其非简谐性背后必然存在更深层次的原因。

图4. 电子结构和孤立电子对。

进一步的研究表明,h-BN与graphene的大π键不同,h-BN中的N原子有两个s电子未参与成键,而是形成了孤立电子对。孤立电子对与成键电子相互作用引入额外的原子振动回复力,导致更加非对称的势阱和更强的非简谐性。

当对材料施加拉伸应变的时候,原子间距离变大,孤立电子对与成键电子的相互作用减弱,因此系统的非简谐性减弱,导致热导率的反常增加。

【致谢】

该工作得到了德国自然科学基金的支持,相关计算在RWTH cluster进行。作者特别感谢美国加州大学圣芭芭拉分校的岳圣瀛博士,以及德国亚琛工大杨家跃博士和张礼川的讨论与帮助。

【参考文献】hen Qin, Huimin Wang, and Ming Hu*, Lone-pair electrons induced anomalous enhancement of thermal transport in strained planar two-dimensional materials, Nano Energy 2018, DOI: 10.1016/j.nanoen.2018.05.040

 

【团队作者介绍】

秦光照于2011年在郑州大学物理工程学院获得学士学位,2015年在中国科学院大学获得硕士学位,随后赴德国在亚琛工业大学攻读博士学位,将于2018年8月毕业。曾获国家优秀自费(非公派)留学生奖学金,为多个知名国际期刊(如PRL等)审稿人,同时兼任留德中国物理学者学会理事。主要从事力学性质、电子结构、晶格振动、声子热输运等的第一性原理计算研究,重点关注微纳尺度能量输运与转换问题。截止于2018年5月,共计合作出版发表学术专著2部,2个软件著作权,SCI论文近40篇,其中3篇ESI高被引论文。相关论文主要发表在Nano Energy, Nano Lett., J. Phys. Chem. Lett., Small, npj Computational Materials, Nanoscale, Phys. Rev. B, Appl. Phys. Lett. 等国际主流期刊。论文总被引700余次,h因子为10。

秦真真博士于1991年11月出生于河南。2017年获得南开大学博士学位,之后获德国政府自然科学基金资助的亚琛高等计算工程科学研究院(AICES)全额奖学金,赴德国亚琛工业大学从事博士后研究。主要研究方向为低维材料的力学、磁性、热输运性质的理论计算与模拟研究。至2013年起,近五年在Nanoscale,J. Phys. Chem. Lett. 等知名国际学术期刊上,总计发表20篇SCI论文(其中一作含3篇一区Nanoscale),Google Scholar总引用400余次。 

王慧敏在中国(沈阳)东北大学获得硕士学位,目前为东北大学材料电磁过程研究教育部重点实验室和德国亚琛工业大学联合博士研究生。研究方向为微纳尺度热传导的计算模拟研究和强磁场材料的实验控制过程。

胡明博士于2001年获中国科学技术大学机械工程系学士学位,2006年获中国科学院力学研究所固体力学博士学位。随后分别在美国伦斯勒理工学院和瑞士苏黎世联邦理工学院从事多年博士后研究工作。在德国亚琛工业大学任教5年之后,于2018年3月加入了美国南卡罗莱纳大学机械工程系并获永久位置。目前的研究兴趣包括新型能源系统中的微纳尺度热传输,特别是对于低维材料和纳米结构,先进热管理中的界面传热,以及复杂能量输运过程的多物理建模。截止于2018年5月,共计合作出版发表学术专著4部,高影响力SCI论文100余篇,并在重要的国际会议及研讨会中发表15次邀请报告。相关论文主要发表在Nano Energy, Nano Lett., J. Phys. Chem. Lett., Small, npj Computational Materials, Nanoscale, Phys. Rev. B, Appl. Phys. Lett. 等国际主流期刊。论文总被引2000余次,h因子为28。

领域工作汇总

  1. 应变对热导率的调控起源
  2. 孤立电子对一定会导致低热导率吗?
  3. 综述: 黑磷烯中的热输运
  4. 快速准确预测晶格热导率的“小技巧”
  5. 外加电场导致硅烯中的超低热导率
  6. 单层氮化镓(GaN)热导率的反常温度依赖关系
  7. 为什么单层GaN热导率那么低?
  8. 黑磷烯中共振键导致的强非简谐性和低热导率

本文由球球姐供稿。

欢迎大家到材料人宣传HTH官网地址 成果并对文献进行深入解读,投稿邮箱tougao@cailiaoren.com

材料人投稿以及内容合作可加编辑微信:cailiaokefu。

PS:材料人重磅推出材料计算解决方案,组建了一支来自全国知名高校老师及企业工程师的HTH官网地址 顾问团队,专注于为大家解决各类计算模拟需求。如果您有需求,欢迎扫以下二维码提交您的需求。或点击链接提交,或直接联系微信客服(微信号:cailiaoren001)

未经允许不得转载:材料牛 » Nano Energy: 应变对热导率的调控起源

相关文章

Baidu
map