【引言】
目前社会对大规模能量存储的需求激励着新型低成本、高安全性的能源存储技术的发展。全固态钠电池兼具低成本和原料(钠)资源丰富的优势,而且具有高安全性,是未来制备全固态电池的合适材料。钠超离子导体是开发全固态钠电池的关键,以有多种形式的无机钠超离子导体得到报道,其中,氧化物钠超离子导体有着化学/电化学通用性,在电池领域受到了广泛关注。然而,传统氧化物一般需要通过~1000oC的高温烧结来达到足够高的离子导电性,从而降低晶界电阻。近期报道的氧化物锂超离子导体,不仅表现出高离子电导和良好的电化学稳定性,而且有着相对低的熔点(~280oC),可在低温下降低晶界电阻。
【成果简介】
钠超离子导体是开发具有高安全系数、低成本的全固态锂电池的关键。在已得到开发的钠超离子导体中,反钙钛矿型离子导体凭借其较高的结构容忍度和较好的成形性,受到了广泛关注。近日,华中HTH官网地址 大学谢佳教授和北京大学蒋鸿研究员(共同通讯作者)课题组合作在Journal of the American Chemical Society上发表了题为“Rotational Cluster Anion Enabling Superionic Conductivity in Sodium-Rich Antiperovskite Na3OBH4”的文章。作者用Na2O和NaBH4进行固态反应,成功地合成了具有立方反钙钛矿结构的Na3OBH4。Na3OBH4在室温下的离子电导率为4.4 × 10−3 S cm−1,离子迁移活化能为0.25eV。值得一提的是,和现存的反钙钛矿体系Na3OX(X = Cl, Br, I)相比,离子电导率要高出四个数量级,这一提高不仅归因于Na3OBH4特殊的立方反钙钛矿晶体结构,还由于BH4阴离子团的旋转性。密度泛函理论计算表明,BH4阴离子具有非常低的旋转势垒,BH4旋转显著降低了Na离子迁移势垒。该工作加深了对反钙钛矿结构固体电解质的理解,明确了阴离子团在超离子导体中的重要意义。
【图文导读】
图1:已标注Miller指数的合成Na3OBH4的XRD图谱。

图2:Na3OBH4的晶体结构表征。
(a)Na3OBH4和Na3OBr中固态Na的核磁共振谱;
(b)300K下,Na3OBD4的中子粉末衍射的结构精修图;
(c)由中子粉末衍射结构精修得到的Na3OBD4晶体结构。
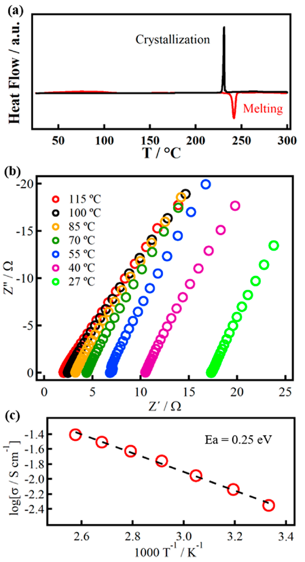
图3:反钙钛矿结构Na3OBH4的热力学稳定性和离子电导率。
(a)Na3OBD4的差示扫描量热法分析(DSC图);
(b)在300-390K温度范围内,热压法制成的Na3OBH4的Nyquist图;
(c)在300-390K温度范围内,热压法制成的Na3OBH4的Arrhenius图。
图4:一系列钠离子离子导体的离子电导率和活化能。

【小结】
总的来讲,Na3OBH4可通过简单易行的固态反应成功合成,且通过固态NMR和XRD结果揭示了Na3OBH4具有未形变的立方反钙钛矿晶体结构。室温下和328K时的离子电导率分别是4.4 × 10−3 S cm−1和 1.1× 10−2 S cm−1,BH4的旋转可促进钠的迁移。该工作将带动基于超离子导体的阴离子团簇的研究,特别是针对其导电机制的探究。下一步的优化工作和全固态钠电池的开发正在开展中。
文献链接:Rotational Cluster Anion Enabling Superionic Conductivity in Sodium-Rich Antiperovskite Na3OBH4(J. Am. Chem. Soc.,2019,DOI : 10.1021/jacs.9b01746)
本文由材料人计算材料组Isobel供稿,材料牛整理编辑。
欢迎大家到材料人宣传HTH官网地址 成果并对文献进行深入解读,投稿邮箱tougao@cailiaoren.com。
投稿以及内容合作可加编辑微信:cailiaokefu





