【引言】
钙钛矿铁电体不仅具有重要的应用价值,还是理解铁电性起源的理想模型,因此成为目前研究最广泛和深入的铁电体。通常,阳离子的低能空态和氧离子的2p态之间的混合(二阶Jahn-Teller效应)是ABO3型钙钛矿氧化物具有铁电性的关键因素。除了铁电(FE)模式,ABO3型钙钛矿的结构还有一类重要的不稳定模式,亦即氧八面体旋转(AFD)模式。通常认为AFD和FE模式之间倾向于互相竞争和抑制。
【成果简介】
近日,复旦大学的向红军教授和美国阿肯色大学的L. Bellaiche教授等人,在Physical Review Letters上发表最新研究成果“Cooperative Couplings between Octahedral Rotations and Ferroelectricity in Perovskites and Related Materials”。该报道中,作者使用第一性原理方法,显示FE-AFD耦合的二重本质,随AFD模增强,两者耦合关系由竞争变为协同,这一现象在大量钙钛矿氧化物(特别是小半径A离子的ABO3体系)中都会发生。作者通过引入新型高阶耦合项,提供了描述双重相互作用的统一模型,提出了普遍的空间位阻机制来解释导致这种新铁电性的微观起源。此外,该篇文章还预测了这种新型铁电性导致非常规铁电行为,比如加压下的铁电性增强现象。基于这种新型铁电性,可以用于设计无毒的铁电/压电材料或高性能多铁性材料,比如向红军教授等人预言了具有室温强磁性、强铁电性、强磁电耦合的多铁材料Zn2FeOsO6 [见P. S. Wang, W. Ren, L. Bellaiche, and H. J. Xiang*, Phys. Rev. Lett. 114, 147204 (2015)].
【图文导读】
图1:ABO3的R3 ̅c相中,旋转模和FE模的示意图。

(a)FE模和(b)旋转模的示意图;
(c)在ABO3的R3 ̅c相中,(非稳定的)FE模频率与旋转模的依赖关系。
图2:ZnSnO3的R3c相的旋转模和FE模之间的耦合关系。

(a)FE幅度和总能量与旋转模幅度之比;
(b)旋转模固定,总能量随FE幅度的函数变化情况。
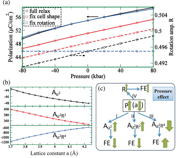
图3:ZnSnO3的R3c相电极化压力行为。

(a)极化和旋转的幅度随压力变化的函数关系;
(b)和二阶u2项相关的系数随立方晶格常数变化的函数关系;
(c)压力对FE极化的四种不同作用机制的示意图。
【小结】
总的来说,该工作揭示了广泛存在于ABO3型钙钛矿材料的FE-AFD耦合的双重本质,表达了与“在任一具有实际重要性的体系中,FE-AFD耦合总为竞争关系”这一普遍观点的不同见解,对理解具有大AFD和FE的类LiNbO3化合物的铁电性有着至关重要的作用。
文献链接:Cooperative Couplings between Octahedral Rotations and Ferroelectricity in Perovskites and Related Materials(Phy. Rev. Lett.,2018,DOI:10.1103/PhysRevLett.120.197602)
本文由材料人计算材料组Isobel供稿,材料牛整理编辑。
材料牛网专注于跟踪材料领域HTH官网地址 及行业进展,这里汇集了各大高校硕博生、一线科研人员以及行业从业者,如果您对于跟踪材料领域HTH官网地址 进展,解读高水平文章或是评述行业有兴趣,点我加入编辑部大家庭。
欢迎大家到材料人宣传HTH官网地址 成果并对文献进行深入解读,投稿邮箱tougao@cailiaoren.com。
投稿以及内容合作可加编辑微信:cailiaokefu
材料测试、数据分析,上测试谷!





