当前位置: 材料牛 » HTH官网地址 » 导读 » JACS:通过能带剪裁和引入原子尺度缺陷协同优化(Na,K)共掺杂多晶SnSe的热电性能

JACS:通过能带剪裁和引入原子尺度缺陷协同优化(Na,K)共掺杂多晶SnSe的热电性能

【引言】

热电材料研究领域通常通过提高功率因子和降低热导率来提高热电性能,功率因子可以通过能带工程优化,热导率可以通过引入全尺度声子散射机制降低。SnSe热电材料以其元素地储丰富、低毒性和潜在的高热电性能而引起了广泛的关注。碱元素、Ag、I、Br、BiCl3是目前有效提高多晶SnSe材料热电性能的掺杂剂。掺杂Na可以显著提高p型多晶SnSe材料的热电性能,主要是因为降低了费米能级得到多重价带同时引入点缺陷和纳米沉淀物增强声子散射。考虑到Na在SnSe中的有效固溶度,调整载流子浓度的空间受到局限。基于此考虑,利用原子尺寸效应,通过引入比Na略大的掺杂元素K后成功促进了Na在SnSe中的固溶,提高了载流子浓度,激活了更多的价带参与电荷传输,在773K时最大ZT可达1.1。

【成果简介】

最近,北航的赵立东教授、昆明理工大学的冯晶教授和德国于利希电镜中心的郑风珊博士(共同通讯作者)等人于JACS上发表了文章“Boosting the Thermoelectric Performance of (Na,K)-Codoped Polycrystalline SnSe by Synergistic Tailoring of the Band Structure and Atomic-Scale Defect Phonon Scattering”本文第一作者为昆明理工大学(第一完成单位)的葛振华教授。研究者通过(Na, K)共掺杂进行能带结构的“剪裁”和引入原子尺度缺陷声子散射机制,成功得到高热电性能的p型多晶SnSe材料,功率因子最大可达492 μW m−1 K−2,晶格热导率在773K时降低至0.29Wm−1 K−1,1%(Na,K)共掺杂样品ZT值可达1.2。该研究为提高多晶SnSe材料热电性能提供了一种新的协同掺杂方法,并且也适用于其他热电材料体系。

【图文导读】

1 结构表征

(a)沿[010]观察到的SnSe的高分辨率STEM HAADF图像

(b)c [001]观察到的SnSe的高分辨率STEM HAADF图像。红色代表Sn原子,蓝色代表Se原子,虚线矩形表示一个单胞,插图为模拟的STEM HAADF图像

(c-f)SnSe样品沿[010]方向的的原子尺度EDS面扫图

2 掺杂样品的TEM低倍明场像

 

(a)SnSe掺杂1%Na样品中的析出物分布图

(b)SnSe(0.5%Na + 0.5%K)共掺杂样品中的析出物分布图

插图为相应的电子衍射花样标定

3 能带结构

 

(a)未掺杂样品的能带结构图

(b)1% Na掺杂样品的能带结构

(c)(0.5% Na+0.5% K)掺杂样品的能带结构

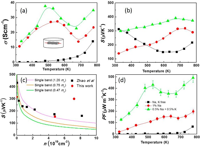
4 电子传输性能

 

(a)电导率随温度变化曲线

(b)Seebeck系数随温度变化曲线

(c)室温下Seebeck 系数随霍尔载流子浓度变化曲线

(d)功率因子随温度变化曲线

5 热传输性能

 

(a)总热导率随温度变化曲线

(b)晶格热导率随温度变化曲线

实心标志表示实验测量数据,空心标志表示计算数据

6 0.5%Na + 0.5%K)掺杂样品中的原子尺度缺陷

(a)取向为[001]和[011]两晶粒间的晶界,插图是两颗晶粒的快速傅里叶变换(FFT)模型,白色虚线为晶界的位置

(b)嵌入SnSe基质中的沉淀物。插图为基质的快速傅里叶变换(FFT)模型,红色虚线里为沉淀物

(c)b平面中基质和沉淀物的的快速傅里叶逆变换(IFFT)模型

(d)反相畴界(APB)及其相应的具有1/2 [010]晶体转变的{100}晶面原子模型

7 热电优值ZT

(a)本研究中所有样品的ZT值

(b)文献中报道的SnSe多晶材料

【小结】

多晶SnSe材料的ZT值从未掺杂到掺杂1%Na到1%(Na,K)共掺杂变化为0.1-0.3-1.2,ZT值得显著提高源自多谷效应引起的Seebeck系数增大、Na和K固溶度提高以及引入了原子尺度结构缺陷从而降低了晶格热导率。

文献链接:Boosting the Thermoelectric Performance of (Na,K)-Codoped Polycrystalline SnSe by Synergistic Tailoring of the Band Structure and Atomic-Scale Defect Phonon Scattering(J. Am. Chem. Soc, 2017, DOI: 10.1021/jacs.7b05339)

本文由材料人编辑部电子电工学术组zzzlx整理编译

材料牛网专注于跟踪材料领域HTH官网地址 及行业进展,如果您对于跟踪材料领域HTH官网地址 进展,解读高水平文章或是评述行业有兴趣,点我加入编辑部。如果你对电子材料感兴趣,愿意与电子电工领域人才交流,请加入材料人电子电工材料学习小组(QQ群:482842474)。欢迎大家到材料人宣传HTH官网地址 成果并对文献进行深入解读,投稿邮箱tougao@cailiaoren.com。

材料测试,数据分析,上测试谷!

未经允许不得转载:材料牛 » JACS:通过能带剪裁和引入原子尺度缺陷协同优化(Na,K)共掺杂多晶SnSe的热电性能

相关文章

Baidu
map