【引言】
随着摩擦电纳米发电机(TENG)的发明,接触起电(CE)(或摩擦起电)重新引起了研究人员的兴趣,这些发电机使用摩擦电能进行能量转换。为了获得更高的输出性能,需要在TENG的绝缘体表面上产生更多的摩擦电荷。然而,增加TENG中的摩擦电荷的方法是有限的,因为CE的机制仍然模糊。CE中最大的争议是载流子的成分及其转移机制。事实上,由于材料的导热性、表面粗糙度、不对称摩擦等的不同,两种相互摩擦的固体的温度通常是不同的。通过在不同温度下在两种固体之间进行CE来确定载流子的特性是非常可靠的方法。
【成果简介】
近日,中科院纳米能源所王中林院士(通讯作者)等使用原子力显微镜和开尔文探针力显微镜研究了在不同热条件下的金属-电介质壳体的CE和摩擦带电过程,并在Adv. Mater.上发表了题为“Electron Transfer in Nanoscale Contact Electrification: Effect of Temperature in the Metal–Dielectric Case”的研究论文。作者发现纳米级的电荷转移过程遵循改进的热电子发射模型。特别地,此处关注的是CE上两种接触材料之间温差的影响。结果表明,较热的固体倾向于接收正摩擦电荷,而较冷的固体倾向于带负电,表明温差引起的电荷转移可归因于热电子发射效应,其中电子被热激发并从较热的表面转移到较冷的表面。此外,作者提出了一种热电子发射能带结构模型来描述两种固体在不同温度下的电子转移。该发现还表明,CE可以在两种相同的材料之间发生,是由于存在由具有不同曲率/粗糙度的表面的纳米级摩擦引起的局部温差。
【图文简介】
图1 AFM测试

a) AFM实验平台的设置;
b) 峰值力轻敲模式的力曲线;
c,d) 峰值力轻敲前探针形貌的SEM图像;
e,f) 峰值力轻敲后探针形貌的SEM图像;
g) 通过AFM测量的SiO2样品形貌;
h) XPS检测点阵列;
i) SiO2样品的XPS光谱。
图2 不同温度下SiO2样品表面的摩擦电荷产生和消散

a) 不同温度下与Au涂覆探针接触引起的SiO2样品表面电位的变化;
b) 温度对探针和SiO2样品之间转移的电荷密度的影响;
c) 不同温度下SiO2表面电位的衰减;
d) 不同温度下SiO2表面上转移的电荷密度的衰减。
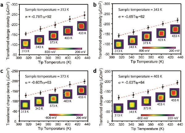
图3 温差对镀金探针与SiO2样品之间CE的影响

a) 样品温度为313K时,转移电荷密度随探针温度的变化;
b) 样品温度为343K时,转移电荷密度随探针温度的变化;
c) 样品温度为373K时,转移电荷密度随探针温度的变化;
d) 样品温度为403K时,转移电荷密度随探针温度的变化。
图4 Au涂覆探针和样品温差对探针与Al2O3、AlN和Si3N4样品之间CE的影响

a,c,e) 当探针和样品温度都升高时,Al2O3、AlN和Si3N4表面上转移的电荷密度的变化;
b,d,f) 当样品温度保持在313K时,Al2O3、AlN和Si3N4表面上的转移电荷密度与探针温度之间的关系。
图5 温差诱导电荷转移的能带结构模型(Ef> E0)

a,c,e) 当金属温度低于、等于或高于电介质温度时,金属的带结构和电介质的表面状态;
b,d,f) 当金属温度低于、等于或高于电介质温度时,金属和电介质之间接触电荷转移的示意图。
图6 温差诱导电荷转移的能带结构模型(Ef<E0)

a,c,e) 当金属温度等于、高于或远高于电介质温度时,金属的能带结构和电介质的表面状态;
b,d,f) 当金属温度等于、高于或远高于电介质温度时,金属和电介质之间接触电荷转移的示意图。
图7 稳定性测试CE中的热电子发射模型

a) 在不同DC偏压下,探针温度对Au涂覆探针和SiO2样品之间的电荷转移的影响;
b,c) 当金属温度等于或高于电介质温度,对金属施加负偏压时金属和电介质的能带结构;
d,e) 当金属温度等于或高于电介质温度,对金属施加正偏压时金属和电介质的能带结构。
【小结】
综上所述,作者使用AFM和KPFM研究了温度对纳米级金属-电介质CE的影响,发现摩擦电荷衰减遵循纳米尺度的热电阻模型。结果表明,温差可以影响CE中转移电荷的大小和极性。较热的材料倾向于带正电,而较冷的材料倾向于带负电。此外,作者提出了一种基于热电子发射模型的电子转移机理来解释温度对元电介质CE的影响。 此外,该工作给出了相同材料之间CE以及CE中的极性反转可能的解释,并提供了通过改变温差来控制TENG中CE的潜在方法。
文献链接:Electron Transfer in Nanoscale Contact Electrification: Effect of Temperature in the Metal–Dielectric Case (Adv. Mater., 2019, DOI: 10.1002/adma.201808197)
【团队介绍】
王中林院士是纳米能源研究领域的奠基人,首次发明了纳米发电机和自驱动纳米系统技术,被誉为“纳米发电机之父”。他发明压电纳米发电机和摩擦纳米发电机,提出自驱动系统和蓝色能源的原创大概念,将纳米能源称为“新时代的能源”。这一应用于物联网、传感网络和大数据时代的新能源技术,开启了人类能源模式新篇章,为微纳电子系统发展和物联网、传感网络实现能源自给和自驱动提供了新途径。王中林院士是压电电子学和压电光电子学两大学科的奠基人,这两大学科对纳米机器人、人-电界面、纳米传感器、LED技术的发展具有里程碑意义,目前国际学界对这两大学科已广泛接受和认可,并于2018年获得纳米能源领域最高奖,有能源“诺贝尔奖”之称的埃尼奖。
【团队在该领域的工作汇总】
1. 提出微观尺度在线测量摩擦起电的方法:Nano Lett 2013, 13, 2771-2776.
2. 通过加偏压实现了摩擦起电的控制:Nano Lett 2014, 14, 1567-1572.
3 在微观下比较了摩擦起电和接触起电之间的区别:Nano Research 2016, 9, 3705-3713.
4. 研究了tapping模式的起电规律,发现只有探针和样品接近到一定程度才能够产生摩擦起电:ACS Nano 2016, 10, 2528-2535.
5. 在宏观尺度研究了摩擦电荷在绝缘体表面的衰减规律,提出热电子发射模型:Advanced Materials 2018, 30, 1706790.
6. 在宏观尺度研究了曲率对摩擦起电的影响,发现曲率的变化能够影响绝缘体之间的电子转移:ACS Nano 2019, 13, 2034-2041.
本文由材料人编辑部abc940504【肖杰】编译整理。
投稿以及内容合作可加编辑微信:cailiaokefu,我们会邀请各位老师加入专家群。
欢迎大家到材料人宣传HTH官网地址 成果并对文献进行深入解读,投稿邮箱tougao@cailiaoren.com。





