【研究背景】
随着便携移动设备、大规模储能、电动汽车等领域的快速发展,市场对锂离子电池的能量密度、安全性、循环寿命等性能提出了更高的要求。传统锂离子电池使用有机电解液作为电解质,会有燃烧和泄漏的风险,这会让电池在使用中存在安全隐患。安全性更高的全固态锂电池被认为是下一代锂电池的发展方向,固体电解质是其关键组成部分。复合固体电解质(CSE)一般由聚合物、无机陶瓷和锂盐组成,它结合了聚合物电解质和无机陶瓷电解质的优点,有更优异的综合性能。

第一作者:胡琪琳
通讯作者:刘巍
通讯单位:上海HTH官网地址 大学
【拟解决的关键问题】
-
1. 目前研究的最多的聚合物基的CSE很容易被点燃并且可以被锂枝晶穿透,从而可能导致安全问题。
-
2. 受制备方法限制,对于高陶瓷含量的CSE各方面性能的系统性报道较少。
-
3. 对于陶瓷基的CSE缺乏离子传导机制的研究。
【研究思路剖析】
1. 证明了陶瓷基的CSE表现出比聚合物基的CSE更好的热稳定性和机械性能。
2. 使用冷烧结的方法制备了陶瓷质量分数为90%-98%的CSE,并系统性的研究了它们的离子电导率变化规律。
3. 根据电化学阻抗谱、德拜图和幂律方程,系统地研究了CSE中的锂离子传导机制。使用改进的砖层模型来模拟高陶瓷含量CSE中的锂离子传输路径,并计算出了平行和垂直的陶瓷/聚合物界面的离子电导率。
【图文简介】

图1. 锂离子在不同固体电解质体系中的传导路径
要点1. 锂离子在不同的电解质体系中的传导路径不同,无机陶瓷和聚合物含量的变化会影响复合电解质的电化学性能、力学性能、热稳定性和离子传导机制等。图1中,锂离子在聚合物基的CSE中主要通过聚合物链以及聚合物与导电活性填料间的高导电的界面层传导。在陶瓷基CSEs中,锂离子通过聚合物链、聚合物/陶瓷界面和陶瓷晶粒传导。复合电解质的热稳定性和力学性能随陶瓷含量的增加而提高。

图2.陶瓷基CSE和聚合物基CSE的机械性能和热稳定性对比
要点2.作者测试并比较了含10 wt.% LLZGO的聚合物基CSE和含90 wt.% LLZGO的陶瓷基CSE的杨氏模量,结果表明,CSE-90LLZGO的杨氏模量为542 MPa,远高于CSE-10LLZGO的8 MPa。采用热重分析(TGA)和点火试验来比较聚合物基和陶瓷基CSEs的热稳定性,结果表明,聚合物基的CSE-10LLZGO更容易被点燃,热稳定性比陶瓷基的CSE-90LLZGO更差。

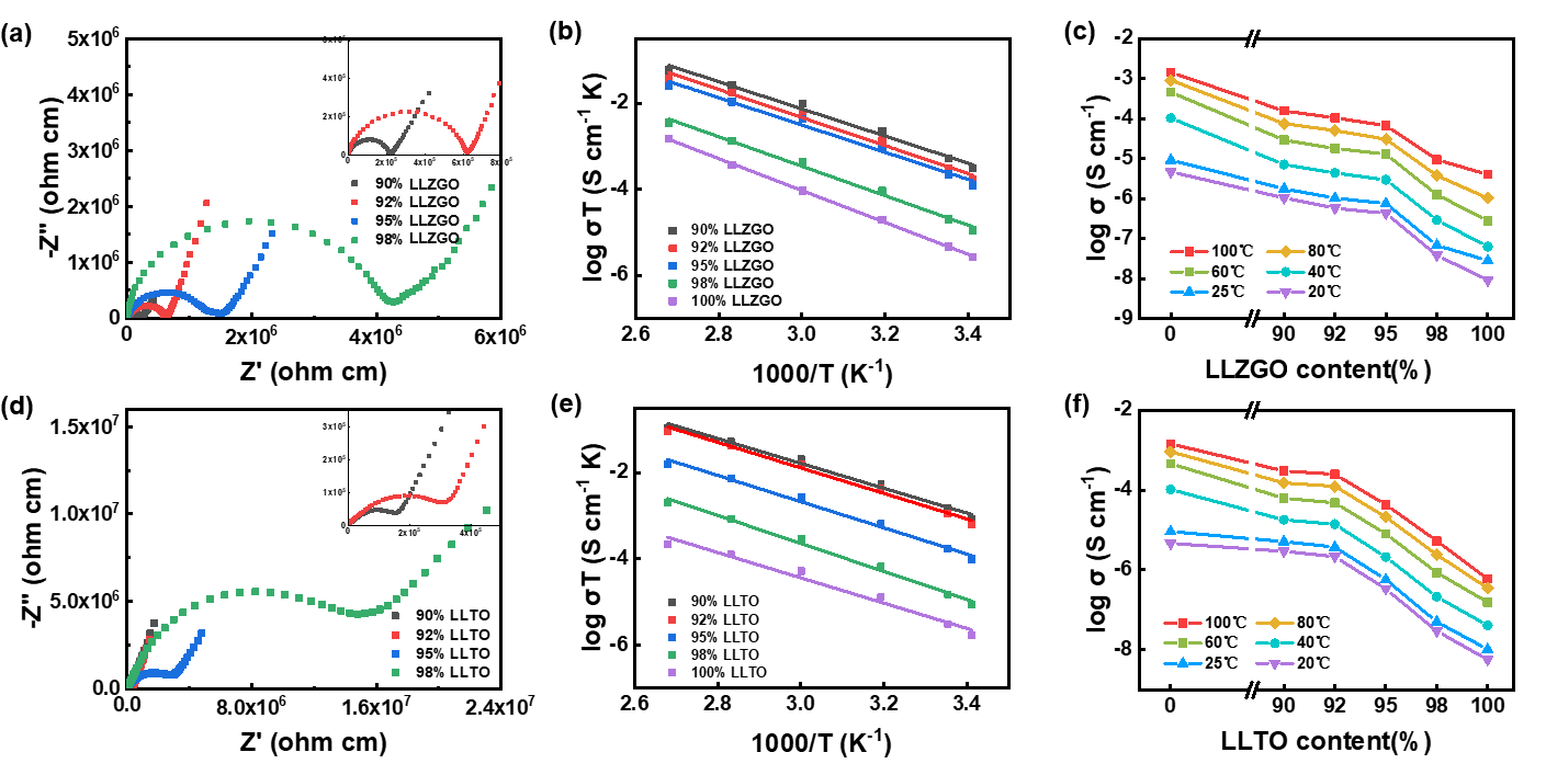
图3. 陶瓷基复合电解质的电化学性能
要点3. 在90-100%质量分数范围内,LLZGO含量越高,复合电解质的离子电导率越低。CSE-90LLZGO的室温离子电导率为3.25×10-6 S cm-1,远高于冷烧结陶瓷电解质100% LLZGO的1.57×10-8S cm-1。随着聚合物含量的增加,CSE的离子电导率增加,这是因为随着聚合物PEO含量的增加,形成了更多的高导电性LLZGO/PEO界面,提高了电解质的整体电导率。为了证明这一变化规律的普适性,还制备了LLTO-PEO复合电解质,LLTO基CSE的离子电导率随陶瓷含量的变化规律与LLZGO基CSE相似。

图4. 陶瓷基复合电解质的离子传导机制
要点4. 作者采用砖层模型来分析CSEs中的离子传导行为。在理想的条件下,聚合物完全覆盖陶瓷颗粒,填充原来的陶瓷晶界所在位置。另外,由于冷烧陶瓷颗粒相对致密,陶瓷颗粒之间的间隙可以看作是垂直或平行的通道,聚合物填充在其中时近似沿着通道的方向排列。作者类比了陶瓷电解质的砖层模型中晶界离子传导的各向异性,推论在陶瓷基CSE中聚合物-陶瓷界面的离子电导率也存在各向异性。根据该模型画出两条离子传导路径,并可以计算出平行和垂直陶瓷/聚合物界面的离子电导率,平行界面的电导率比垂直界面高五个数量级。

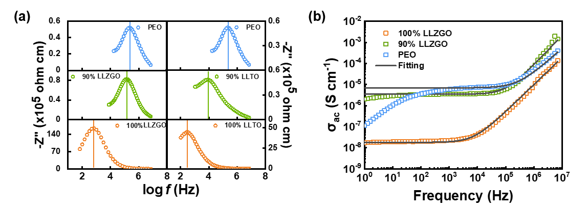
图5. 德拜图和交流电导率-频率关系图
要点5. 特征频率可以从德拜图的最大峰值得到,德拜峰可以反映介电弛豫过程的速度。从陶瓷电解质 100% LLZGO 到聚合物电解质 PEO,德拜峰位置向更高频率移动,这意味着电导弛豫时间变短,离子跳跃更快。由交流电导率-频率关系图可以拟合得出Jonscher幂律指数n,n 的值与高频区的电导率色散有关,这是离子在短程有序运动中储存能量的结果。
CSE-90LLZGO的幂律指数n大于纯陶瓷电解质和聚合物电解质,为1.39,说明锂离子在CSE-90LLZGO电解质中跳跃过程比其他两种电解质存储了更多的能量。

图6. 陶瓷基复合电解质的离子传导机制
要点6. 临界电流密度(CCD)测试表明陶瓷基电解质比聚合物基电解质的CCD更高,Li枝晶抑制性能更强,说明陶瓷基电解质的安全性能具有更大的优势。室温下测试了CSE-90LLZGO的Li对称电池的循环稳定性,Li|CSE-90LLZGO|Li电池在0.1 mA cm−2的电流密度下电池可以稳定运行1600小时以上。在电流密度为0.3 mA cm-2,电池可以循环550小时以上。
【意义分析】
作者采用冷烧结方法制备了陶瓷基CSE,该CSE具有良好的热稳定性和力学性能,并讨论了陶瓷基CSEs的离子传导机理,使用砖层模型模拟和计算了平行于LLZGO/PEO界面和垂直于LLZGO/PEO界面的离子电导率分别为6.5×10-4 S cm-1和3.0×10-9 S cm-1。此外,通过对Jonscher幂律指数的分析,证明了CSE-90LLZGO的离子传导机制更接近于陶瓷电解质LLZGO,而不是聚合物电解质PEO。这一项研究工作有助于全面了解复合固体电解质的性能,可以为复合电解质在固态锂电池中的性能优化提供策略。
Q. Hu, Z. Sun, L. Nie, S. Chen, J. Yu,W. Liu, High-safety composite solid electrolyte based on inorganic matrix forsolid-state lithium-metal batteries, Materials Today Energy (2022), 101052
http://dx.doi.org/https://doi.org/10.1016/j.mtener.2022.101052.
作者简介:
刘巍,上海HTH官网地址 大学物质学院教授,研究方向为固态离子导体材料、纳米材料及陶瓷复合材料在能源存储和环境等领域的应用。2017年入选国家级青年人才计划,2021年入选科睿唯安高被引科学家。在Nature Energy、Nature Commun、Sci Adv、Chem、AdvMater、JACS、Nano Lett等期刊发表论文80余篇。





