当前位置: 材料牛 » HTH官网地址 » 导读 » Nature重磅:近液氮温度的单分子磁性存储器合成!

Nature重磅:近液氮温度的单分子磁性存储器合成!

【前言】

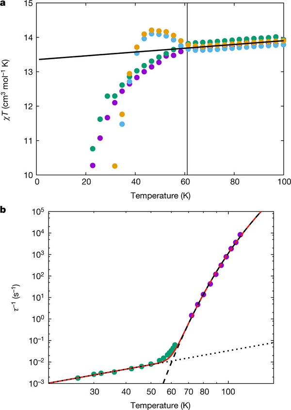
镧系元素可在分子和原子尺度上实现量子信息处理和高密度数据存储,有着十分广阔的应用前景。在实验方面也有着一系列突破,包括读取和操控单原子自旋、开发量子位原子钟以及最近研究的在单原子上实现磁性数据存储。单分子磁体表现出磁滞性的现象,这是影响磁存储器进行数据存储的先决条件,并且在目前已经有镧系元素在高温表现出这一现象。但自从发现单分子磁体近25年来,磁场扫速20 Oe/s时,磁滞温度仅从4K提高到14K。若要提高更高的温度则需要更快的磁场扫速。

【成果简介】

2017年8月24日,曼彻斯特大学Nicholas F. Chilton和 David P. Mills等人在Nature上在线发表了题为“Molecular magnetic hysteresis at 60 kelvin in dysprosocenium”的研究论文,报道合成了一种新的复合物[Dy(Cpttt)2][B(C6F5)4], (Cpttt = {C5H2tBu3-1,2,4}, tBu = C(CH3)3),能实现在22 Oe/s磁场扫速下,高达60 K的温度下出现磁滞现象。并通过研究该温度下样品的动力学特征,表明磁滞现象源于局部金属-配合基的振动模式。计算自旋动力学表明高温下磁性弛豫源于局部的分子振动。这些实验结果进一步证明,经过精确的分子设计,高于液氮温度下在单分子上实现磁数据存储是可实现的。同期,佛罗伦萨大学Roberta Sessoli撰写了题为“Magnetic molecules back in the race”(Nature,2017,Doi:10.1038/548400a)的同期评论。

【图文导读】

图一、[Dy(Cpttt)2][B(C6F5)4]的合成以及结构

图二、材料的磁滞现象

图三、材料弛豫动力学

图四、自旋动力学计算

文献链接:Molecular magnetic hysteresis at 60 kelvin in dysprosocenium(Nature,2017,Doi:10.1038/nature23447)

本文由材料人学术组大黑天供稿,材料牛编辑整理。

材料牛网专注于跟踪材料领域HTH官网地址 及行业进展,如果您对于跟踪材料领域HTH官网地址 进展,解读高水平文章或是评述行业有兴趣,点我加入编辑部。欢迎大家到材料人宣传HTH官网地址 成果并对文献进行深入解读,投稿邮箱tougao@cailiaoren.com。

投稿以及内容合作可加编辑微信:xiaofire-18,吴玫,我们会拉各位老师加入专家群。

仪器设备、试剂耗材、材料测试、数据分析,找材料人、上测试谷

未经允许不得转载:材料牛 » Nature重磅:近液氮温度的单分子磁性存储器合成!

相关文章

Baidu
map