【引言】
作为典型的二维(2D)材料,过渡金属硫族化合物(TMD)是半导体性的,在场效应晶体管,超薄光电探测和发光器件中具有广泛的应用潜力。在能量收集领域,一些实验报道了基于2D MoS2的压电纳米发电机的技术原型,其原理是利用MoS2的压电性和压电电子学效应。此外,由于平坦的表面和大的接触面积,MoS2材料也被用于摩擦发电器件以获得更高的电压输出和连续的直流电流。最近,利用化学气相沉积和热硒化方法,可在MoS2单层中用Se原子完全替代顶层S原子,从而成功合成了2H相的“双面神”(Janus) MoSSe单层,这种Janus MoSSe的原子布局破坏了离面的结构对称性,并导致了垂直方向的偶极矩。理论研究进一步表明,除了优异的面内压电性,Janus MXY(M = Mo或W,X / Y = S,Se或Te,以及X≠Y)单层和多层相较于初始的MoS2或MoSe2结构具有更强的离面压电极化,这使其更适合应用于纳米尺度能量转换器件。然而,到目前为止人们还很少考虑将Janus TMD用于纳米发电机,其发电的可行性和机制仍不清楚。
【图文摘要】
【成果简介】
近日,南京航空航天大学郭万林院士、郭宇锋教授(通讯作者)课题组与美国布朗大学Huajian Gao院士合作,在国际期刊Nano Energy上发表了文章:Tribo-piezoelectricity in Janus transition metal dichalcogenide bilayers: A first-principles study。本研究工作中,研究者们使用第一性原理计算发现,“双面神”过渡金属硫族化合物(Janus TMD)双层的面内层间滑动将会显著增强离面或垂直方向的电极化和压电性。这种摩擦导致的压电性可通过Janus TMD双层克服层间滑动阻力而达到具有最强离面压电性的堆叠状态时所消耗的摩擦能量及相应的能量转换来解释。减小Janus TMD双层的层间距离会增加滑动能垒,从而提高Janus TMD双层顶部和底部表面之间产生的垂直电荷极化和感应电压。基于在Janus TMD双层中所揭示的摩擦压电性,科学家们提出了一种压滑设计策略用于构建具有高功率密度的新型纳米发电机。本文第一作者蔡海方为郭宇锋教授指导的博士研究生。
图1. 本研究作者,从左到右依次为蔡海方和郭宇锋教授。

【亮点】
揭示了Janus TMD双层中的摩擦压电效应,可用于设计具有高功率密度的新型纳米发电机。
【图文导读】
图2. MoSSe双层层间滑动的势能面(PES)和极化偏差面(PDS)。
(a)A-B堆叠MoSSe双层弛豫后原子构型的俯视图和侧视图,以及A-C堆叠双层的侧视图。 单胞的晶格矢量a1和a2用红线标出,d表示表面Se和底部S层之间的层间距离。层间距离为d = 0.96nm和0.93nm时,(b)MoSSe双层的PES(以meV为单位)和(c)PDS(以pC / m为单位)。(b)和(c)中的点指出了A-A和A-C堆叠的位置。
图3. 理论计算结果。
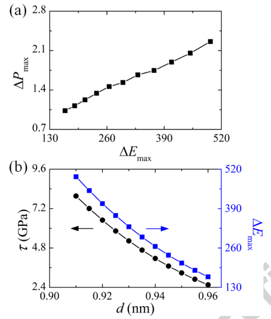
(a)当层间距离从0.96 nm减小到0.91 nm时,最大极化改变(以pC/m为单位)与相应最大滑动能垒(以meV为单位)的变化曲线。(b)层间剪切强度(带点的黑线)和最大滑动能垒(带有块的蓝线)与层间距离变化曲线。
图4. A-B和A-A堆叠MoSSe双层电荷密度差分图(以0.01 e/Å3为单位)的2D投影。
在d = 0.96nm(a,b)和d = 0.93nm(c,d)时,A-B和A-A堆叠MoSSe双层电荷密度差分图(以0.01 e/Å3为单位)的2D投影。原子表示与图1中的相同。
图5. MoSSe双层的平均电荷密度差、感应电荷及电压生成示意图。
(a)AB堆叠和(b)AA堆叠的MoSSe双层的顶部和底部MoSSe单层的S层和Se层之间的平均电荷密度差(以0.001 e/Å3为单位)与层间距离变化曲线。(c,d)与具有相同层间距离的(c)A-B堆叠和(d)A-A堆叠MoSSe双层顶表面和底表面接触的电极产生的感应电荷和电压示意图。
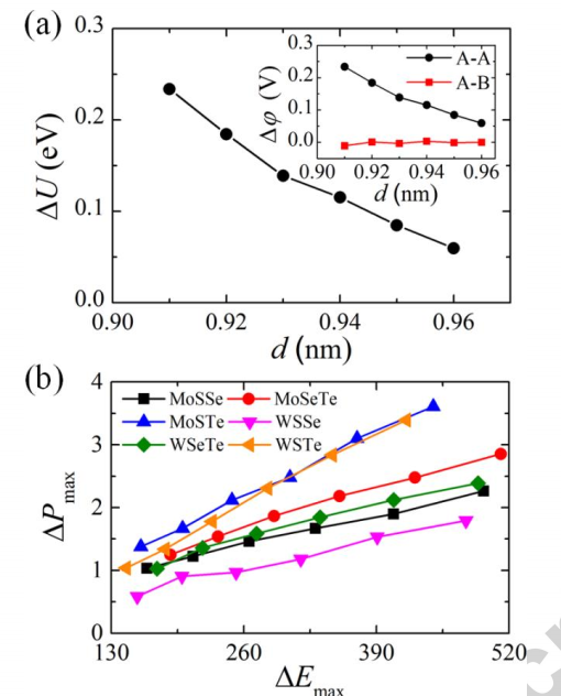
图6. A-A堆叠MoSSe双层的静电电势差随层间距离变化曲线。
(a)A-A堆叠MoSSe双层的表面Se和底部S层之间的静电电势差随层间距离变化曲线。插图给出了估算的A-B和A-A堆叠MoSSe双层顶表面和底表面之间产生的电压。(b)各种Janus TMD双层在不同层间距离下最大极化改变(以pC/m为单位)随最大滑动能垒(以meV为单位)变化曲线。
图7. Janus TMD双层摩擦压电的工作原理示意图。
其中压滑运动由探针针尖或下面的电极基底运动操纵。探针和电极分别用灰色和青色表示。
【总结】
对于Janus TMD双层,保持层间距离不变的面内层间滑动可以显着提高离面压电性。这种摩擦压电效应起源于Janus TMD双层从初始A-B堆叠状态滑动到具有最大的离面压电性的A-A堆叠状态时所引起的摩擦能量的转换,并且在层间滑动过程中不产生摩擦电荷。根据Janus TMD双层所展示的摩擦压电性,科学家们提出了一种压滑策略来构建具有高功率密度的纳米发电机。科学家们的研究结果为Janus TMD材料在能量转换与收集器件和设备中的应用提供了一些新的见解。
文章链接:Tribo-piezoelectricity in Janus transition metal dichalcogenide bilayers: a first-principles study. (Nano Energy, DOI: 10.1016/j.nanoen.2018.11.027)
本文由材料人编辑部金属材料学术组艾超供稿,郭宇锋教授课题组校稿,材料牛编辑整理。
欢迎大家到材料人宣传HTH官网地址 成果并对文献进行深入解读,投稿邮箱tougao@cailiaoren.com.
投稿以及内容合作可加编辑微信:cailiaorenvip.





