引言
锂离子电池的成本主要集中在正极材料,降低锂离子电池的正极成本并提高其能量密度是近几年最重要的课题之一。阳离子无序正极材料是近几年新发现的一类正极材料,其特点是具有独特的0-TM渗透通道,锂离子能方便地在其中迁移。另外,在此类材料中除了过渡金属的氧化还原,还可以发生阴离子氧化还原,总共能提供超过300 mAh g-1的高比容量。对于实际应用而言,此类材料存在两个主要问题。一个是首圈充放电的不可逆容量太大,另一个是充电电压与放电电压间存在较大的电压滞后。因此,弄清阳离子无序正极材料的充放电机理对于设计更好的正极材料有着重要的指导意义。然而,目前对于此类材料的充放电机理研究较少,其中的主要困难在于阳离子排布的无序性。一般的XRD表征只能给出长程有序的周期性信息,而此类材料中的局部结构尤为重要,特别是当氧原子上发生了氧化还原。
成果简介
近日,华东师范大学物理与电子科学学院的胡炳文课题组与法国里尔大学高场核磁中心以17O标记的Li1.2Ti0.4Mn0.4O2为模型,通过固体核磁与顺磁共振技术研究了阳离子无序正极材料首圈充放电过程中的局部原子环境与电子结构的变化,并给出了其阴离子氧化还原与结构衰退的机制。该成果以题为“Anionic Redox and Structural Degradation in Cation-Disordered Rock-Salt Li1.2Ti0.4Mn0.4O2 Cathode Material Revealed by Solid-State NMR and EPR”最近发表在J. Mater. Chem. A上。
图文导读
图1. 原始Li1.2Ti0.4Mn0.4O2样品的XRD与NMR表征

a) Li2Ti0.4Mn0.4O2(LTMO)的同步辐射XRD谱图;b) LTMO的晶体结构及Li的局部环境示意图;c) 原始LTMO的7LipjMATPASS NMR谱;d) 原始LTMO的17O MAS NMR谱,“*”标出了旋转边带。
图2. LTMO的电化学表征

a)45°C下,LTMO在10 mA g-1电流密度下的首圈恒流充放电曲线;b) 首两圈的循环伏安曲线,扫速为0.02 mV s-1。
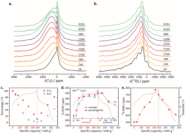
图3. 首圈充放电过程中LTMO的非原位NMR谱

不同荷电状态下LTMO的7Li pjMATPASS (a) 和 17O MAS (b) NMR谱;c) 不同荷电状态下LTMO中的顺磁环境Li (P-Li)和抗磁环境Li (D-Li)的归一化含量;d) 顺磁环境7Li的NMR位移;e) 17O的NMR位移。
图4. 首圈充放电过程中LTMO的非原位EPR谱

1.8 K下,不同荷电状态下LTMO的垂直模式CW-EPR谱:a) Mn的氧化阶段;b) O的氧化阶段;c) 还原阶段。345 mT处的尖锐共振信号来源于导电炭黑中的离域电子。
图5. FFT处理的TEM图

原始样品 (a),C150 (b),C358 (c) 以及 D251 (d)的快速傅里叶变换(FFT)处理的TEM图。箭头标出的漫散射图纹是由短程有序(SRO)引起的。
图6. 氧的局部环境与LTMO能带结构演变示意图

a) LTMO中典型的O的配位环境;b) LTMO首次充电过程中,能带结构的演化示意图。
总结与展望
通过固体核磁技术,我们首次观察到了阳离子无序正极材料中不同化学环境下的Li的含量的变化以及O的局部环境分布。Li离子优先从富Li环境中脱出,印证了0-TM扩散的优异性。由于阳离子无序材料中存在各种不同的局部环境,O的氧化还原涉及了Ti包围下的类过氧离子(O2)n−以及Mn包围下的O 2p上的电子空穴的生成。类过氧离子中的稳定的O-O键难以被还原,因此导致了充放电间的电压滞后。7Li NMR中还观察到了循环一圈后抗磁性环境中的Li的不可逆损失,这种Li环境的变化可能是由于高电压下的氧气析出和过渡金属迁移所引起的。FFT处理的TEM中发现了循环一圈后短程有序更为严重,意味着局部结构的无序-有序转变,从而恶化了Li离子的扩散动力学。虽然O的氧化还原为正极材料提供了额外的比容量,但其引发了电压滞后和结构衰退问题。在有序的层状正极材料中,可以通过超结构调控的方法来应对此类问题,但是很可惜无法适用于无序材料。阳离子无序正极材料中可以大量应用前过渡金属,且F取代易于实现,因此,基于多电子得失的纯过渡金属氧化还原更加适合阳离子无序正极材料,从而在兼具高容量的同时克服电压滞后和结构衰退问题。
文章链接:Anionic Redox and Structural Degradation in Cation-Disordered Rock-Salt Li1.2Ti0.4Mn0.4O2 Cathode Material Revealed by Solid-State NMR and EPR. J. Mater. Chem. A, 2020, DOI: 10.1039/D0TA03358H
本文由华东师范大学物理与电子科学学院胡炳文课题组供稿。





