一、【导读】
可充电电池已成为人们日常生活中不可或缺的工具,被认为是未来构建可持续能源系统的一大前景技术。液态电解液是电池最重要的组成部分之一,对于稳定电极–电解液界面和构建安全、长寿命的电池至关重要。研究者们一直致力于开发新的电解液溶剂、盐、添加剂和配方,取得了丰硕的成果,但先进的电解液设计仍然面临三个具有挑战性的问题:电解液溶剂化结构研究、电极–电解液界面结构研究以及原子级的电解液设计。分子动力学(MD)模拟方法在探索电解液结构、离子电导率等物理化学性质和界面反应机制方面具有潜在优势,在电解液研究中正发挥着越来越重要的作用。
二、【成果掠影】
清华大学张强教授团队对可充电电池电解液研究中应用MD模拟进行了综述。首先,作者总结了三类MD模拟的基本原理和最新的理论进展,包括经典的、从头算和机器学习(ML)MD模拟。接下来,依次介绍了MD模拟在电解液研究中的应用,包括探究体相和界面结构,推导宏观性质如电解液的离子电导率和介电常数,以及揭示电极−电解液界面反应机制。最后,阐述了关于将MD模拟应用于电解液研究的当前挑战和未来方向,重点强调结合机器学习技术以解决MD模拟和电解液研究面临的问题和挑战,促进下一代可充电电池先进电解液的合理设计。该综述近日以“Applying Classical, Ab Initio, and Machine-Learning Molecular Dynamics Simulations to the Liquid Electrolyte for Rechargeable Batteries”为题发表在知名期刊Chemical Reviews上,博士生姚楠为第一作者,陈翔博士和张强教授为共同通讯作者。

三、【数据概况】
图一、1990年至2020年全球能源消耗和CO2排放统计

(a)1990年和2020年各国全球能源消耗对比。
(b)1990–2020年全球CO2排放量和能源消耗的变化。
图二、在可充电电池电解液中应用经典分子动力学(CMD)、从头算分子动力学(AIMD)和机器学习分子动力学(MLMD)模拟的示意图

图三、机器学习势函数(MLP)的构建和MLP中描述符的分类

(a)MLP构建示意图。
(b)基于神经网络(NN)的MLP(顶部)或基于核的MLP(底部)中采用的不同类型的原子环境描述符。
(c)使用基于原子中心对称函数(ACSF)的神经网络作为原型来拟合MLP的神经网络体系结构。
(d)通过比较候选结构与数据集中参考结构环境以内插原子性质的核方法示意图。
图四、阳离子溶剂化结构

(a)阳离子溶剂化结构示意图。
(b)与碳酸乙烯酯(EC)配位的Li+溶剂化壳层。
图五、阳离子对阳离子溶剂化结构的影响

(a)比较EC基电解液中Li+、Na+、K+第一溶剂化层中不同配位数(CNs)的溶剂化结构比例(P(n))。
(b)Mg2+在Mg(TFSI)2/二聚体电解液中的溶剂化结构具有明晰的内核和较长距离上较宽的溶剂化壳层结构特征。
图六、溶剂对阳离子溶剂化结构的影响

(a)Li+与各种线型或环状碳酸酯配位的团簇大小比例分别。
(b)低(左)和高(右)盐浓度EC/DMC/LiPF6电解液中Li+与溶剂或阴离子原子之间的径向分布函数(RDFs)。
(c)LiFSI/DME(左)、LiFSI/DMB(中)和LiFSI/FDMB(右)电解液中的Li+溶剂化结构。
图七、阴离子对阳离子溶剂化结构的影响

(a)Li+和阴离子的N原子之间的RDFs。
(b)对称的TFSI−(左)和不对称的FTFSI−(右)阴离子的局部配位差异示意图。
(c)不同电解液中的CNs。
(d)LiFSI/LiNO3和LiFSI电解液中Li+溶剂化结构示意图(顶部)及Li+与O、N、F原子的RDFs(底部)。
图八、盐浓度对阳离子溶剂化结构的影响

(a)不同阳离子溶剂化状态的示意图:自由、溶剂分离离子对(SSIP)、接触离子对(CIP)和聚集体(AGG)。
(b)不同阳离子溶剂化状态随盐浓度变化的分布变化。
(c)1.0 M氟化锂/二甲醚(左)和4.0 M氟化锂/二甲醚电解液(右)的MD模拟快照。
图九、盐浓度对阳离子溶剂化结构的影响

(a)局部高浓度电解液(LHCEs)中阳离子溶剂化结构示意图。
(b)LHCE中Li+与溶剂(TMS)、阴离子(FSI)、稀释剂(TTE)之间的RDFs。
(c)含有不同稀释剂的LHCEs的径向分布示意图。
(d)高浓度电解液(HCE)和LHCE在低和高释剂比例下的溶液结构。
(e)HCE(D1、D4、D7)和LHCE(T3)中Li+与不同数量FSI−配位的溶剂化结构分布对比。
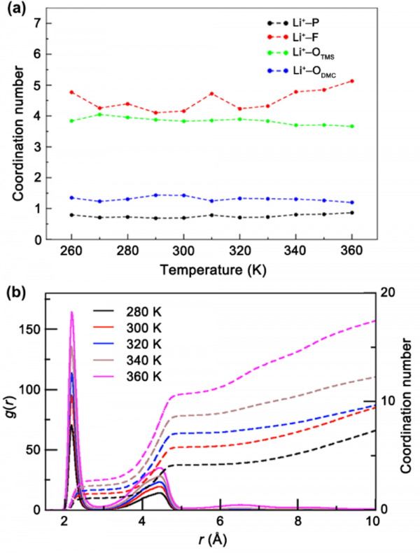
图十、温度对阳离子溶剂化结构的影响

(a)LiPF6/TMS/DMC电解液中CNs随温度的变化。
(b)不同温度下,LiClO4/TMS/PC电解液的Li+–O的RDF(实线)和CNs(虚线)。
图十一、电场对阳离子溶剂化结构的影响

(a)EC在Li+第一溶剂化壳层中分布概率的等值面描绘图。
(b)Li+周围的EC和PF6−的CNs随电场强度Ez的变化。
(c)外加电场作用下,不同离子液体(IL)电解液中Li+在TFSI−(1,4)、BF4−(2)和PF6−(3)周围的空间分布函数(SDFs)。
图十二、阴离子溶剂化结构

(a)与EC配位的PF6−阴离子溶剂化壳层。
(b)PF6−和溶剂之间的RDFs。
(c)Cl−和尿素之间的RDFs。
(d)含有阴离子受体(AR)TMSB的电解液中的溶剂化结构示意图。
图十三、电极–电解液界面处的分层结构的示意图

图十四、电解液组成对界面结构的影响

(a)在未充电的石墨电极附近,EC、DMC、Li+和PF6−沿z方向的数密度曲线。
(b)C2mimTFSI/PEO/LiTFSI(左)和P222momTFSI/PEO/LiTFSI(右)ILs中阴离子、阳离子、PEO和Li+的数密度分布。
(c)FSI−(红)、[C3mpyr]+(绿)和Na+(黄)在C3mpyrFSI IL电解液的NaFSI浓度为10 mol%(左)和50 mol%(右)时的数密度图,以及原子力显微镜获取的力–距离二维柱状图。
图十五、电极表面形貌对界面结构的影响

(a)具有不同表面形貌的石墨烯示意图及相应的乙腈分子质量密度图。
(b)乙腈在石墨烯边缘和平面表面的质量密度图。
(c)Li+和O2在石墨烯边缘和平面表面的平均力势图。
图十六、电极电势对界面结构的影响

(a)快照显示了在高负极电位(左)、零电荷电位(PZC,中)和高正极电位(右)下界面附近电解液的有序分布。
(b)界面层中电解液物种的累积数密度随电极电势变化图。
图十七、离子传输机制

(a)载体(vehicular)、结构(structural)以及结构载体混合扩散机制的示意图。
(b)结构传输机制。
(c)完全与H2O配位、完全与TFSI−配位或同时与两者配位的阳离子的均方位移(MSD)(左)以及代表性的溶剂化结构(右)。
图十八、阳离子对离子传输的影响

图十九、溶剂对离子传输的影响

图二十、阴离子对离子传输的影响

(a)0.25 M Li2Sx/DME/DOL中各物种的扩散系数(x=4、6和8)。
(b)LiPF6和LiBF4基电解液中的传输机制。
图二十一、盐浓度对离子传输的影响

(a)离子电导率与盐浓度之间的关系。
(b)不同多硫化物基电解液的离子电导率随溶剂化结构和浓度的变化。
(c)宽温度范围内分别基于原始Nernst–Einstein方程和考虑了离子缔合计算得到的离子电导率。
图二十二、温度对离子传输的影响

图二十三、电场对离子传输的影响

(a)在低于(顶部)和高于(底部)3×108 V m−1的外部电场下溶剂化结构和离子传输的示意图。
(b)Li+和PF6−的漂移速度随电场强度的变化。
图二十四、介电常数与盐浓度的关系

图二十五、298 K下LiTFSI/DME和NaTFSI/DME电解液的粘度随盐浓度的变化

图二十六、溶剂的分解机理

(a)EC的分解机理。
(b)EC开环生成EC−/Li+自由基及自由基终止反应形成Li2BDC和Li2EDC。
(c)比较含VC或FEC与传统EC基电解液中分解产物和SEI生长的特性。
图二十七、盐的分解机理

图二十八、界面的形成

(a)EC、FEC、C2H4和有机盐的数量随MD模拟时间的演变。
(b)与锂金属电极接触的LiPF6/DME电解液的初始(左)和最终(中)构型以及最终构型的电荷分布(右)。
图二十九、电解液组成对分解机理的影响

(a)S8在传统电解液和含有DMDS的新型电解液中的还原路径。
(b)负极表面溶剂化结构对电解液分解影响的示意图。
图三十、电极性质对分解机理的影响

(a)多硫化物在Li(111)和Li(110)表面分解演化的快照。
(b)不带电和带电金属锂电极与电解液界面的净电荷分布。
(c)LiFSI在Li2O、LiOH和Li2CO3表面的分解。
图三十一、电极–电解液界面的去溶剂化

(a)与二甲醚配位的Li+去溶剂化过程的自由能图。
(b)EC电解液中Li+脱溶剂化和插入石墨负极过程的能量图和相应结构。
图三十二、溶剂与阳离子的共嵌

图三十三、电解液组成对工作离子界面反应的影响

图三十四、电极性质对工作离子界面反应的影响

(a)Li+与EC溶剂脱溶剂化并嵌入不同封端的石墨负极的相对巨势分布。
(b)固态电解质界面膜(SEI)中Li还原“热点”的形成是枝晶生长的诱因。
四、【成果启示】
尽管电解液研究面临巨大挑战,但研究者们在新的溶剂、盐和添加剂设计和电解液配方优化方面都投入了巨大努力,也取得了重要进展,其中MD模拟在揭示电解液溶剂化结构、离子传输机制和电解液–电极界面反应机制方面发挥着不可或缺的作用。具体而言,MD模拟是研究电解液体相和电极表面微观结构的有效手段,能够与红外光谱、拉曼光谱、原子力显微镜和表面增强拉曼光谱等实验表征相结合。此外,AIMD和基于反应力场的CMD能够模拟电解液–电极界面反应,并直观地呈现反应途径和机理。毫无疑问,MD模拟提供了对电解液结构、物理化学性质和反应行为深入而全面的理解,并将电解液设计从传统的试错方法转变为合理设计的模式。同时,在电解液和MD理论方面也仍然存在一些具有挑战性但有发展前景的方向:
1)力场和原子电荷模型的发展。虽然CMD在模拟效率方面优于AIMD,但CMD模拟结果高度依赖于所采用的力场。尽管已经提出了各种力场模型并在电解液研究中得到了广泛应用,但目前仍非常缺乏适用于所有电解液体系的通用、高精度力场,这阻碍了不同模拟结果之间的比较;
2)精度–效率的权衡和MD模拟的加速。将极化效应和其长程力(例如范德华相互作用)结合到CMD中可以提高模拟精度,但通常以使力场复杂化和增加计算成本为代价。同样,在应用计算成本高昂的AIMD进行大尺度和长时间模拟也存在困难,而大尺度和长时间模拟是模拟稀电解液和HCE/LHCE所必需的;
3)体相/界面结构和界面反应的建模。界面结构和反应与SEI和CEI的形成、离子的(去)溶剂化以及工作离子的嵌入、沉积或转化直接相关,它们共同决定了可充电电池的性能和寿命。然而,与体相电解液模拟相比,电极–电解液界面处的电解液模拟研究相对有限,实验和模拟方法在处理这些界面问题时都面临着巨大的挑战;
4)与新兴的ML技术的结合。新兴的ML技术在促进MD模拟应用于电池电解液研究中具有巨大潜力。一方面,MLMD有潜力兼顾CMD的计算效率和AIMD的准确性,同时MLMD可以从根本上解决CMD中的电荷分配问题;
5)MD辅助电池制造、管理和监控。MD模拟是电池材料理性设计和研究电池工作机理的多尺度模拟方法中不可或缺的一部分。结合第一性原理计算,MD模拟可以构建电解液数据集,包括分子溶剂、盐、添加剂和实用的电解液配方。
文献链接:Applying Classical, Ab Initio, and Machine-Learning Molecular Dynamics Simulations to the Liquid Electrolyte for Rechargeable Batteries (Chem. Rev. 2021, DOI: 10.1021/acs.chemrev.1c00904)
本文由赛恩斯供稿。
- 团队介绍
清华大学化工系张强教授团队长期致力于能源材料化学/化工领域研究。高效的能源存储器件是可再生能源利用、新能源汽车、能源工业、消费电子等产业的关键支撑,是实现“碳中和”目标的重要基础技术。寻找新型高能量密度的电极材料和能源化学原理,获得高比能储能系统是当今能源存储和利用的关键。该研究团队深入探索锂硫电池、锂金属电池等依靠多电子化学输出能量的化学电源的原理,发展了锂键和电解液溶剂化理论,并根据高能电池需求,研制出固态电解质界面膜保护的锂金属负极及碳硫复合正极等多种高性能能源材料,构筑了锂金属、锂硫电池软包电池器件,相关研究工作先后发表在Adv. Mater., J. Am. Chem. Soc., Angew. Chem., J. Energy Chem.等知名期刊上。该研究团队在锂硫电池、锂金属电池、固态电池等领域也申请了一系列中国发明专利和PCT专利。
团队负责人张强教授,清华大学长聘教授,主持国家自然科学基金杰出青年基金,担任国家重点研发计划“新能源汽车”重点专项项目首席科学家,曾获教育部青年科学奖、北京青年五四奖章、英国皇家学会Newton Advanced Fellowship、清华大学刘冰奖、国际电化学会议Tian Zhaowu奖等奖励和荣誉。2017–2021年连续五年被评为“全球高被引科学家”。现担任国际期刊Angew. Chem.首届顾问编辑;J Energy Chem、Energy Storage Mater副主编;Matter, Adv Funct Mater,储能科学与技术等期刊编委。
课题组主页:https://www.qianggroup.com/wp/home/
- 团队在该领域相关工作
2.1. 电解液离子–溶剂化学基础理论
- Chen, X.; Shen, X.; Li, B.; Peng, H. J.; Cheng, X. B.; Li, B. Q.; Zhang, X. Q.; Huang, J. Q.; Zhang, Q. Ion–Solvent Complexes Promote Gas Evolution from Electrolytes on a Sodium Metal Anode. Chem. Int. Ed. 2018, 57, 734–737.
- Chen, X.; Li, H.-R.; Shen, X.; Zhang, Q. The Origin of the Reduced Reductive Stability of Ion–Solvent Complexes on Alkali and Alkaline Earth Metal Anodes. Chem. Int. Ed. 2018, 57, 16643–16647; Angew. Chem. 2018, 130, 16885–16889.
- Chen, X.; Yao, N.; Zeng, B.-S.; Zhang, Q. Ion–solvent chemistry in lithium battery electrolytes: From mono-solvent to multi-solvent complexes. Res. 2021, 1, 393–398.
- Chen, X.; Zhang, X.-Q.; Li, H.-R.; Zhang, Q. Cation–Solvent, Cation–Anion, and Solvent–Solvent Interactions with Electrolyte Solvation in Lithium Batteries. Batteries & Supercaps 2019, 2, 128–131.
- Yao, N.; Chen, X.; Shen, X.; Zhang, R.; Fu, Z.-H.; Ma, X.-X.; Zhang, X.-Q.; Li, B.-Q.; Zhang, Q. An Atomic Insight into the Chemical Origin and Variation of Dielectric Constant in Liquid Electrolytes. Chem. Int. Ed. 2021, 60, 21473–21478.
2.2. 先进电解液设计
- Zhang, X.-Q.; Cheng, X.-B.; Chen, X.; Yan, C.; Zhang, Q. Fluoroethylene Carbonate Additives to Render Uniform Li Deposits in Lithium Metal Batteries. Funct. Mater. 2017, 27, 1605989.
- Zhang, X.-Q.; Chen, X.; Hou, L.-P.; Li, B.-Q.; Cheng, X.-B.; Huang, J.-Q.; Zhang, Q. Regulating Anions in the Solvation Sheath of Lithium Ions for Stable Lithium Metal Batteries. ACS Energy Lett. 2019, 4, 411–416.
- Chen, X.; Shen, X.; Hou, T.-Z.; Zhang, R.; Peng, H.-J.; Zhang, Q. Ion–Solvent Chemistry-Inspired Cation-Additive Strategy to Stabilize Electrolytes for Sodium-Metal Batteries. Chem 2020, 6, 2242–2256.
- Yao, Y.-X.; Chen, X.; Yan, C.; Zhang, X.-Q.; Cai, W.-L.; Huang, J.-Q.; Zhang, Q. Regulating Interfacial Chemistry in Lithium-Ion Batteries by a Weakly-Solvating Electrolyte. Chem. Int. Ed. 2020, 60, 4090–4097.
- Hou, L.-P.; Zhang, X.-Q.; Yao, N.; Chen, X.; Li, B.-Q.; Shi, P.; Jin, C.-B.; Huang, J.-Q.; Zhang, Q. An Encapsulating Lithium-Polysulfide Electrolyte for Practical Lithium–Sulfur Batteries. Chem 2022, 8, 1083-1098.





