一、[导读]
插层型金属氧化物由于在低电压下镀锂的危险性降低,是安全可充锂离子电池极有前途的负极材料。然而,其较低的能量和功率密度以及循环不稳定性仍然是制约其发展的瓶颈,尤其是对于快速充放电过程。
二、[成果掠影]
美国博伊西州立大学熊晖与美国加州大学圣地亚哥分校Shyue Ping Ong课题组合作,报告了一种纳米结构的岩盐Nb2O5电极,该电极是在与Li+重复电化学循环过程中通过非晶向晶体的转变而形成的。该电极每Nb2O5可以可逆循环三个锂,在20 mA g-1时具有269 mAh g-1的可逆容量,并在1 A g-1的高倍率下能量密度高达191 mAh g-1。在200 mA g-1下循环400次,容量为225 mAh g-1,库仑效率高达99.93%。本工作将增强的性能归因于立方岩盐框架,它促进了低能迁移路径。本工作表明,通过电化学循环诱导非晶态纳米材料的晶化是创造非常规高性能金属氧化物电极材料的一个很有前景的途径。相关论文以题为:“Electrochemically induced amorphous-to-rock-salt phase transformation in niobium oxide electrode for Li-ion batteries”发表在Nature Materials上。

三、[核心创新点]
- 一种独特的氧化铌电极,其可以通过Li+重复电化学循环期间由无定形到晶体的转变获得。
- 当组成电池时,该电极具有优秀的可逆容量和循环稳定性,这可以归因于该电极的立方岩盐框架,它促进了低能迁移路径。
- 本工作提出,通过电化学循环诱导非晶态纳米材料的晶化是创造非常规高性能金属氧化物电极材料的一个很有前景的途径。
四、[数据概览]
制备的纳米通道Nb2O5的表征以及通过电化学循环实现NCNO的a-to-c转化
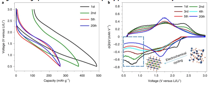
样品由电连接到Nb集电器的垂直定向纳米通道氧化铌(NCNO)组成(图1)。这种特殊的纳米结构有助于电解质快速进入活性壁,并促进电子和离子传输以增强动力学。选区电子衍射(SAED;图 1d)、X 射线衍射和拉曼光谱表明所制备的NCNO是无定形的。将所制备的NCNO样品在3 V和0.5 V与Li/Li+之间进行电化学循环,电极的电压(V)曲线和相应的微分容量(dQ/dV)图如图2所示。初始放电的电压曲线以浅的线性斜率为特征,在随后的循环中形成以1.67 V为中心的平台状特征(图2a)。平台的出现表明晶体主体材料中等效嵌入位点数量的增加代表了嵌入/脱嵌过程中的一级相变,这表明由Li+电化学循环引发的a-c相变。从图2a可以看出, 在初始循环期间表现出很大的滞后,这可能是由机械应力、热力学熵效应、活化极化、成核势垒和/或活性材料内的晶格畸变引起的。在第5次和第20次循环中观察到滞后现象显着降低,表明电极通过重复的锂嵌入/脱出自我改善了其热力学和动力学性质。ΔEp从第5个周期的140 mV下降到第100个周期的74 mV,表明新形成的相持续改善。这一观察结果还表明,新的Nb2O5结构是在a-c电化学转化过程中形成的,它提供了改进的电荷存储和传输动力学。

图1. 制备的NCNO的表征 © 2022 Springer Nature

图2. 经电化学循环的NCNO的电压曲线和微分容量图 © 2022 Springer Nature
a-to-c Nb2O5电极的结构表征以及RS-Nb2O5电极的多电子氧化还原
透射电镜、掠入射同步加速器 X 射线衍射和非原位扩展X射线吸收精细结构 (EXAFS) 用于阐明 Nb2O5 的新岩盐相(图3)。首先通过SAED和高分辨率TEM评估3 V和0.5 V之间电化学循环时的相变(图3a-f)。原始样品在SAED中呈现出漫射环(图3a),与在高分辨率TEM中观察到的无定形特征一致(图3d)。SAED 图案在第一个循环后开始锐化(图3b),表明在无定形基质内形成了纳米微晶(图3e)。第20次循环后,SAED和高分辨率TEM均显示氧化物已完全结晶(图3c,f)。此外,掠入射同步辐射X射线衍射在不同入射角,即探测深度下,样品的峰形和峰位没有明显变化。因此,样品始终保持纳米晶,表明薄膜的均匀性和微不足道的表面紊乱。这进一步说明通过电化学循环得到的新晶态结构相对于其初始非晶结构的性能有所改善。
本工作采用原位Nb K边X射线吸收近边结构(XANES)和XPS对样品中Nb在各种放电状态(图4a,b)下的价态进行评价。原始样品的XANES谱最接近于H-Nb2O5标准,表明Nb在+5左右的体中处于氧化状态。当放电到1 V时,样品边缘位置与NbO2标准接近,说明Nb的氧化态降低到+4。进一步放电到0.5 V时,谱线边缘移动到更低的能量,表明电极本体中处于+4以下的Nb氧化状态。采用DFT模拟了嵌锂进入RS-Nb2O5的电压剖面。由这些计算构建的伪二元RS-Nb2O5-Li3Nb2O5相图如图4c所示,计算和实验电压分布图如图4d所示。总体而言,Perdew-Burke-Ernzerhof电压平均值为1.76 V,与实验平均值1.67 V非常吻合。

图3. 电化学循环中NCNO样品的结构表征 © 2022 Springer Nature

图4. RS-Nb2O5中Nb氧化态的表征;Perdew-Burke-Enzerhof计算的化合物相图;以及LixNb2O5的电压分布 © 2022 Springer Nature
N2O作为O源在酚类催化合成中的重估以及RS-Nb2O5的电荷存储和传输动力学
RS-和a-Nb2O5电极在20、50、100、200和1,000 mA g-1的不同电流速率下的倍率性能如图5a所示。RS-Nb2O5电极在20 mA g-1的电流密度下表现出269 mAh g-1的高可逆容量,对应于每Nb约1.42个电子氧化还原。RS-Nb2O5的高容量是Nb2O5和铌酸盐电极报告值中最好的。此外,本工作观察到在200 mA g–1(243 mAh g−1)的电流速率增加时容量下降<10%,而在1,000 mA g–1的电流密度下,电极容量在191 mAh g-1时略低。相比之下,a-Nb2O5电极在1,000 mA g-1的倍率下显示出相当低的容量(73 mAh g-1)。RS-Nb2O5和a-Nb2O5电极在200 m A g-1电流下的循环寿命如图5b所示。RS-Nb2O5电极在400次循环中表现出224 mAh g-1的高可逆容量,容量损失仅0.02 %。在RS-Nb2O5 (20 mA g-1)的前4个形成周期中,初始库仑效率为75 %。循环10次后,电极库仑效率超过99%。到第400次循环时,电极表现出99.93%以上的库仑效率。相比之下,α-Nb2O5电极的库仑效率为98.78%,第400次循环时容量损失超过15%。RS-Nb2O5电极稳定性的提高可归因于其立方骨架及其纳米结构在整个脱嵌锂过程中的保留。
为了阐明Li3Nb2O5中锂的迁移机制,本工作计算了6种代表性低能构型中38条Li跳跃路径的动力学分辨激活势垒,以考虑局域环境可能的影响。与DRX锂过渡金属氧化物阴极相比,本工作发现直接八面体-八面体跃迁比八面体-四面体-八面体跃迁更受青睐。沿八面体-八面体跃迁的局域环境可以用x-Li来表征,其中0≤x≤4是Li离子占据迁移路径相邻的共边八面体位的数目。Nb占据邻近位置的数量为4-x。如图5c所示,与Nb3+/4+相比,x-Li的增加显著降低了Li+的静电斥力导致的迁移障碍。

图5. RS-Li3Nb2O5迁移势垒的RS-Nb2O5计算和a-Nb2O5样品的电化学性能 © 2022 Springer Nature
RS-Nb2O5的电学特性
插层电极材料为混合离子导体和电子导体。材料的电导率对其功率性能有明显影响。因此,本工作通过Mott-Schottky分析和两点探针电导率测量,以及PF-TUNA对比a-Nb2O5来评价RS-Nb2O5的电导率(图6)。对纯相、a-Nb2O5和RS-Nb2O5样品进行Mott-Schottky分析(图6a)。图6a中每个样品的正斜率表明了一个n型半导体响应,其中电子是主要的电荷载流子,如预期的Nb2O5。Mott-Schottky曲线中斜率越凹陷,相应的载流子浓度越高,RS-Nb2O5的电荷载流子浓度最高。对循环后的a-Nb2O5和RS-Nb2O5样品进行了PF-TUNA成像(图6b-d),同时绘制了各样品的电导率和形貌图。原始样品PF- TUNA成像显示电导率可忽略不计,表明其绝缘性。而循环a-Nb2O5样品(图6b)中的电导相对于原始样品有所增加,但RS-Nb2O5 (图6c)的观测平均电流比a-Nb2O5高两个数量级。PF-TUNA成像表明,尽管RS-Nb2O5电极相对a-Nb2O5电极的电导率大幅提高,但在纳米尺度下表面仍然是异质的。在图6d所示的5×5 μm2区域内,表面上观察到电流分布不均匀。本工作假设观察到的非均匀性与相变过程有关,相变过程自适应地促进离子和电子输运的最低迁移垒。

图6. RS-Nb2O5和a-Nb2O5样品的电导率表征 © 2022 Springer Nature
五、[成果启示]
总之,本工作报道了一种通过电化学驱动的非晶态纳米通道Nb2O5晶化而产生的岩盐Nb2O5电极材料。RS-Nb2O5为每Nb多电子氧化还原,用于锂离子存储。DFT计算揭示了导致RS-Nb2O5特殊电化学性能的重要低能锂迁移路径。立方结构由于增加了锂离子扩散系数和电导率,从而提供了具有高倍率性能的材料。同时,由于脱嵌锂的结构完整性,该晶体表现出较高的稳定性。电化学循环过程中原子自组织进入最优晶体结构,为获得具有独特性能的稀有金属氧化物结构提供了合成途径。利用电化学循环形成新颖的晶态结构,可以有利于设计其他增强电极材料。
第一作者:Pete Barnes
通讯作者:熊晖、Shyue Ping Ong
通讯单位:德国马克斯普朗克煤炭研究所
论文doi:
https://doi.org/10.1038/s41563-022-01242-0





