【背景介绍】
摩擦纳米发电机(TENG)是一种新型的能量收集技术,可以将周围环境的机械能和人体运动直接转化为电能。TENG具有体积更小、材料可用范围更广、重量更轻等优点,可在环境中捕获风能、水滴的重力势能等能量。但是,由于拉伸、弯曲、压缩、界面摩擦和高压击穿等原因,TENG容易遭受无法预料的损坏,通常会降低输出电气性能,甚至导致故障。而自修复材料为解决上述问题提供了一种理想的方案。虽然基于自修复材料的TENG以取得一些成果,但是研究人员常常忽略了电击穿损坏。事实上,如果将发电层的厚度减小到一定水平,则任何类型的TENG都会出现电击穿问题。当将薄膜厚度减小到0.2 m时,TENG材料在199 V电压下会发生电击穿问题。同时较薄发电层的TENG具有较高的输出性能,但其薄膜越薄,发生电击穿问题的风险就越高。此外,目前的电击穿自修复材料的电击穿自修复效率通常小于80%,从而限制了它们在TENG中的应用。
【成果简介】
近日,南京林业大学罗振扬教授和瑞典吕勒奥理工大学Yijun Shi(共同通讯作者)等人报道了一种基于新型聚氨酯基自修复弹性体的新型TENG,该弹性体具有良好的机械自修复性能(修复效率约为96%)和优异的电击穿自修复性能(修复效率为90%)。通过自修复机理研究表明,优异的自修复性能是来自分子间氢键、Fe3+与吡啶环之间弱而动态的配位键的结合。该TENG产生的开路电压为180 V、短路电流为1.3 μA、最大功率为40 mW·m-2。同时,该TENG表现出优异的稳定性,即使在3000次循环后,其输出性能也不会降低。更重要的是,经过几次机械自修复或电气击穿自修复后,该TENG的输出电性能几乎可以100%恢复到原始状态。研究成果以题为“A new triboelectric nanogenerator with excellent electric breakdown self-healing performance”发布在国际著名期刊 Nano Energy上。

【图文解读】
图一、配位键和氢键双动态网络示意图

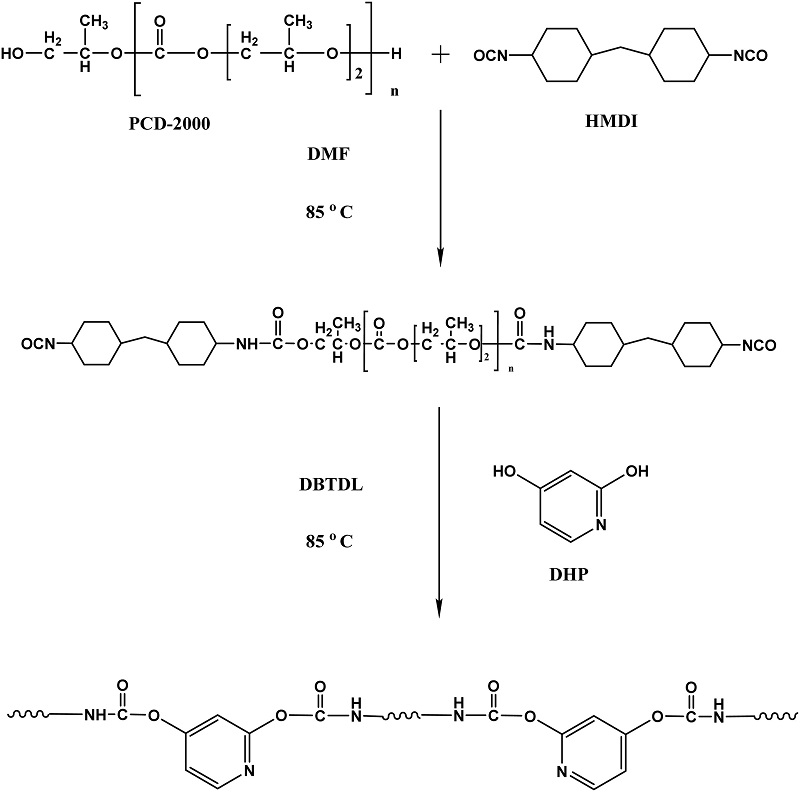
图二、聚氨酯-2,4-二羟基吡啶(PU-DHP)的合成路线

图三、PU-DHP、PU-DHP/Fe2的全频带ATR-FTIR

图四、机械自修复性能
a-d)PU-DHP/Fe30、PU-DHP/Fe12、PU-DHP/Fe6和PU-DHP/Fe2在50℃和室温下初始曲线和修复曲线的应力-应变曲线;
e)比较所有样品的自修复效率;
f)PU-DHP/Fe30、PU-DHP/Fe12、PU-DHP/Fe6和PU-DHP/Fe2的图像。
图五、电击穿自修复性能
a)在45 kV电压击穿后,厚度为0.3 mm的样品的自修复;
b)比较过去十年中电击穿自修复材料的电击穿强度、机械修复效率和电击穿修复效率。
c-f)用光学显微镜记录的电击穿部位的照片。
图六、氢键和配位键的贡献
a)在不同温度下,PU-DHP/Fe2的低场NMR光谱;
b-d)PU-DHP和PU-DHP/Fe2的XPS光谱。
图七、DFT分析
a-b)从基态的总能量和Fe3+与最接近的氮原子和氧原子之间的距离消除模型PU-DHP/Fe系统的总能量;
c)将Fe3+掺入PU-DHP后电荷密度分布的变化。
图八、自修复型TENG
a)TENG的工作机理和电荷产生过程的示意图;
b)TENG照亮了17个LED的照片;
c-d)TENG纺织品在相对于PU-DHP/Fe3+薄膜约1.2 Hz的相对运动下的输出Voc和Isc;
e)在不同的外部负载电阻下的电压、电流和功率;
f)TENG性能的稳定性和耐久性测试。
图九、自修复型TENG的性能
a-d)在不同时间下,PU-DHP/Fe2基TENG在自修复过程中的电流和输出电压;
c-d)PU-DHP/Fe2基TENG在3次机械损伤修复过程中的电流和输出电压;
e-f)PU-DHP/Fe2基TENG在3次电击穿和自修复过程中的电流和输出电压。
【小结】
综上所述,作者报道了一种具有双动态网络(氢键和配位键)的高度可修复弹性体,并以此制备了一种新型的TENG。这种双重动态网络赋予材料特殊的性能,包括在反复电场击穿后具有96%的机械自修复效率和近100%的电击穿自修复效率。通过理论计算和实验研究表明,自修复性能源自材料的双重动态网络。经研究证实,PU-DHP/Fe3+可用于开发具有机械自修复和电击穿自修复特性的TENG。这种材料为TENG遭受机械损坏或电击穿损坏提供了极好的保护,大大提高了TENG的可靠性。总之,研发的TENG在制备多功能智能发电机和可穿戴电子设备方面具有巨大的前景。
文献链接:A new triboelectric nanogenerator with excellent electric breakdown self-healing performance. Nano Energy, 2021, DOI: 10.1016/j.nanoen.2021.105990.
通讯作者简介
罗振扬,教授/研究员级高级工程师。现任南京林业大学理学院院长、高分子材料研究所所长,兼任国家工程材料标准化工作组(SAC/SWG3)委员、《关于消耗臭氧层物质的蒙特利尔议定书》中国履约专家组成员、江苏省复合材料学会常务理事、中国聚氨酯工业协会理事、《聚氨酯工业》名誉主编。从事高聚物多相结构与性能、功能高分子材料、生物质高分子材料方面研究。
相关论文:
A self-healing elastomer based on an intrinsic non-covalent cross-linking mechanism,J. Mater. Chem. A, 2019, 7, 15207-15214,DOI:10.1039/C9TA03775F
本文由CQR编译。
欢迎大家到材料人宣传HTH官网地址 成果并对文献进行深入解读,投稿邮箱:tougao@cailiaoren.com.
投稿以及内容合作可加编辑微信:cailiaokefu.





