引言
以钙钛矿材料为光吸收层的太阳能电池频频刷新世界纪录,目前已高达25.2%。随着研究的不断深入,器件传输和复合的研究已经获得极佳的控制。然而,据报道,聚合物基倒置器件效率往往低于氧化物基正置器件。这一普遍现象给研究者们提出了新的研究课题。探寻聚合物基倒置器件能量损耗源头,将对此类工艺简便,无迟滞的倒置结构器件推向新的研究热潮。
电荷输运、能带调控和晶粒质量的不断完善,以至于钙钛矿太阳能电池内量子效率 (IQE) 已经趋于100%,意味着由光子激发产生载流子以及载流子的传输等过程已经不再是钙钛矿太阳能电池的限制因素。然而最高效率距Shockley–Queisser效率极限有较大差距,尤其是聚合物基倒置结构钙钛矿太阳能电池。这表明有相当部分光并没有进入钙钛矿活性层而被损耗。据报道,聚合物基器件内量子效率 (EQE) 比IQE相差为10%~15%,也即是说,有10%~15%的能量以光子的形式损耗。解决光损耗问题,器件效率将得到进一步提升。
研究进展
近日,西南大学宋群梁教授(通讯作者)创新团队在ACS Nano 上在线发表了一篇题为“Coordinated Optical Matching of a Texture Interface Made from Demixing Blended Polymers for High Performance Inverted Perovskite Solar Cells”的文章,该研究采用简单的溶洗混合聚合物薄膜工艺获取了可控的聚合物 (PTAA) 织构膜,并成功将其应用在ITO/PTAA/Perovskite/PCBM/BCP/Ag结构钙钛矿太阳能电池中,同时利用减反涂层技术,电池效率达到21.6%。
图文简介
图1不同结构器件模型与光学损失分析

图2 织构界面制备工艺流程及对应SEM截面图

图3 平面和织构结构器件SEM图对比和光学表征

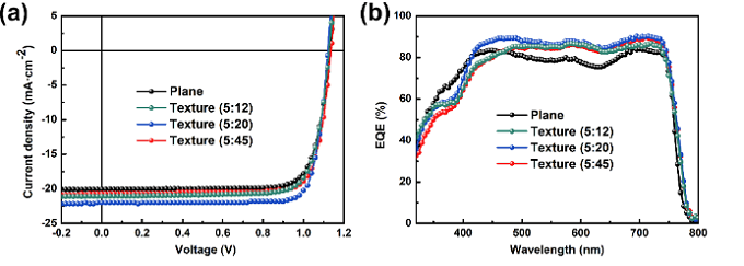
图4 器件输出特性和EQE表征

图5 PTAA织构形貌控制SEM图以及AFM切线表征

图6 不同织构器件性能表征

图7 器件性能统计

小结
该研究从提出了光学失配是聚合物基倒置钙钛矿太阳能电池效率相对较低的根源,并提出内部织构界面协调光学匹配。文章中采用简单的涂布溶洗工艺制备了可控的织构界面,在器件界面分布均匀。光学测试结果与EQE的提升一一对应,有效降低器件光损耗。电学和光致发光测试结果 (包括瞬态光电流和瞬态光电压,稳态和瞬态光致发光等)表明,器件传输与复合变化微弱。进一步证实,器件效率由18.3%提升到21.6%的主要原因是改善了光学匹配。该结果将对聚合物基钙钛矿太阳能电池效率的进一步提升提供光学匹配的理论指导和技术支持,该工艺在柔性器件的制备中具有巨大潜力。
文献链接:
Coordinated Optical Matching of a Texture Interface Made from Demixing Blended Polymers for High Performance Inverted Perovskite Solar Cells,2019,ACS Nano, DOI: 10.1021/acsnano.9b07594.
本文由课题组供稿。
欢迎大家到材料人宣传HTH官网地址 成果并对文献进行深入解读,投稿邮箱: tougao@cailiaoren.com.
投稿以及内容合作可加编辑微信:cailiaorenVIP.





