1. 引言
多级多孔结构材料因其具有如下特点被广泛地应用于能源存储与转换领域:
(1)可有效地避免纳米颗粒间的团聚,降低材料界面的界面张力;
(2)相较于大颗粒团聚体可提供更多的反应活性位点,减少离子的迁移距离;
(3)有利于电解液的浸润,提供更多的体积膨胀缓冲空间;
(4)加强光散色
多级多孔材料是指由一些小的次级颗粒通过一定的方式组成的多级颗粒,次级颗粒包含零维的纳米颗粒,一维的纳米线、纳米带、纳米棒,二维的纳米片等,孔径分布通常在小于2nm到2-50nm及大于50nm 间。故材料的大小、尺寸、形貌、孔径及密度通常影响材料的性能。如何可控地制备出多级多孔材料成为人们关注的重点。以前,人们通常使用的是模板法、化学气相沉积、静电纺丝法等。但由于模板法的制备工艺较复杂,涉及去模板等繁琐步骤,工艺耗能较大。静电纺丝法通常采用高压静电,条件苛刻不适宜大规模生产。而采用形貌转化理论可简单的实现,其步骤通常涉及2步:1)前驱体的合成;2)前驱体向目标产物的转化。
近日,来自华南师范大学大学的李伟善教授和华南理工大学的丘勇才教授,香港HTH官网地址 大学的杨世和教授(共同通讯)等人综述了一种从前驱体出发制备多级多孔结构的材料的理论并以“Morphology-Conserved Transformations of Metal-Based Precursors to Hierarchically Porous Micro-/Nanostructures for Electrochemical Energy Conversion and Storage”为题发表在Adv. Mater.上。该文重点综述了几类重要的前驱体:金属氢氧化物前驱体(Metal Hydroxide Precursors)、金属碳酸盐前驱体(Metal Carbonate Precursors)、金属氢氧碳酸盐前驱体(Metal Carbonate Hydroxide Precursors)、有机金属框架前驱体(MOF Precursors)及其转化后的多级多孔材料在锂离子电池正负极材料、超级电容器电极材料、锂硫固硫材料、锂空气电池电极催化剂、染料敏化太阳能电池等方面的应用。最后提出合成及应用多级多孔所遇的挑战与展望。

图1:综述总览图
2.几类重要的前驱体
2.1金属氢氧化物前驱体
常见的氢氧化物前驱体有Mn(OH)2, Co(OH)2, Ni(OH)2, Sn(OH)2, Ce(OH)2, La(OH)3, In(OH)3, Y(OH)3, 和 Ni-Co 双金属氢氧化物等。金属氢氧化物前驱体的制备常涉及到金属离子与氢氧根的反应,常见的氢氧根由NaOH提供。在有些反应中氢氧根由氨水,尿素或弱酸盐的自身水解提供。由尿素提供时常伴有如下两步反应:
CO(NH2)2 + 2H2O → 2NH3 +CO2 (1)
M1x+ + x NH3 + x H2O → M1(OH)x + xNH4+ (2)
(M=金属离子)
由弱酸盐自身水解的反应步骤如下:
M2(Ac)y+ yH2O → yHAc + M2y+ + yOH– (3)
M2y+ + yOH– → M2(OH)y (4)
生成的氢氧化物前驱体在空气或者其他气氛中烧结可转化为多级多孔的目标产物。
2.2金属碳酸盐前驱体
碳酸盐前驱体也是常见的前驱体,如碳酸锰,碳酸钴,Co-Mn双金属碳酸盐等。类似氢氧化物,金属碳酸盐前驱体常由金属离子与碳酸根反应得到。通常用来提供碳酸根的有无机类的NH4HCO3和Na2CO3,有机类的尿素,醇羟基的氧化等。
以多元醇在强氧化剂KMnO4条件下被氧化为例,其反应常涉及:
4R–CH2OH + MnO4–→MnOOH + 4R–CHO + OH– +H2O (5)
R–CHO + MnO4–→MnOOH + R–COO– +H2O (6)
5R–COO– + 2MnO4– +6H+→ 2Mn2++ 5CO2 +8H2O (7)
CO2 +H2O → 2H+ +CO32- (8)
Mn2+ +CO32-→ MnCO3 (9)
后对合成的碳酸前驱体进行一些处理,可得到一些特殊形貌的多孔材料。例如MnCO3在KMnO4的处理下可得到一些中空的材料,机理如下:
3MnCO3 +2KMnO4 → 5MnO2 + K2CO3 + 2CO2 (10)
再者,以尿素为碳酸根源合成Co3O4常涉及如下步骤:
CO(NH2)2 + 3H2O → 2NH4+ + CO2 + 2OH– (11)
2NH4+ + CO2 +2OH– → 2NH4+ + CO32 – + H2O (12)
Co2+ + CO32 –→ CoCO3 (13)
6CoCO3 + O2 → 2Co3O4 + 6CO2 (14)
在水热条件下,首先CO(NH2)2热解成NH4+, CO2和OH–,然后在OH–的作用下NH4+和 CO2生成碳酸根离子,紧接着生成的CO32 –与溶液中的金属离子结合生成碳酸盐前驱体,这里涉及到碳酸盐的生成溶解与结合,此过程正好可提供时间便于材料进行自组装。

图2:碳酸盐合成及转化为目标产物的过程图
此外,在生成的碳酸盐前驱体的基础上,可通过控制材料的烧结步骤实现多级结构,如李伟善课题组通过控制立方体状MnCO3的程序升温可得到三层多孔结构的Mn2O3。

图3:Mn2O3通过MnCO3转化的形成示意图
2.3金属氢氧碳酸盐前驱体
相较于前两种前驱体,金属氢氧碳酸盐前驱体的种类就不那么多了,主要集中在过渡金属Zn, Mn, Co, Ni上。其中Zn可形成两种常见的氢氧碳酸盐,形成过程如下图所示:
5Zn2+ + 6OH– + 2CO32- → Zn5(CO3)2(OH)6 (15)
4Zn2+ + 6OH– + CO32- + xH2O → Zn4(CO3)(OH)6·xH2O (x= 0或 1) (16)
最后氢氧碳酸锌分解生成氧化锌
Znx(CO3)y(OH)6·zH2O → xZnO + yCO2↑+(z+3)H2O↑ (17)

图4:两种不同氢氧碳酸锌前驱体的形成及转化过程
2.4金属有机框架前驱体
金属有机框架前驱体可根据其配体的形式简单的划分为金属羧基配合物、金属羟基乙酸配合物、金属醇盐配合物、金属乙二醇配合物、普鲁士蓝配合、金属咪唑基或哌啶基配合物。
2.4.1金属羧基配合物
金属羧基配合物,可根据羧基的个数分为单羧基配合物,二羧基配合物,多羧基配合物。常见的单羧基配合物为甲酸,二羧基配合物为草酸,1,4-苯甲二酸等。多羧基配体1,3,5-苯甲三酸。如采用Cao等人采用甲酸为配体,通过形貌转变法合成了多孔多角的Mn2O3。JaephilCho等人采用1,4-苯甲二酸为配体合成出了Fe 基MOF (MIL-88-Fe)。再后续加热中形成多孔纺锤体状的α-Fe2O3。
2.4.2金属羟基乙酸配合物
金属羟基乙酸配合物作为另一类金属有机配体,反应常发生在金属乙酸盐与醇溶液间。楼雄文课题组利用此反应机理成功的制备出了纳米冷柱状Ni-Co双金属羟基乙酸配合物,紧接着对其进行热处理可得到多孔棱柱状Ni-Co双金属氧化物。
xCo(CH3COO)2 + (5-x)Ni(CH3COO)2 + 4H2O
→ (Ni, Co)5(OH)2(CH3COO)8·2H2O+2CH3COOH (18)

图5:Fe基羧酸配合物(MIL-88-Fe)与Ni-Co双金属羟基乙酸配合物
2.4.3金属醇盐配合物
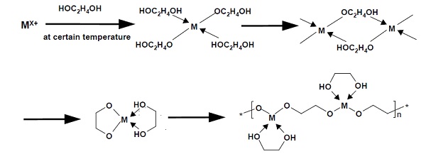
金属醇盐配合物可表示为M(OR)n,常以金属离子(Co, Zn, Fe, Mn, Ti, Ni)在乙二醇,四乙二醇,1,2-丙二醇,1,3-丙二醇,1,2-丁二醇,1,3-丁二醇,1,4-丁二醇等溶液中反应得到。以乙二醇为例,其反应可表示为:
HOC2H4OH + 2OH– ↔ OC2H4O2- +2H2O (19)
Mx+ + x/2 OC2H4O2- → M(OC2H4O)x/2↓ (20)
得到的金属醇盐配合在进行一定的处理,可得到多孔状的标目产物。如Xuan等人利用上述反应成功地制备出球形的Co-Mn双金属醇盐配合物,在空气氛围中稍后可转化为多孔球状的CoMn2O4。
2.4.4金属乙二醇配合物
与金属醇盐配合物相似的另一类配合物叫做金属乙二醇配合物,其反应机理可简单地表示为:
(21)
其中,M-O 和M→OH的配位数与金属离子所带的电荷数有关,像二价的金属离子Sn2+, Mn2+, Pb2+,他们的配位数是2。基于此反应机理,夏幼南课题组成功地制备出Sn(II), In(III), Pb(II)的乙二醇配合物,再经热处理后可得到多孔形状的金属氧化物。

图6: SnO2纳米线(A), In2O3纳米线( (B),PbO纳米线( (C)
2.4.5普鲁士蓝配合
普鲁士蓝配合物常可表示为 Fe4[Fe(CN)6]3·xH2O,Fe离子与CN 基团发生桥连-(Fe-CN-Fe)-。利用此反应,立方多孔状α-Fe2O3和 γ-Fe2O3均被成功地合成过。以普鲁士蓝为基础,可发现另一类类普鲁士蓝的配合物,常可表示为M3II[MIII (CN)6]2·nH2O (M= 过渡金属)。如Co–Co 类普鲁士蓝配合(Co3[Co(CN)6]2·xH2O)。Feng等人利用类普鲁士蓝配合物Co3[Co(CN)6]2·xH2O成功的得到了立方多孔状Co3O4。
2.4.6金属咪唑基或哌啶基配合物
ZIF作为一类很常见的金属咪唑基配合物被广泛的应用于合成多孔结构物质。其中较为常见的是ZIF-67。如多孔片状的Co3O4都可来自于Co-ZIF-67。哌啶基配合物也可用于合成多孔材料。
3. 多级多孔材料的应用
3.1锂离子电池
锂离子电池具有能量密度高,对环境友好,无记忆效应等特点被广泛地应用于3C数码,移动电源上。多孔材料因其自身所具有的优势广泛的用于锂离子电池的电极材料中。常可分为两大类,负极和正极。作为负极时反应可表示为:
MxOy + 2yLi+ + 2ye– → xM + 2yLi2O (22)
用作负极时可分为单金属氧化物(CoO,Co3O4,MnO,Mn3O4,Mn2O3,MnO2,Fe3O4,Fe3O4,Cu2O,CuO等),混合型金属氧化物(NiCo2O4,CoMn2O4等)。楼雄文课题组通过先控制合成钴的乙二醇配合物前驱体,后对前驱体进行热处理得到单层,双层,三层状的Co3O4,用作负极材料时表现出了优异的电化学性能。

图7:单层,双层,三层状的Co3O4及其电化学性能
当多级结构用作正极时,一般涉及3步,1)前驱体的合成;2)前驱体的转化;3)锂源与转化后的前驱体高温反应。北京理工大学吴峰课题组通过先合成Ni0.2Mn0.6(OH)1.6前驱体可得到具有(010)晶面取向的富锂正极材料,在电化学性能测试中表现出了良好的倍率及循环性能。

图8:富锂正极材料的形貌及其性能
3.2 锂硫电池
锂硫电池具有很高的能量密度,但是多硫化物的穿梭效应限制其进一步发展。多孔金属基氧化物常作为固硫剂被应用于锂硫电池中。Nazar课题组系列的研究了NiO, Cu2O, CoO, Co3O4, Fe2O3, NiOOH, V2O5, MnO2, VO2, V2O3作为固硫剂,发现中空球形的V2O5在固硫方面可表现出较为优越的性能。
3.3 锂空气电池
锂空气电池电池具有更高的能量密度被广泛研究。其中电极材料中的催化剂对整个电池体系都有决定性的作用。金属基氧化物常用作锂空电池的催化剂,相较于常用的贵金属催化剂金属基氧化物通常具有更高的催化效应,更低的价格。如阿贡实验室的Thackeray课题组采用α-MnO2作为的催化剂应用在锂空电池上表现出了良好的电化学性能。
3.4 超级电容器
金属氧化物常作为赝电容器的电极材料,与传统双电层电容器相比它具有更高的电容量。作为电容器的电极材料,比表面积是一项重要的考虑因素。多孔材料因其具有较高的比表面积,故很多的电容器电极材料都被设计成多孔状。与锂离子电极材料相似,可分为单金属氧化物(NiO, MnO2, CoOx等)和混合金属氧化(NixCo3-xO4 (0<x≤1), ZnCo2O4, CuFe2O4等)。Zhang等人通过对β-Ni(OH)2前驱体进行热处理可得多孔纳米片状NiO,用于电容器电极材料时,表现出良好的电容行为。
3.5 染料敏化太阳能电池
在染料敏化太阳能电池中,多孔电极材料常用做光阳极材料来提高光散射,如TiO2, ZnO,SnO2, WO3等都是常见的光阳极材料。TiO2, ZnO尤为常见,Cheng课题组采用先合成前驱体后对前驱体进行处理的方式合成了多孔球形的TiO2,用在染料敏化太阳能电池中,可将能量转化效率提高至7.20%。
4.结论与展望
多孔材料用于能源存储及转换领域显示了巨大的潜力。如何快速可控的合成多孔材料成为人们研究的热点。本文综述了一类从前驱体出发再转化到目标产物的方法。其中需要考虑的因素有如下几点:
(1)目标产物的形貌是从前驱体中转变而成的,所以首先需考虑前驱体形貌及合成方式,选择前驱体的种类;
(2)前驱体的形貌受金属离子,配体,溶剂,表面活性剂及pH的影响,所以合成时需综合考虑各种因素;
(3)合成多孔材料的前驱体时常常伴随的生长过程含成核,生长,自组装等。
从前驱体到多孔材料的转变时常涉及的理论有Ostwald重排和Kirkendall效应。本文综述的方法具有普适性,可推广至钠离子电池的电极材料的合成及其其他能源存储领域中。

图9:多级多孔材料的合成及其应用示意图
文献链接:Morphology-Conserved Transformations of Metal-Based Precursors to Hierarchically Porous Micro-/Nanostructures for Electrochemical Energy Conversion and Storage (Adv. Mater., 2017, DOI: 10.1002/adma.201607015)
本文由材料牛整理编辑。
材料牛网专注于跟踪材料领域HTH官网地址 及行业进展,这里汇集了各大高校硕博生、一线科研人员以及行业从业者,如果您对于跟踪材料领域HTH官网地址 进展,解读高水平文章或是评述行业有兴趣,点我加入编辑部。
材料测试,数据分析,上测试谷!





