【引言】
笼式化合物具有许多优异的物理特性以及用途,比如热电、超导和拓扑绝缘体等。其中,笼式方钴矿作为一种“声子玻璃-电子晶体”材料,具有极其优异的热电性能,在航天深空探测、太阳热能发电、工业废热和汽车尾气废热回收等领域有着巨大的应用潜力。但是,其晶格热导率距离无序化极限还很远,这说明笼式方钴矿的热电性能仍有很大的提升空间。
【成果简介】
近日,哈尔滨工业大学材料学院耿慧远副教授(通讯作者)和张丽霞教授(通讯作者)团队报道,他们基于第一性原理计算和试验研究,第一次发现并直接观察到笼式方钴矿中填充原子分布的不均匀性,即填充率波动现象。该成果发现,扰动效应和纳米化均只对低频声子形成有效散射,而笼式方钴矿缺乏有效的中高频声子散射机制。此外,填充率波动将导致晶格中产生了不同尺度的应变场。定量的声子输运计算表明,该应变场对中高频声子形成了有效的散射。通过利用填充率波动,将笼式方钴矿的晶格热导率降低到了无序化极限。这一机制的发现和利用,为释放笼式化合物的“声子玻璃-电子晶体”潜力提供了理论基础和试验基础,将极大的刺激笼式化合物热电材料的发展。
【图文导读】
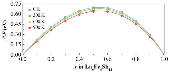
图(一):LaxFe4Sb12的自由能计算

不同温度下LaxFe4Sb12的自由能随其中La的含量的变化。
图(二):热压样品的微结构分析和应变场分布分析

(a)热压样品的高角度环形暗场像(HAADF)。插图中展示的是对样品[001]方向的选区电子衍射(SAED)花样解析;
(b)透射电子显微高分辨像(HRTEM);
(c)与b中同一样品位置的应变场分布图像。
图(三):玻璃样的热导率表征

玻璃样超低热导率κtot和接近无序化极限κmin的晶格热导率κlat。
图(四):声子散射机制同热导率关系分析

(a)室温下不同声子散射机制的微分热阻;
(b)不同声子散射机制下的晶格热导率κlat。
原文链接:Filling-Fraction Fluctuation Leading to Glasslike Ultralow Thermal Conductivity in Caged Skutterudites (Phys. Rev. Lett.,2017,DOI: 10.1103/PhysRevLett.118.245901)
本文由材料人编辑部计算材料组Carbon供稿,材料牛编辑整理。
欢迎试用材料人代理的天河2号超级计算机;参与计算材料话题讨论,请加入材料人计算材料群(562663183);参与计算材料文献解读和文献汇总及计算材料知识科普等,请加入材料人编辑部计算材料组(报名请戳我)或者联系:灵寸(418703364)。





