当前位置: 材料牛 » HTH官网地址 » 导读 » Nano Energy:二维单层Mg3Sb2具有显著高于块体样品的热电性能

Nano Energy:二维单层Mg3Sb2具有显著高于块体样品的热电性能

【引言】

拓宽能量来源是本世纪科学研究的一大重要课题。热电材料可以直接将热能转换为电能,且具有可持续性和环境友好。热电材料的能量转换效率主要用ZT来确定,通常有两种方法提高热电性能,一则是提高功率因子,二来是降低热导率。随着技术发展,纳米尺度和低维材料在热电领域也得到了应用和发展,有关提高热电性能的新技术、新方法、新思路也逐渐涌现出来。近期,新型Zintl化合物Mg3Sb2凭借其优异的热电性能受到了广泛关注,大量的理论和实验研究表明,Mg3Sb2的ZT值在高温时可达到1.0以上,同时,该材料有着合成简单、熔点高和力学稳定性高的优势,有望替代传统材料,成为新一代热电材料。

【成果简介】

原始Mg3Sb2通常由于Mg空位作为主要缺陷,形成p型半导体,通过掺杂等成分和结构调制,可将其转变为n型半导体。有研究表明n型Mg3Sb2基材料具有更好的热电性能,但和其他新型热电材料(如SnSe)相比还存在差距。此外,Zintl相Mg3Sb2是一类典型的层状材料,层内和层间的热电性能有着显著差别,亦即,晶体结构的各向异性诱导热电性质的强各向异性,因此多晶Mg3Sb2通常无法获得最佳的热电性能。

近日,武汉大学石兢教授和王自昱副研究员(共同通讯作者)在Nano Energy上发表了题为“Significant enhancement in thermoelectric performance of Mg3Sb2 from bulk to two-dimensional mono layer”的文章。该工作证明通过降低维度,不仅可以避免某些确定晶体取向较差的热电性能,还可以有效降低晶格热导率。作者基于密度泛函理论对二维Mg3Sb2单层材料的热电性能展开了精确研究。在900K时,纳米薄膜样品的ZT值可达到2.5,远高于块体材料。理论结果表明制备纳米结构可显著提高热电材料的能量转换效率。

【图文导读】

图1:块体和二维Mg3Sb2的晶体结构和能带结构比较(红色原子为Mg,绿色原子为Sb,费米能设置为0)。

(a)块体Mg3Sb2的晶体结构;

(b)单层Mg3Sb2的晶体结构;

(c)块体Mg3Sb2的能带结构;

(d)单层Mg3Sb2的能带结构。

图2:块体和单层Mg3Sb2的价带顶和导带底。

(a)块体Mg3Sb2的VBM;

(b,c) 块体Mg3Sb2的CBM;

(d)块体Mg3Sb2的第一布里渊区;

(e)单层Mg3Sb2的VBM;

(f)单层Mg3Sb2的CBM。

图3:300K时单层Mg3Sb2第一布里渊区内的空穴(a)和电子(b)弛豫时间τ。

 

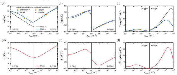
图4:块体和单层Mg3Sb2的电子输运性质比较。

(a,b,c) 计算(实线)所得块体Mg3Sb2的载流子浓度相关的电子输运性质:分别为电导率σ、Seebeck系数S和功率因子S2σ,实验(点)用于比较,包含未掺杂多晶材料和S-Bi、Se-Bi、Te-Bi掺杂多晶Mg3Sb2

(c,d,e) 计算(实线)所得单层Mg3Sb2的载流子浓度相关的电子输运性质。

图5:有关晶格热导率微观影响因素的研究。

(a)块体和单层Mg3Sb2的声子频率;

(b)块体和单层Mg3Sb2的声学支声子群速度;

(c)块体和单层Mg3Sb2的归一化晶格热导率;

(d)计算(实线)所得晶格热导率和实验数据(虚线)的比较。

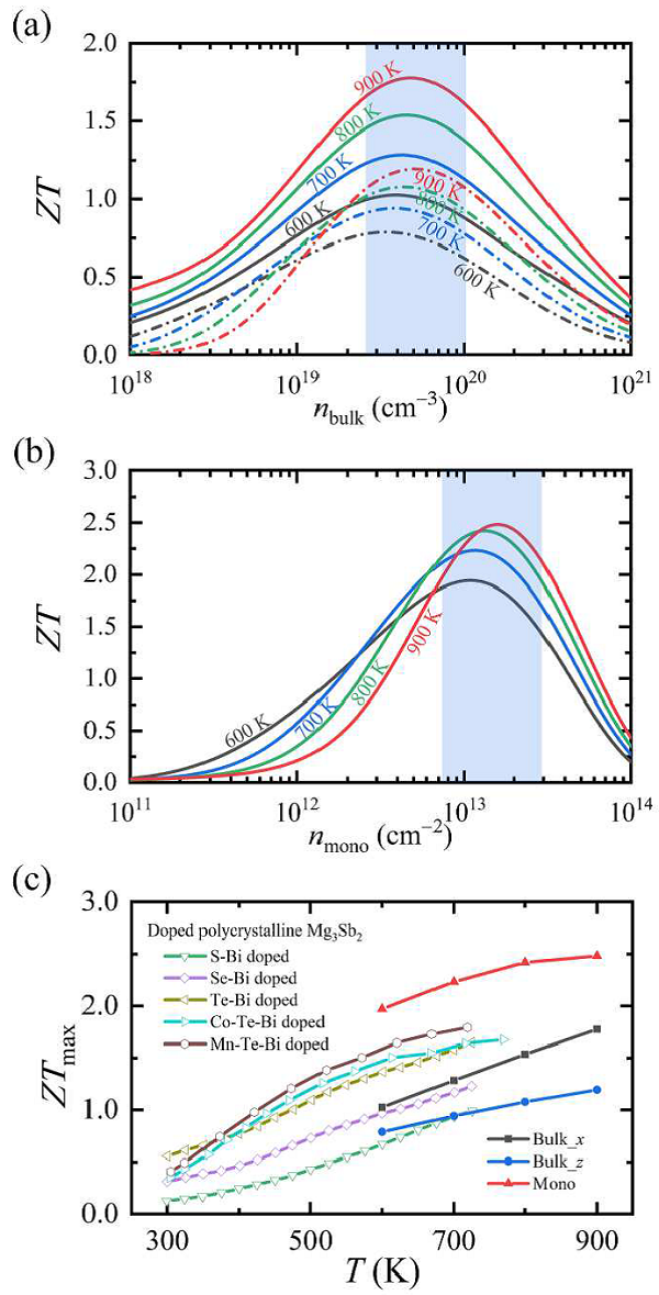
图6:n型Mg3Sb2的高温热电性能研究。

(a)计算所得n型Mg3Sb2块体载流子浓度相关的ZT值;

(b)计算所得n型Mg3Sb2单层载流子浓度相关的ZT值;

(c)计算所得n型Mg3Sb2的温度相关ZTmax和实验数据比较。

【小结】

总的来说,该工作系统地对块体和二维Mg3Sb2热电性质展开了理论研究,Mg3Sb2块体具有层状结构,因此热电性能表现出强各向异性,为了消除这种各向异性带来的消极影响,作者采用纳米技术角度对层间方向做了结构调整,从而降低了晶格热导率。对于合适的n型掺杂单层Mg3Sb2来说,高温区域ZT值可超过2.0, 900K时达到2.5。和传统的热电材料相比,二维Mg3Sb2纳米薄膜有望成为新一代热电材料。更重要的是,作者已提供了通过纳米工程结构技术有效提高热电转换效率的理论证据。

文献链接:Significant enhancement in thermoelectric performance of Mg3Sb2 from bulk to two-dimensional mono layer(Nano Energy, 2019, DOI: 10.1016/j.nanoen.2019.05.028)

本文由Isobel撰稿。

未经允许不得转载:材料牛 » Nano Energy:二维单层Mg3Sb2具有显著高于块体样品的热电性能

相关文章

Baidu
map