【引言】
氢气被认为是一种取代汽油的理想燃料,有利于“氢经济”的实现。因为氢气具有多个优点:它是一种可再生能源;它的燃烧产物只有水,利于降低CO2的排放,因而非常环保;它的能量密度较高。然而,氢气的储存、运输以及作为机动车燃料的应用被严重限制,主要障碍是缺乏可靠的氢气储存系统。基于此,固态储氢材料引起广泛关注。其中,具有高比表面积的多孔材料,比如多孔碳、金属有机骨架材料(MOFs)、共价有机骨架材料(COFs)等,是车用储氢材料的重点研究主题。
多孔材料的氢气储量主要取决于其比表面积、孔体积和孔径。理想的储氢材料不仅要有高的比表面积,而且要与吸附的氢气分子之间有较强的结合。近来已有报道研究典型的MOFs和COFs材料,比表面积高达7000 m2g-1。但是,它们与氢气分子之间的结合较弱,因而储氢量仍受到限制。多孔材料与氢气分子之间的结合可通过孔表面功能化来增强,比如在孔表面引入异质原子。但是,多孔碳中氧含量对储氢性能的影响尚不清楚。虽然有些相关研究,但是结论不尽相同。另外,目前也没有研究证明孔径相近的不同多孔碳材料中含氧量的作用。
【成果介绍】
近日,英国诺丁汉大学的Robert Mokaya(通讯作者)等人制备了具有高比表面积、高微孔量以及相近孔径的富氧多孔碳材料,并研究了它们的储氢性能。研究成果发表在Nature Communications上,题为“Oxygen-rich microporous carbons with exceptional hydrogen storage capacity”。研究中,分别采用醋酸纤维素(简写为CA,其O/C原子比为0.93)和纤维素作为原料,首先在250oC下进行了水热碳化(HTC),以便最大化碳产量同时保持高的含氧量。HTC处理得到无定形碳(简称为CA-hydrochar)后,在不同温度下进行活化处理得到最终的活性碳材料(简称为CA-4T,其中4表示活化处理时KOH/C的比例,T表示活化温度),即富氧多孔碳材料。结果表明,以醋酸纤维素作为原料得到的活性碳材料含氧量更高(18-23wt%)。根据拉曼测试,该方法制备得到的富氧多孔碳材料石墨化程度很低。另外,研究人员表征了多孔碳材料的孔结构。值得注意的是,多孔碳材料的比表面积和孔体积都较大,同时保持了较高的微孔率(92%)。这是目前活性碳材料中的最高值。与其他原料制备的活性碳材料进行了比较,结果表明,除了富氧特性,醋酸纤维素作为前驱体制备得到的多孔碳材料具有更高的比表面积和微孔率。最后,他们研究了低温且不同压力下的储氢性能,并与典型金属骨架材料的储氢性能进行了比较。在-196oC温度和20 bar的压力下,富氧多孔碳材料的储氢总质量分数为8.1 wt%、饱和质量分数为7.0 wt%;当压力为30 bar时,总质量分数达8.9 wt%。上述质量分数换算成体积分数,分别是44 g l-1(压力20 bar)和48 g l-1(压力30 bar)。他们还研究了室温下的储氢性能和等温吸附热,进一步验证含氧量对氢气吸附的作用。富氧多孔碳材料在室温下的储氢量大于商用材料(AX21)的储氢量。富氧多孔碳材料的等温吸附热大于10kJmol-1,大约是目前典型活性碳的2倍。
【图文导读】
表1 醋酸纤维素水热碳化得到的CA-hydrochar以及活性碳材料(CA-4T)的元素分析

图1 活性碳材料结晶性的表征

以醋酸纤维素为前驱体得到的活性碳材料(CA-4T)的拉曼光谱。
图2活性碳材料的孔结构表征

(a)氮气等温吸附曲线;(b)对应的孔径分布曲线。
表2 活性碳材料的结构特征和氢气吸附量

图3 活性碳材料含氧官能团及其性质的表征

CA-hydrochar和活性碳材料(CA-4T)的(a)IR光谱和(b)XPS图谱。
图4活性碳材料富氧特性的验证

CA-hydrochar和活性碳材料(CA-4T)的C 1s和O 1s的XPS图谱。
图5活性碳材料富氧特性的进一步验证

活性碳(CA-4T)随温度变化的(a)CO2和(b)CO的脱附曲线。
图6活性碳材料的储氢质量分数

温度为-196oC时,不同压力下,活性碳(CA-4T)的储氢总质量分数以及饱和质量分数。
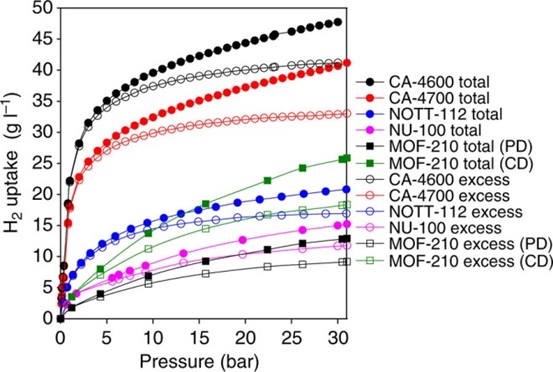
图7活性碳材料与典型金属骨架材料的储氢性能比较

活性碳(CA-4600和CA-4700)以及典型金属有机骨架材料(NOTT-112、NU-100、MOF-210)的储氢体积分数。其中PD指堆积密度,CD指结晶密度。
图8 室温下储氢容量以及氢气吸附的等温吸附热

活性碳材料(CA-4T)与商用活性碳材料(AX21)的储氢容量:(a)饱和质量分数(25oC下);(b)等温吸附热与储氢量之间的关系。
【小结】
本文通过水热碳化醋酸纤维素,再经过活化得到富氧多孔碳材料。它具有高的表观比表面积(3484 m2g-1),其中92%来自于微孔,其中只有很少部分孔的孔径大于20Å。IR和XPS证明了含氧官能团(COOH、C-OH、O-C=O)的存在。与其他原料(比如纤维素、木质素、木屑、淀粉等)制备得到的碳材料相比,富氧特性和高微孔率是醋酸纤维素得到的多孔碳材料的特性。由于高比表面积、高微孔率以及富氧特性,多孔碳材料展现出优异的储氢性能。该多孔碳材料的储氢容量刷新了当前多孔碳材料储氢量的记录,并超过了所谓的活性碳储氢容量的上限。该研究为水热碳化路线中前驱体的作用提供了新观点,并且验证了富氧特性对多孔碳材料储氢性能的好处;还为碳材料用于储氢开启了新的研究方向。
文献链接:Oxygen-rich microporous carbons with exceptional hydrogen storage capacity(Nat. Commun., 2017, DOI: 10.1038/s41467-017-01633-x)
本文由材料人编辑部maggie编辑,黄超审核,点我加入材料人编辑部。
材料测试,数据分析,上测试谷!





