【导读】
随着化石能源的枯竭和环境的恶化,可持续和清洁的环境能源成为人类文明进步的关键。近年来,从环境中获取能源具有生态友好、低成本和可持续发展等优势,发展势头迅猛。其中,许多可行的能量收集机制,如压电、热释电、摩擦发电等, 被用于提高输出性能。由于其自发性、普遍性、直流(DC)输出和可持续性,从自然界水蒸发中获取能量已被作为自供电和低功率设备和系统供电的有前景的替代方案。在之前的研究中,研究者已经开发了一种基于处理过的炭黑片材的水蒸发能量收集器,亲水片材提供毛细作用力并推动水流向上攀升,伴随液-固摩擦起电,水蒸发引起的电能产生。受这项研究的启发,研究人员通过优化发电机的材料、结构、制造工艺提高了发电机的性能。优异的水蒸发纳米发电机明显提高了开路电压(<2 V)、短路电流(<1 µA)等关键性能指标。这些结果表明,水蒸发感应电具有为低功耗设备供电的能力。但要解决机械强度差、稳定性低、成本高、制造工艺复杂等不足,仍然具有诸多挑战。
【成果掠影】
在此,杭州电子HTH官网地址 大学王高峰教授,董林玺教授,刘超然副教授和美国佐治亚理工学院王中林院士等人(共同通讯作者)提出了一种基于液固摩擦纳米发电机(LS-TENGs)的水蒸发诱导电能收集方法,该方法具有易于制备、无需基板和坚固耐用等优点。本文开发的基于商业化多孔Al2O3陶瓷薄片能量收集装置,通过优化薄片的物理尺寸和相对湿度、温度、风速和离子浓度等环境参数,可产生≈0.3μA连续稳定的直流电和≈0.7V电压,具有稳定性高、易于制造、成本低、性能稳定等突出优势。同时,通过串联或并联LS-TENGs也可以明显提高输出功率,具有优越的兼容性和环境适应性。此外,与碳或纳米线材料相比,陶瓷的坚固性使LS-TENG具有更好的输出稳定性和更长的使用寿命,简单的制造工艺有利于批量生产和应用。水蒸发诱导电能收集技术也显示出了在数字计算器和充电电容器供电等领域的应用前景,本研究为基于LS-TENG的水蒸发诱导电能收集提供了深入的实验研究,并提供了一种为低功率设备供电的有效方法。
相关研究成果以“Harvesting Water-Evaporation-Induced Electricity Based on Liquid–Solid Triboelectric Nanogenerator”为题发表在Adv. Sci.上。
【核心创新点】
1.本文展示了一种基于水蒸发诱导电能收集的液固摩擦纳米发电机(LS-TENGs),其具有易于制备、无需基板和坚固耐用等优点;
2.优化Al2O3陶瓷片的物理尺寸和相对湿度、温度、风速和离子浓度等环境参数,可产生≈0.3μA连续稳定的直流电和≈0.7V电压,能够成功在数字计算器和充电电容器中得到应用。
【数据概览】
图一、多孔Al2O3陶瓷片的水蒸发驱动发电 © 2022 The Authors
(a)测量蒸发驱动电的实验装置
(b)陶瓷片的单个纳米通道中水流诱导的电流示意图;
(c)LS-TENG制造过程的示意图和LS-TENG的照片;
(d)Al2O3陶瓷片的SEM图像;
(e)LS-TENG表面的接触角测试。
图二、LS-TENG的测量系统和输出性能 © 2022 The Authors
(a,b)LS-TENG产生电能的示意图和实验测量系统;
(c)LS-TENG输出的长期稳定性;
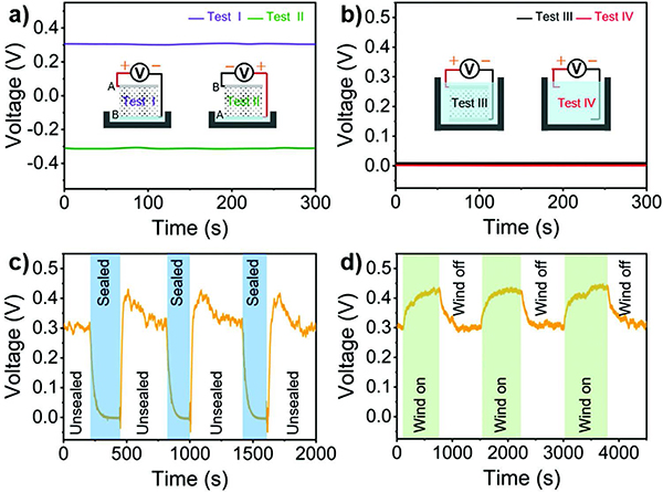
图三、源自自然水蒸发的感应电 © 2022 The Authors
(a)设备在测试前后(测试 I)和(测试 II)产生的电压(Voc);
(b)设备完全被水淹没时的Voc;
(c)水槽定期密封和启封时设备的Voc;
(d)当0.1 ms–1的环境气流周期性地打开和关闭时设备的Voc。
图四、几何尺寸、环境条件和离子浓度对LS-TENG输出性能的影响 © 2022 The Authors
(a-i)Voc和Isc随不同的陶瓷片宽度,不同的厚度,两个电极之间的不同高度,不同的相对湿度,不同的温度,不同的风速,HCl,不同pH值的NaOH溶液,以及不同浓度的NaCl溶液的变化。
图五、LS-TENG的输出性能和应用 © 2022 The Authors
(a,b)单个样品以及串联或并联的三个样品的Voc和Isc;
(c)LS-TENG在不同负载电阻下的输出电压、电流和功率;
(d)LS-TENG为100、47和10 µF的电容器充电;
(e)为电子计算器供电的LS-TENG的照片
【成果启示】
综上所述,本文提出了一种基于液固摩擦纳米发电机(LS-TENG)的水蒸发感应电收集方法。在Wang模型的指导下,这种优化的LS-TENG由商也化多孔Al2O3陶瓷片组成,并实现了Voc≈0.7 V和Isc≈0.3 µA的可持续稳定直流电输出。同时,只需将LS-TENG串联或并联即可成倍增加输出功率,具有优越的电能输出性能、兼容性、稳定性和环境适应性。这些优异的性能使LS-TENG能够应用于许多实际应用,例如数字计算器的电源和充电电容器。本文的努力不仅为水蒸发诱导的电能收集提供了深入的实验探索,而且为LS-TENG机制的应用提供了新的视角。
文献链接:“Harvesting Water-Evaporation-Induced Electricity Based on Liquid–Solid Triboelectric Nanogenerator”(Adv. Sci.,2022,10.1002/advs.202201586)
本文由材料人CYM编译供稿。欢迎大家到材料人宣传HTH官网地址 成果并对文献进行深入解读,投稿邮箱tougao@cailiaoren.com。
材料人投稿以及内容合作可加编辑微信:cailiaokefu 。





