1.摘要
在遗产保护方面,青铜文物因其独特的历史文化意义而受到高度重视。然而,由于复杂的环境因素和时间的长期侵蚀,许多青铜文物普遍面临着较为严重的锈蚀问题,直接导致易碎性甚至损坏。传统的除锈方法往往不能有效地消除易碎青铜制品的腐蚀,并可能造成不可逆转的破坏,特别是对于表面复杂的精致易碎青铜文物。因此,迫切需要探索一种针对易碎青铜文物的更温和和更有效的除锈技术。本文报道了一种由聚乙烯醇(PVA)水凝胶和螯合剂乙二胺四乙酸(EDTA)组成的基于溶剂交换方法的复合水凝胶膜,并通过表面附着、水凝胶膜形成和剥离过程用于去除易碎青铜文物表面的铜锈。此外,用该PVA复合水凝胶膜对中国陕西省出土的一件易碎青铜文物进行了清洗试验,可去除表面∼90%的铜锈。这表明PVA基水凝胶膜在易碎青铜文物修复和保护中的有效性和可行性。
2.成果展示
近期,陕西HTH官网地址 大学张荔副教授、陈香李副教授和西安市文物保护考古研究院郭瑞等人采用溶剂交换法制备了一种负载EDTA的PVA基复合水凝胶膜,并对其组分、粘度和力学性能进行了优化,其中卡波姆(CBM)作为增稠剂调节了水凝胶粘度,丙酸(PA)能够软化铜锈促进去除,同时通过调整PVA的质量分数,精确控制了水凝胶的力学性能,使其具有优异的成膜性和适应性。将该凝胶首先用于人工模拟锈蚀样品的除锈,确定了凝胶的有效性,随后将该凝胶应用于中国陕西省出土的一件易碎青铜文物的除锈中,通过表面附着、凝胶膜形成和无损剥离的过程,EDTA与铜锈反应形成稳定的络合物,加速腐蚀产物的溶解和去除,铜锈去除率高达∼90%,为青铜文物保护提供了一种新型、有效的解决方案。

该研究工作以“PVA Composite Hydrogel Film for Rust Removal of an Ancient Chinese Fragile Bronze Artifact”为题发表在期刊Langmuir上。
3.图文导读
本研究采用溶剂交换法制备了以EDTA为螯合剂的PVA复合水凝胶,实现高效、无损地剥离易碎青铜文物表面的铜锈。

图1. 水凝胶膜的形貌分析。(a)2 wt %、(b)4 wt %、(c)6 wt %和(d)8 wt % PVA复合水凝胶膜的扫描电子显微镜图像;(e)2 wt %、(f)4 wt %、(g)6 wt % (h)8 wt % PVA复合水凝胶膜的粗糙度3D图像。

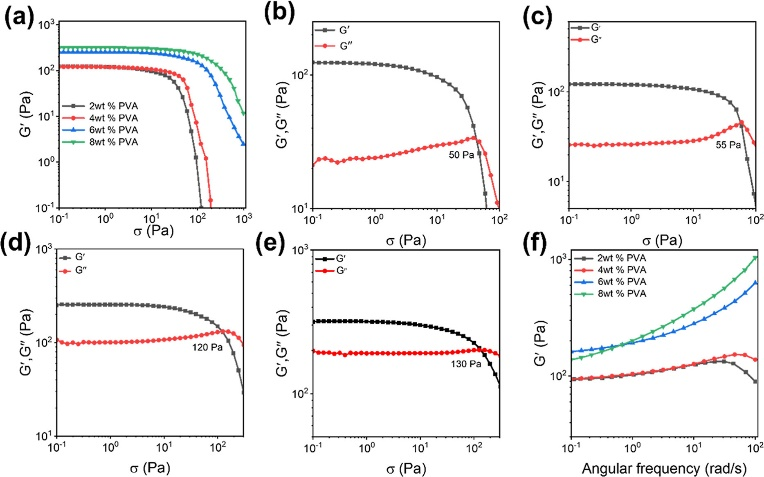
图2. 不同PVA质量分数的复合水凝胶膜的流变性能。(a)应力扫描,(b)2 wt % PVA,(c)4 wt % PVA,(d)6 wt % PVA,(e)8 wt % PVA,以及(f)不同PVA质量分数的角频率。

图3. 不同PVA质量分数的复合水凝胶膜的拉伸图。(a)应力−应变曲线;(b)弹性模量;(c)不同质量分数的复合水凝胶薄膜的断裂应力和断裂应变。

图4. (a)Cu2+与EDTA和PVA的反应方程式和图,以及(b)除锈机理图。

图5. (a)研究中分析的青铜照片和(b)青铜碎片正面的XRF图像

图6. 用6wt %PVA水凝胶膜除锈前后青铜文物表面(a,c)的EDS和XRD图像。

图7. 除锈前(a,c)和除锈后(b,d)6 wt % PVA水凝胶膜的SEM和XRD。

图8. 6 wt %PVA水凝胶膜除锈前(a−c)和除锈后(d−f)的XPS图谱。

图9. 6wt % PVA水凝胶膜除锈前后青铜样品的局部和整体除锈图(除锈前I−VI和除锈1−6后的青铜样品的对比图像)。
4.小结
采用溶剂置换法构筑的PVA/CBM/EDTA复合水凝胶,通过螯合作用与原位成膜的协同策略,有效克服了传统方法易造成易碎青铜文物损伤的难题,实现了对铜锈的高效温和清除。实验结果显示,铜锈去除率高达~90%,显著提升了青铜文物的表面洁净度与后续工艺特征辨识的准确性,推动了水凝胶膜在青铜文物保护领域的应用。
文章信息
PVA Composite Hydrogel Film for Rust Removal of an Ancient Chinese Fragile Bronze Artifact
Li Zhang*, Yao-Ge Zhu, Rui Guo*, Yan Ning, Jian Feng, Xiang-Li Chen*, and Jian-Feng Zhu
Langmuir 2025, 41, 8, 5312–5322





