当前位置: 材料牛 » HTH官网地址 » 最新Science:非磁性化学计量材料的全拓扑带

最新Science:非磁性化学计量材料的全拓扑带

一、导读

固体物理领域在过去的15年里取得了巨大的发展,这在很大程度上是由非磁性晶体中拓扑非平庸电子带的发现,例如拓扑绝缘体(TI),拓扑晶体绝缘体(TCI)和拓扑半金属。拓扑上的非平庸材料曾经被认为是意外而非规律性的,最近引入的拓扑量子化学理论(TQC)和基于对称性的指标(SIs),促进了新的稳定的物质拓扑相的发现,并使费米能(EF)中大规模搜索实验可及的拓扑材料成为可能。高通量计算表明,同早期的猜测相比,更多的材料应该具有拓扑性。将这种方法应用到无机晶体结构数据库(ICSD)中所有可处理的条目,可以探索材料在费米能量和远离费米能量时的能带结构。

二、成果掠影

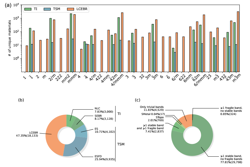
近日,美国普林斯顿大学Nicolas Regnault团队联合西班牙国际物理中心Maia G. Vergniory、麻省理工学院Benjamin J. Wieder等学者,在Science上报道了费米能和远离费米能处全能带中稳定和脆弱相拓扑结构的目录,将ICSD升级为可用的拓扑材料数据库。在化学计量材料ICSD的96,196可处理的条目中计算了所有能带的电子结构,拓扑类,对称性指标。根据常见的化学式、晶体结构和拓扑结构,将其归类为38,298种独特的材料。从而完成了已知非磁性材料的对称带拓扑结构,使得拓扑材料目录中可及的材料比之前多了一倍。通过高通亮计算,研究发现了一类新型拓扑材料的存在,即重复拓扑(RTopo)材料,在EF处具有能量隔离脆性带的强化拓扑半金属,在EF处及其下方具有稳定拓扑绝缘间隙;超拓扑(STopo)材料,其中的STopo材料核壳之上的每一个能量孤立的带集都是稳定的拓扑。研究结果将先前拓扑材料的几个实验研究重新背景化(DOI: 10.1038 /s41586-019-0954-4 ,DOI: 10.1038/s41586-022-04519-1)。研究发现,先前分别显示为激子绝缘体相和电荷密度波相的过渡金属硫族化合物SG 15 (C/2c) Ta2NiSe5和SG 12 (C2/m) Ta2NiSe7是正常状态下的三维拓扑绝缘子(TIs)。此外,研究还发现SG 166  TI菱面体铋和SG 16间接能隙TI Bi2Mg3 都是 RTopo和STopo材料。先前对Bi2Mg3的ARPES研究已经证实 EF以下存在“表面共振带”,在这项工作中,发现表面共振带实际上是RTopo Dirac-cone平面态。计算表明,在EF处,52.65%的材料是拓扑的,大概2/3能带中所有材料都表现出对称的稳定拓扑结构,令人震惊的是,87.99% 的材料至少含有一个稳定的或脆弱的(晶体)拓扑带。

三、 核心创新点

√基于拓扑量子化学理论(TQC)和对称性的指标(SIs)进行数据集生成

√建立了非磁性化学计量材料的全拓扑带目录

√ 发现具有新型拓扑结构的候选材料特性

四、 数据概览

1 生成拓扑材料数据库的示意图 © 2022 AAAS

2 ICSD中化学计量材料的拓扑结构 © 2022 AAAS

3EF处具有拓扑特征的候选材料 © 2022 AAAS

4 Ta2NiSe5和Ta2NiSe7的拓扑能带反转跃迁 © 2022 AAAS

5 Bi2Mg3中的重复拓扑和超拓扑 © 2022 AAAS

五、 成果启示

将高通量计算方法扩展到包括无机晶体结构数据库中所有可处理的条目,研究了材料在费米能量和远离费米能量时的能带结构。研究发现,更多的材料比最初认为的具有拓扑性,几乎88%的材料至少有一个拓扑带。另外,探讨了几个问题。首先,存在无心空间群 TI和 TCI不能通过SI判断,TQC和SIs在高通量发现非对称拓扑材料仍然存在突出的问题。一些有前景的研究采用这种可选的、可扩展的方法,用于高通量拓扑材料识别,预示着未来会有更大比例的自然界中的材料在拓扑上是非平庸的。最后,将TQC和SIs的方法扩展到磁性系统,在费米能级附近有超过100种具有非平凡拓扑的磁性材料可以通过高通量识别。

文献链接:

All topological bands of all nonmagnetic stoichiometric materials,DOI: 10.1126/science.abg9094

文中所述如有不妥之处,欢迎评论区留言~

未经允许不得转载:材料牛 » 最新Science:非磁性化学计量材料的全拓扑带

相关文章

Baidu
map