引 言
聚合物氮化碳(C3N4)是一种层状有机半导体光催化剂,拥有可调控的能带结构、优异的高热和化学稳定性、低廉的价格,在光催化分解水、有机选择性光合成等领域显示出优异的性能和广阔的应用前景。然而,块体C3N4低的光生电荷分离和传输效率制约其在实际中的应用;研究者采用元素掺杂、异质结构建等策略用于解决上述问题。如何建立更有效的层内和层间电荷传输通道,提高光催化性能仍然是一个挑战。引入原子尺度金属被认为是提高C3N4电荷分离和传输能力的有效途径之一。例如,将金属单原子(如Pt、Pd等)锚定到C3N4层内,能够有效改善层内电荷传输,但其对层间电荷传输能力的提升作用不明显。而且,金属单原子在C3N4中的准确配位环境尚不明确,对电荷输运动力学过程影响有待深入研究。因此,迫切需要开发新的合成策略实现金属单原子在C3N4层内和层间同步均匀锚定,以构建有效的电荷传输通道,实现光催化性能的提升。

Adv. Mater. 2020, 2003082, DOI: 10.1002/adma.202003082
成果简介
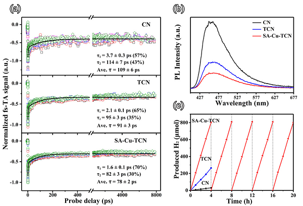
近日,黑龙江大学付宏刚教授、蒋保江研究员和中国HTH官网地址 大学张群教授报道了一种新的合成策略,即通过将叶绿素铜钠盐插入到三聚氰胺-三聚氰酸组装的超分子前驱体层间,经热聚合实现Cu原子与C3N4中N的配位(Cu-Nx)。X射线吸收谱结合理论模拟等手段证实:每个Cu原子可以与一个C3N4层内的三个N原子或位于两个相邻C3N4层的四个N原子配位,形成两种不同类型的Cu-Nx作为有效电荷传输通道促进电荷快速转移。超快吸收光谱进一步证实Cu-Nx能显著提高光生电荷在C3N4层内和层间传输速度,因此,催化剂展现出优异的可见光催化析氢性能(212 mol h-1/0.02 g催化剂),为块体C3N4性能的30倍,此外,在可见光催化下苯的氧化转化率高达92.3 %,选择性达到99.9 %。
图文导读
图1:

a) 单原子铜/C3N4的合成设计方案
b-d) 单原子铜/C3N4的TEM和mapping表征
e) 单原子铜/C3N4的SEM表征
f) 单原子铜/C3N4的XRD表征
图2:

a-d) 单原子铜/C3N4与参比样品的同步辐射吸收谱
c-h) 单原子铜/C3N4与参比样品的理论计算
图3:

a) 单原子铜/C3N4与参比样品的超快吸收谱
b) 单原子铜/C3N4与参比样品的稳态荧光光谱
c) 单原子铜/C3N4与参比样品的光催化析氢性能
图4:

单原子铜/C3N4催化剂的可见光催化苯的氧化性能
结论
这项工作提出了一种简单而经济有效的合成策略,在C3N4层内和层间均匀锚定Cu单原子(Cu-Nx),建立高效的Cu-Nx电荷传输通道,表现出优异的光催化析氢和光催化氧化苯至苯酚的性能,同时更好地理解了金属单原子与C3N4之间的相互作用、以及对电荷输运动力学过程的影响,从而为单原子光催化和光合成方向发展提供新的研究思路。
文献链接
A Promoted Charge Separation/Transfer System from Cu Single Atoms and C3N4 Layers for Efficient Photocatalysis
Adv. Mater. 2020, 2003082, DOI: 10.1002/adma.202003082
https://onlinelibrary.wiley.com/doi/10.1002/adma.202003082
本文由黑龙江大学付宏刚教授、蒋保江研究员团队投稿。





