在理论上,“单原子催化剂”有着100%的原子利用率和极高的催化能力,因此在催化领域受到了极广泛的关注。近些年来,由于能源短缺以及环境污染,可持续绿色能源的开发与存储,尤其是各种“电池”设备的开发,也一直是研究的热点。随着研究领域蔓延与交叉,“单原子催化”之火也迅速而自然地烧向了“电池”领域。“单原子催化”遇上“电池”,一见钟情,就像“干柴”遇“烈火”,一发而不可收拾,激起了层层研究热潮。在此,我们梳理了 “单原子催化”在“电池”领域的典型应用,希望能给大家的研究带来一些新思路。
1 燃料电池
Nature Catalysis:Fe-N-C单原子催化剂助力高性能质子交换膜燃料电池
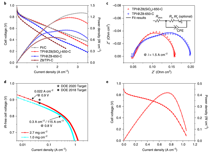
为了实现美国能源部为质子交换膜燃料电池无铂催化剂设定的2018目标,催化剂低活性位点密度的问题必须要克服。在此,华中HTH官网地址 大学的徐铭和北京航空航天大学的水江澜团队设计并制备了一类凹面Fe-N-C单原子催化剂(图1)[1],该类催化剂有着高的比表面积和介孔率,因此可以满足美国能源部设定的2018无铂催化剂催化活性目标:在1.0 bar的H2-O2状况和0.88 ViR-free的条件下,电流密度达到了0.047 A cm-2(图2)。这个优异的性能源于催化剂有着高的活性位点密度,这是通过暴露不易接近的Fe-N4基团(即是增加利用率)并提高催化剂层质量传输而实现的。除此之外,作者还建立了材料的“构效关系”,从而为设计高效实用的“无铂催化剂”提供了借鉴。
图1 Fe-N-C单原子催化剂的制备流程

图2 质子交换膜燃料电池性能表征

Advanced Science:实用化再提速!质子交换膜燃料电池用高载量Fe单原子催化剂!
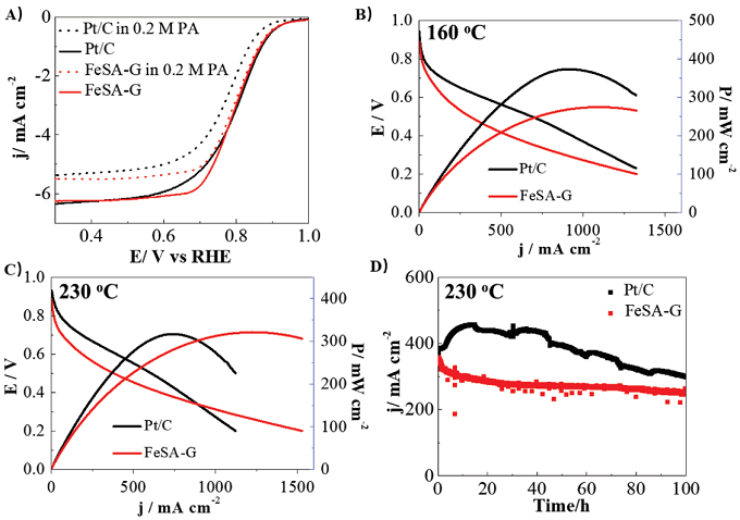
对于催化质子交换膜燃料电池的氧还原反应(ORR)而言,铁单原子催化剂(Fe SACs)是最著名的非贵金属(NPM)催化剂,但是较低的催化剂负载量(<2 wt%)严重地限制了其实际应用。基于此,澳大利亚科廷大学蒋三平,北京航空航天大学卢善富和美国橡树岭国家实验室的Yang Shi-ze团队采用一锅热解的方法制备了石墨烯负载的铁单原子催化剂(FeSA-G)(图3)[2],其具有着超高的铁单原子负载量(≈7.7 ± 1.3 wt%)。在酸性电解液中进行ORR测试发现,FeSA-G的起始电位为0.950 V,半波电位为0.804 V,这个表现媲美Pt/C催化剂且其有着更高的稳定性及对磷酸阴离子的容忍力。在230℃下,采用铁单原子负载量为0.3 mg cm-2的FeSA-G作为正极的质子交换膜燃料电池表现出了325 mW cm-2的峰值功率密度,这比Pt载量为1 mg cm-2的Pt/C正极(313 mW cm-2)性能更好(图4)。此外,采用FeSA-G作为正极材料的燃料电池比采用Pt/C作为正极的电池表现出了更加优异的稳定性。该工作也为开发可实际应用于燃料电池的非贵金属催化剂提供了新的路径。
图3 Fe单原子催化剂的形貌与微观结构

图4 燃料电池的电性能

2 金属空气电池
Advanced Materials:骨架卟啉衍生的单原子Co–Nx–C双功能(ORR&OER)电催化剂用于Zn-空气电池
高性能双功能的氧的电催化是促进清洁可持续能源通过电化学设备(如可充电的Zn-空气电池)进行广泛利用的关键技术。由于单原子电催化剂有着最大的原子利用效率,它极有可能取代现在广泛使用的贵金属基的电催化剂。然而,过渡金属单原子的制备却很有挑战性,它需要通过创新地设计原则来对前驱体进行广泛地尝试。在本文里,清华大学的张强团队创新性地设计并制备了一种全共价键构筑的钴配位的骨架卟啉与石墨烯的混合物,该混合物可以作为前驱体以制备单原子Co-Nx-C电催化剂(图5)[3]。测试发现,与贵金属基的电催化剂相比,单原子Co-Nx-C催化剂无论是在催化氧的还原和析出反应还是应用在可充电的Zn-空气电池(减小过电势,改善动力学特新和延长循环稳定性)都表现出了优异的电化学性能(图6)。此外,作者也提出了多尺度材料的设计原则并对材料的机理进行了详尽合理的研究。该研究工作不仅为制备高性能单原子电催化剂提供了一种全新的前驱体,也可以激发研究人员尝试开发新材料和新应用。
图5 单原子Co–Nx–C催化剂的材料表征

图6 单原子Co–Nx–C催化剂作为Zn空气电池正极材料的电化学性能

Advanced Functional Materials:高效的Zn-空气电池电催化剂之单原子Fe-Nx-C
高效的非贵金属电催化剂对于金属-空气电池而言至关重要。然而,设计并探索高效的非贵金属电催化剂仍然是一个巨大的挑战。在此,中国科学院北京纳米能源与系统研究所的孙春文和北京HTH官网地址 大学的李志鹏团队通过在ZIF-8生长的过程中原位地将Fe-Phen结合在纳米笼子中并通过后续热解的方法制备出了非贵金属单原子Fe–Nx–C电催化剂(图7)[4]。Fe-Phen可以同时提供Fe2+和有机配体(Phen),这对于制备Fe-Nx-C单原子催化剂有着重要的作用。在催化氧还原反应(ORR)的测试中,Fe-Nx-C表现出了0.91 V的半波电位,高于商业Pt/C催化剂(0.82 V)。当其作为一次Zn-空气电池正极催化剂时,该电池表现出了优异的电化学性能(高达1.51 V的开路电位和96.4 mW cm-2的功率密度)。当应用在二次Zn-空气时,电池显示出了极好的循环性能(长达300 h)和高的初始效率(59.6%)。进一步地,其还可以应用在全固态Zn-空气电池中并展示出了高达1.49 V的开路电位,长达120 h的循环寿命级可折叠特性(图8)。该单原子Fe-Nx-C电催化剂也很有希望应用在其他类型的金属-空气电池及燃料电池里。
图7 单原子Fe–Nx–C电催化剂的材料表征

图8 全固态可折叠的Zn空气电池

3 锂硫电池
Advanced Materials:氮掺杂石墨烯负载Ni单原子促进Li-S电池快速反应
锂硫电池因具有较高的理论比容量(1675 mAh g-1)和能量密度(2600 Wh kg-1)而受到了广泛的关注。然而,充放电过程中多硫化锂(LiPS)的“穿梭效应”以及缓慢的转化反应动力学严重地限制了锂硫电池的实际应用。因此,如何固定多硫化物并加快其反应动力学是一大关键。在此,中国HTH官网地址 大学的宋礼和南开大学的牛志强团队制备出了氮掺杂石墨烯负载的单原子镍(Ni@NG)并将其引入锂硫电池中对隔膜进行修饰改性(图9)[5]。Ni-N4结构中氧化的Ni活性位点可以与多硫离子形成强的Sx2–⸱⸱⸱Ni-N化学键,从而缓解多硫化物的穿梭。此外,LiPS与氧化的Ni活性位点之间发生的电荷转移使得LiPS在电化学过程中具有低的自由能和分解能垒,从而显著促进LiPS的转化反应动力学。因此,基于Ni@NG修饰的隔膜而构建的锂硫电池呈现出了优异的倍率性能和稳定的循环性能(每圈衰减仅有0.06%)(图10)。这也为通过开发单原子催化剂以促进LiPS的反应动力学来构筑高性能锂硫电池提供重要借鉴。
图9 Ni@NG材料的制备过程及表征

图10 Li-S电池的电化学性能

InfoMat:原子级分散的Co-N-C电催化剂加快锂硫电池中含硫物质的氧化还原反应动力学
锂硫电池有着高达2600 Wh kg-1的理论能量密度,这使其非常有希望获得实际应用。然而,锂硫电池的电化学性能却因硫正极缓慢的氧化还原反应以及中间产物多硫化锂的溶解穿梭而受到严重限制。如果能在正极材料中引入电催化剂以促进多硫化物的转化动力学,尤其是高效的原子级分散的催化剂,将会显著改善锂硫电池的电性能。基于此,北京理工大学的黄佳琦团队通过热解钴离子配位的卟啉有机骨架-石墨烯复合材料制备出了原子级分散的Co-N-C电催化剂(图11)并将其应用于锂硫电池以催化多硫化物的快速转化[6]。作者通过恒电位间歇滴定法定量分析了电催化效果,从而深入理解了原子级分散的电催化剂在相转变过程中对多硫化物的催化反应动力学。实验发现,无论是对多硫化物的还原沉积还是多硫化锂的氧化溶解,单原子分散的Co-N-C电催化剂都展现了优异的催化能力。受益于原子级分散的“亲锂”和“亲硫”的活性位点,精心设计的原子级分散的电催化剂赋予了Li-S电池极好的循环稳定性(循环300圈,每圈衰减率仅为0.1%),优异的倍率性能(2C时容量为1035 mAh g-1)和超高的面容量(在S的负载量为11.3 mg cm-2时面容量为10.9 mAh cm-2)(图12)。该工作将原子级分散的电催化剂扩展应用至Li-S电池体系,深入理解了含硫物种的反应动力学,也启发研究者将其他新兴的电催化剂应用至多电子/多相储能体系。
图11 Co-N-C电催化剂的表征

图12 Co-N-C电催化剂的催化性能及Li-S电池的电化学性能

4 CO2电池
Advanced Functional Materials:高效催化CO2还原的N配位不饱和单原子Cu-N2催化剂用于Zn-CO2电池
Zn-CO2电池由于在能量转化和输出方面的优势而引起了广泛的研究兴趣。与负极的反应相比,CO2在在正极的电催化还原更加有价值,它不仅可以减少CO2废气的排放还可以制备出高附加值的化学产品。但是,在Zn-CO2电池体系中电催化CO2的还原(CO2ER)仍然是一个巨大的挑战。为此,浙江大学化工学院侯阳、和庆刚,华中师范大学邱明和德累斯顿工业大学冯新亮团队设计并制备了一种高效的CO2ER电催化剂:石墨烯负载的配位不饱和单原子Cu-N2催化剂(Cu-N2/GN)(图13)[7]。得益与不饱和的配位环境和单原子级的分散程度,该超薄的Cu-N2/GN纳米片展示出了高的CO2ER活性和对CO的选择性(高达81%),其催化CO2还原的起始电位仅为-0.33 V,这比之前报道的原子级分散的碳负载的Cu-N催化剂性能更好。同步辐射实验结果清晰地证明了Cu-N2/GN催化剂的活性中心为原子级分散的Cu-N2结构,其中Cu是与两个N原子相配位。理论计算也证明,相比于饱和配位的Cu-N4结构,Cu-N2/GN催化剂对CO2的吸附得到了明显的增强;此外,Cu-N2结构中较短的Cu-N键长也可以加速电子从Cu-N2位点转移至*CO2分子上,从而有效地加速*COOH的生成和CO2ER的性能。基于Cu-N2/GN催化剂设计的可充电的Zn-CO2电池展示出了高达0.6 mW cm-2的峰值功率,此外,该电池也可由太阳能驱动进行充电(图14)。
图13 石墨烯负载的Cu-N2催化剂材料表征

图14 Zn-CO2电池的电化学性能

5 染料敏化太阳能电池
ACS Sustainable Chemistry and Engineering:富氮中空碳球负载的Co-Nx-C催化剂用于染料敏化太阳能电池催化三碘化物还原
最近,在染料敏化太阳能电池(DSSCs)领域,中空碳球(hCSs)被认为很有希望成为一种低成本的催化三碘化物还原的正极催化剂。然而,与传统的Pt基电极相比,中空碳球基的电极仍然存在很多问题。在此,中国石油大学的李永峰团队通过煅烧吸附钴离子的富氮中空共聚物球合成出了富氮中空碳球负载的Co-Nx-C催化剂(Co-N-hCSs)(图15)[8]。循环伏安曲线,电化学阻抗谱和塔菲尔极化曲线测试表明Co-N-hCSs材料有着优异的电催化活性以及电化学稳定性(图16)。Co-N-hCSs材料优异的催化活性可归因于原子级分散的高本征催化活性的Co-Nx-C基团以及稳健的富氮中空碳球结构。因此,采用Co-N-hCSs作为电极的染料敏化太阳能电池展示出了优异的能源转换效率(7.71%),这堪比Pt基的染料敏化太阳能电池(7.65%),甚至更优秀。这表明Co-N-hCSs非常有希望作为高效催化剂应用在染料敏化太阳能电池里。
图15 Co-N-hCSs合成示意图

图16 Co-N-hCSs的电性能表征

Chemical Engineer Journal:纳米多孔石墨烯负载的原子级分散的Co-Nx–C电催化剂高效催化三碘化物还原
对于染料敏化太阳能电池而言,简易而又合理地设计出高效催化三碘化物还原的电催化剂一直都是一个挑战。在本文里,中科院长春应化所的Wang Ying和中国石油大学的李永峰团队设计并制备了纳米多孔石墨烯负载的原子级分散的N配位Co活性位点(Co-Nx-C)催化剂并将其应用于染料敏化太阳能电池(图17)[9]。该催化剂既有着原子级分散的活性位点也具备交联的介孔结构,这有利于充分暴露反应活性位点并促进质量传递。因此,该原子级分散的Co-Nx-C电催化剂表现出了高的催化活性和长久的电化学稳定性。电化学测试以及密度泛函计算发现其优异的催化活性源于其丰富的拓扑缺陷,N掺杂以及原子级分散的Co-Nx-C基团(图18)。进一步地研究发现,采用该催化剂作为对电极的染料敏化太阳能电池表现出了高的能量转化效率(9.06%),高于Pt基电极(7.71%)。该项研究不仅为染料敏化太阳能电池提供了一种有希望的对电极,同时也为开发与能源应用相关的纳米碳基的催化剂开辟了新道路。
图17 原子级分散的Co-Nx–C电催化剂的材料表征

图18 原子级分散的Co-Nx–C电催化剂的电性能表征

参考文献:
[1] X. Wan, X. Liu, Y. Li, R. Yu, L. Zheng, W. Yan, H. Wang, M. Xu, J. Shui, Fe–N–C electrocatalyst with dense active sites and efficient mass transport for high-performance proton exchange membrane fuel cells, Nature Catalysis, 2 (2019) 259-268.
[2] Y. Cheng, S. He, S. Lu, J.P. Veder, B. Johannessen, L. Thomsen, M. Saunders, T. Becker, R. De Marco, Q. Li, S.Z. Yang, S.P. Jiang, Iron Single Atoms on Graphene as Nonprecious Metal Catalysts for High-Temperature Polymer Electrolyte Membrane Fuel Cells, Adv Sci (Weinh), 6 (2019) 1802066.
[3] B.Q. Li, C.X. Zhao, S. Chen, J.N. Liu, X. Chen, L. Song, Q. Zhang, Framework-Porphyrin-Derived Single-Atom Bifunctional Oxygen Electrocatalysts and their Applications in Zn-Air Batteries, Adv Mater, 31 (2019) 1900592.
[4] J. Han, X. Meng, L. Lu, J. Bian, Z. Li, C. Sun, Single‐Atom Fe‐Nx‐C as an Efficient Electrocatalyst for Zinc–Air Batteries, Advanced Functional Materials, 29 (2019) 1808872.
[5] L. Zhang, D. Liu, Z. Muhammad, F. Wan, W. Xie, Y. Wang, L. Song, Z. Niu, J. Chen, Single Nickel Atoms on Nitrogen-Doped Graphene Enabling Enhanced Kinetics of Lithium-Sulfur Batteries, Adv Mater, (2019) 1903955.
[6] B.Q. Li, L. Kong, C.X. Zhao, Q. Jin, X. Chen, H.J. Peng, J.L. Qin, J.X. Chen, H. Yuan, Q. Zhang, J.Q. Huang, Expediting redox kinetics of sulfur species by atomic‐scale electrocatalysts in lithium–sulfur batteries, InfoMat, (2019) 1-9.
[7] W. Zheng, J. Yang, H. Chen, Y. Hou, Q. Wang, M. Gu, F. He, Y. Xia, Z. Xia, Z. Li, B. Yang, L. Lei, C. Yuan, Q. He, M. Qiu, X. Feng, Atomically Defined Undercoordinated Active Sites for Highly Efficient CO2 Electroreduction, Advanced Functional Materials, (2019) 1907658.
[8] W. Yang, X. Xu, L. Hou, Z. Li, B. Deng, J. Tian, F. Yang, Y. Li, Nitrogen-Enriched Hollow Carbon Spheres Coupled with Efficient Co–Nx–C Species as Cathode Catalysts for Triiodide Reduction in Dye-Sensitized Solar Cells, ACS Sustainable Chemistry & Engineering, 7 (2018) 2679-2685.
[9] W. Yang, Z. Li, X. Xu, L. Hou, Y. Tang, B. Deng, F. Yang, Y. Wang, Y. Li, Atomic N-coordinated cobalt sites within nanomesh graphene as highly efficient electrocatalysts for triiodide reduction in dye-sensitized solar cells, Chemical Engineering Journal, 349 (2018) 782-790.
本文由王老师供稿。
欢迎大家到材料人宣传HTH官网地址 成果并对文献进行深入解读,投稿邮箱: tougao@cailiaoren.com.
投稿以及内容合作可加编辑微信:cailiaorenVIP.





