【引言】
多电子氧化还原反应是人工光合作用的核心,但动力学缓慢。在寻找用于此类方法的合成催化剂的过程中,发现等离子体纳米颗粒在可见光下催化CO2的多电子还原,这个例子激发了对用于这种多电子化学的等离子体激元催化驱动的框架的需求。
【成果简介】
近日,来自伊利诺伊大学香槟分校的Prashant K. Jain(通讯作者)的团队在 Nat. Chem.发表了题为Harvesting multiple electron–hole pairs generated through plasmonic excitation of Au nanoparticles的文章,阐明了从等离子光催化剂中提取多种氧化还原等价物的基本原理。测量结果在理论建模的支持下揭示了激发金纳米粒子的双电子转移变得普遍的体系,在中等强度的连续波,可见光激发下多重电子收集成为可能,这是由于使用空穴清除剂完成的金和电子-空穴分离中强的带间过渡。这些见解将有助于将等离子体光催化作用超越二氧化碳减排扩展到其他具有挑战性的多电子,多质子领域。
【图文导读】
图1:从等离激元激发的金纳米粒子的电子转移

a: 包含金NP光催化剂和Fe 3+电子受体的实验模型系统;
b: 具有绝对电化学能量的能级示意图;
c: 辐射时间的函数的UV-Vis光谱显示Fe 3+到Fe 2+的定量转化;
d: 光催化剂存在下Fe3+到Fe2+的转化率作为辐照时间(黑点)的函数。
图2 :电子传递速率对光子通量的依赖性

a: 在去离子水中测量等离子体激发驱动的传输速率;
b: 半定量模型显示在高功率下反应速率;
c: 反应速率与激光功率的函数关系。
图3:空穴清除剂对多电子转移倾向的影响

a: 电子转移的实验速率(顶部)随着用作空穴清除剂的浓度的增加而增加,确定速率时的标准拟合误差由每个数据点对应的误差线的大小表示;
b: 空穴清除剂的类型对光催化转化时间影响,通过该线性光转换时间曲线的斜率给出的反应速率用速率中的标准拟合误差表示, 还显示了没有空穴清除剂(去离子水)的数据。
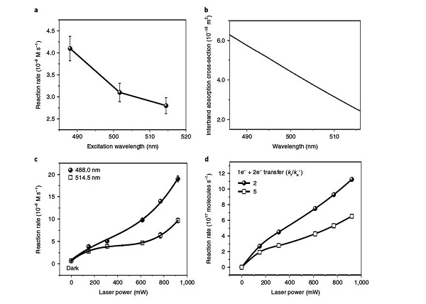
图4:激发波长对多电子转移倾向的影响

a: 在150mW的激光功率下作为激发波长函数的反应速率曲线显示在较短波长处的反应速率增加,其中频带间吸收更强。确定速率时的标准拟合误差由每个数据点对应的误差条的大小表示;
b: 作为波长的函数计算的金纳米粒子的带间吸收截面;
c: 光催化反应速率随入射激光功率的变化曲线;
d: 反应速率与激光功率的函数。
【小结】
该团队描述了从等离子体金NP光催化剂收集电子的过程。在可见光激发下,金纳米颗粒驱动光氧化还原催化,该催化依赖于通过带间d→sp转变产生电荷分离状态和由清除剂捕获空穴的能力。在适当的条件下可以驱动多电子反应,多电子转移机制可以通过连续波激发而不是脉冲光来完成,对于该区域所需的光强度可以用浓缩形式的太阳能辐射实现,其本身具有0.1Wcm-2强度。这些见解构成了具有挑战性的多电子,多质子化学的电浆子催化的基础。
文献链接:Harvesting multiple electron–hole pairs generated through plasmonic excitation of Au nanoparticles(Nat. Chem..2018, DOI: 10.1038/s41557-018-0054-3)
本文由材料人电子电工学术组杨超整理编辑。
材料牛网专注于跟踪材料领域HTH官网地址 及行业进展,如果您对于跟踪材料领域HTH官网地址 进展,解读高水平文章或是评述行业有兴趣,点我加入编辑部大家庭。如果你对电子材料感兴趣,愿意与电子电工领域人才交流,请加入材料人电子电工材料学习小组(QQ群:482842474)。
欢迎大家到材料人宣传HTH官网地址 成果并对文献进行深入解读,投稿邮箱tougao@cailiaoren.com。
投稿以及内容合作可加编辑微信:cailiaokefu,我们会邀请各位老师加入专家群。
材料测试,数据分析,上测试谷!





