【引言】
控制过冷液体的相和形态选择仍然是材料科学中最大的挑战之一。在高度过冷的液体/非晶中,与接近液相线温度相比,原子迁移率可以变化很大。这为亚稳结晶相的形成提供了很大的驱动力。不仅可以出现新的,不可预测的阶段,而且较低的移动性也可能导致不寻常的微观结构。理解和预测远离平衡的相选择的热力学和动力学途径是一项艰巨的挑战,因为大多数热力学模型假设相变发生在热力学平衡附近。因此,亚稳态相变机制和动力学的实验测量对于帮助建立可靠模型克服这一挑战至关重要,原位研究材料转变是揭示亚稳相选择的机制和动力学的最佳方法之一。
【成果简介】
近日,美国能源部Ames国家实验室staff scientist 周琳(第一作者兼通讯作者)在Acta Materialia 上发表题目为“An Abnormal Meta-stable Nanoscale Eutectic Reaction Revealed by in-situ Observations”的文章。作者使用原位高能X射线衍射(HEXRD)与原位像差校正扫描透射电子显微镜发现Al60Sm11(ε相)与其无定形前体的复杂亚稳态晶化,并揭示了其原位生长机制和动力学成因。这种新机制提供了通过亚稳相变制造具有纳米沉淀分散体的合金结构的新途径。
【图文导读】
图一 原位扫描

(a)检测条件:180℃等温;晶化表现为多晶型转变
(b)SAED与TEM表明急冷态的无定型特征
(c)加热之前急冷态无明显化学偏析
(d)晶化之后 ~500nm ε相晶粒形成;高密度链状沉淀物混和于ε相间
(e)STEM成像证实这些沉淀物富含Al
图二 ε相的成核和生长

ε相最初具有均匀的对比度,随着它长到~25nm,在晶粒内部观察到一些较暗的对比区域
图三 无定形区域ε晶粒的逐渐增长

白色箭头表示富铝相的位置,而红色箭头表示显示界面穿过两个富铝簇的区域。
图四 ε相和fcc-Al之间的晶体学关系

如白色箭头所示,衍射图案中的弧显示来自fcc-Al
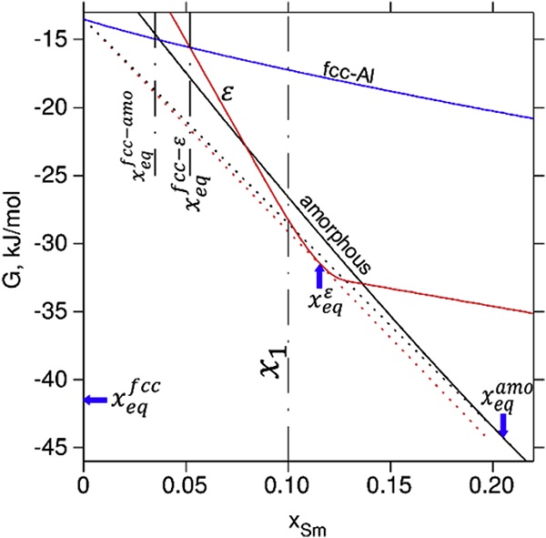
图五 175℃下fcc-Al,无定形,液体和ε-Al60Sm11相吉布斯自由能计算

计算表明组成x1 = 0.1附近相的相对稳定性
【小结】
通过使用HEXRD,TEM,STEM和EDS技术的组合实时监测成核和生长过程,揭示了Al90Sm10金属玻璃中的亚稳异常共晶晶化过程。具有相似组成的无定形基质中的晶体ε相的生长伴随着在ε/非晶界面处间歇形成纳米尺寸的fcc-Al簇。这些纳米Al簇改变ε/玻璃界面运动并促进“花椰菜”微结构的产生。观察到的亚稳相形成序列与其吉布斯自由能一致。本研究中使用的技术为研究散装材料中亚稳态相转变至原子分辨率的机制提供了不可替代的方法。
Ames Lab 是美国能源部17个国家实验室之一。 它位于爱荷华州立大学的校园内,是唯一一个地处美国大学校园的国家实验室。该实验室主要从事新材料的合成和研究。2013年1月,能源部宣布在艾姆斯实验室成立关键材料研究所(CMI),其使命是开发解决稀土金属和其他对美国能源安全至关重要的材料短缺的解决方案。
文献链接:An Abnormal Meta-stable Nanoscale Eutectic Reaction Revealed by in-situ Observations(Acta Materialia,2018,DOI: 10.1016/j.actamat.2018.11.027)
本文由材料人编辑部学术组liunian供稿,材料牛编辑整理。
材料牛网专注于跟踪材料领域HTH官网地址 及行业进展,这里汇集了各大高校硕博生、一线科研人员以及行业从业者,如果您对于跟踪材料领域HTH官网地址 进展,解读高水平文章或是评述行业有兴趣,点我加入材料人编辑部。
欢迎大家到材料人宣传HTH官网地址 成果并对文献进行深入解读,投稿邮箱tougao@cailiaoren.com。
投稿以及内容合作可加编辑微信:cailiaorenvip。





