MichstaBe孙国文
一、【导读】
热电效应是材料将温度梯度直接转换为电能的效应。具体来说,热电元件可以提供短路电流(珀耳帖机制)或产生开路电压(塞贝克机制)。所有具有强粒子-空穴对称性(particle–hole (PH) symmetry)的系统,例如普通金属和超导体,都表现出差的热电效应。此外,超导体中的热电也被库珀对的无耗散运动所屏蔽,最终只能观察到热相效应。只有明确打破PH对称性,才能在具有抑制Josephson耦合的超导隧道结中产生纯局部热电效应,而在超导混合结构中可以检测到非局部热电效应。这些内在因素阻碍了超导热电器件在量子技术中的应用,例如辐射探测器、开关、存储器和发动机。然而,尽管在理论上有所突破,但高效固态热机的实际应用仍仅限于InAs/InP量子点、分子系统和硅隧道晶体管。
二、【成果掠影】
近日,意大利纳米科学研究机构(NEST, Istituto Nanoscienze-CNR and Scuola Normale Superiore) Federico Paolucci, Francesco Giazott等人通过实验证明,由于自发的粒子-空穴对称性破缺,当存在大的热梯度时,超导隧道结会产生极大的双极热电。作者设计的隧道结展示出高达±300 μV K-1的塞贝克系数,这与量子点相当,相比于正常金属,该隧道结在亚开尔文温度下的预期值大约提升105倍。最后,作者将隧道结集成到Josephson干涉仪中,实现了相位可调的功率高达~140 nW mm-2双极热电Josephson发动机(Bipolar thermoelectric Josephson engine, BTJE)。另一方面,关注到设备的迟滞性,通过电流注入写入或擦除,还实现了持久热电存储单元的设计。总之,该发现有望实现在超导量子技术中的应用。该研究以题为Bipolar thermoelectric Josephson engine”发表在国际顶尖期刊Nature nanotechnology上。值得注意的是,上个月基于韧性半导体的柔性热电材料刚刚登上Science(DOI: 10.1126/science.abq0682)。
三、【核心创新点】
- 该工作展示了发生在超导隧道结中的完全双极热电效应,从而揭示了在PH对称体系中显著热电的可能性。
- 通过电流注入写入或擦除,该超导隧道结实现了持久热电存储单元的设计。
- 该研究对于从半导体和低维电子材料到高温超导体和拓扑绝缘体等不同系统的非线性热电效应的开创性研究至关重要。
四、【数据概览】

图1. BTJE的设计方案与测试。© 2022 Springer Nature
BTJE单元设计的核心是两个不同的可抑制Josephson耦合的Bardeen–Cooper–Schrieffer超导体之间的S1IS2隧道结,(其中S1和S2具有零温度能隙Δ0,1 > Δ0,2,I代表绝缘体)。如图1.a所示,热平衡时,该系统不能产生电力(图1.a的顶部)。在存在合适的热差的情况下,隧道结将产生热电性,并在零温度能隙r = Δ0,2/Δ0,1 之间的某一比率下具有最佳性能。同时,如图1.a底部图所示,隧道结可以根据极化方向,在给定的热梯度和超导体中的电子配置下在两个方向上旋转电机。图1.b中的彩色扫描电子显微照片显示了BTJE的结构。它由一个双环超导量子干涉器件(SQUID)组成,其中S1(红色,Al)通过三个绝缘AlOx隧道结耦合到S2(蓝色,Al/Cu双层)。在此基础中,三个S1IS2结构成Josephson干涉仪,与传统的单回路双结干涉仪相比,双回路SQUID可以更有效地抑制Josephson耦合,从而改进热电效应的调控。另外,S1还配备了几个超导隧道结(绿色,Al),通过施加电压Vh产生必要的温度梯度作为焦耳加热器运行。在没有温度梯度的情况下,图1.c展示了30 mK下两线SQUID电流(I)与电压(V)的特性。Josephson临界电流在零偏压附近显示为峰值。在不同温度下记录的临界电流(IC)的干涉图样如图1.d所示,该结果与图1.e和模型结果相一致。
图2. 双极型热电效应的研究。© 2022 Springer Nature
为了评估双极热电效应,作者测量了BTJE在温度为30 mK时的子能隙的IV特性,同时在S1中直接输入功率(Pin)。输入的功率将S1的温度提高到系统温度以上,从而在干涉仪上产生热梯度。由于Josephson耦合不利于热电,作者将SQUID的磁通偏置在Φ = 0.33Φ0,以便将流过干涉仪的超电流最小化,在这种磁通条件下,Josephson对电荷输运的贡献可以忽略不计。对于非零输入功率,子能隙准粒子电流与偏置电压相反流动(IV < 0),因此显示绝对负电导,这标志着热电的产生(图2.a)。与其他已知的热电效应不同,BTJE表现为双极性发电,这种独特的反对称热电IV特性源于两个超导引线的PH对称性。如图2.a中的红色曲线所示,当输入功率过大时,热电消失,IV特性显示常规耗散行为。在图2.b的测量结果中,当最低加热功率为10 pw时,热电压值可达±150 μV,这与理论结果非常吻合。通常通过塞贝克系数来评价热电元件的性能。双极塞贝克系数与Pin的关系如图2.c所示。对于BTJE,在Pin = 10 pW时,S可以高达±300 μV K-1。该值几乎是系统结构的主要组成成分Al的塞贝克系数的105倍。为了探究热电效应和Josephson耦合之间的相互作用,作者测量了在给定输入功率下穿透干涉仪的不同磁通量值的IV特性。如图2.d所示,在存在大的Josephson电流时,两个电压极性的热电效应都被强烈抑制。在图2.e中,输入较大功率时,Josephson耦合更容易影响热电。
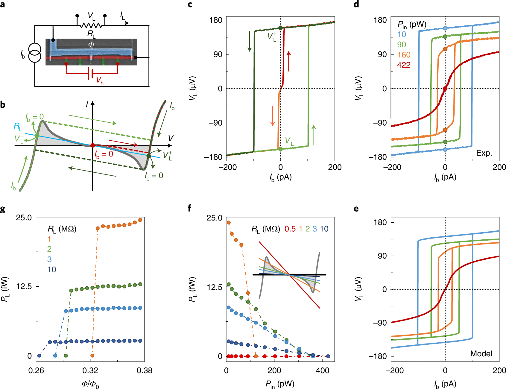
图3. BTJE的低温行为。© 2022 Springer Nature
图3.a展示了用于操作SQUID作为热电发动机的电子线路,其中器件与负载电阻(RL)并联,并由直流电流(Ib)偏置。如图3.b中所示,在存在热梯度的情况下,组合体系BTJE∥RL显示出多达三种亚稳态。如图3.c所示。发动机是由正(负)电流偏置启动的。由于热电信号强烈依赖于热梯度的幅值,输入功率Pin对压降(VL)有显著影响(图3d)。通过增加功率,RL的电压和VL极性反转对应的偏置电流的绝对值都降低了。然而,在较大的功率值时,滞回行为消失,BTJE关闭。如图3.e所示,这些实验结果与描述实验的电路模型的模拟结果完全一致。同时,作者强调,由于该电路具有迟滞性,它直接实现了一种可由电流脉冲写入/擦除的易失性热电存储单元。图3.f显示了由BTJE在不同负载电阻上与Pin在30 mK和Φ = 0.33Φ0时产生的输出功率。
图4. BTJE的温度依赖性。。© 2022 Springer Nature
图4.a显示了RL = 2 MΩ和Φ = 0.33Φ0时,在不同温度下测量的PL对输入功率Pin的依赖关系。随着T的增加,输出功率普遍降低。由于双极热电效应在较高的温度下减弱,Pin在BTJE工作范围缩小。而BTJE的工作温度高达250 mK,相当于S2临界温度的40%左右。预期的PL对输入功率的非单调依赖性可以在T = 250 mK时得到。如图4.b所示,在较高的温度值下输出功率的Φ的可调性更加有效。同时,较弱的热电效应对磁通量更敏感(图2.e)。因此,根据具体的应用,可以选择BTJE的工作温度,以最大限度地输出功率(即在低温下)或通量灵敏度(即在高温下)。
五、【成果启示】
该工作展示了发生在超导隧道结中的完全双极热电效应,揭示了在PH对称体系中提高热电的可能性。与传统的线性热电效应相比,当受到较大的热偏差时,该Josephson结显示出显著的双极发电,这源于非平衡态诱导的自发PH对称破坏。然后,作者利用BTJE为保持室温的通用负载电阻供电。BTJE输出功率高达~24 fW,对应的面积输出功率密度为~140 nW mm-2。此外,控制BTJE的电路具有滞回IV特性,可利用该特性实现潜在的快速易失性热电存储单元。基于此,BTJE可能实现发动机、发电机、电子设备、存储器、辐射传感器和开关在超导量子技术中直接应用。该研究对于从半导体和低维电子材料到高温超导体和拓扑绝缘体等不同系统的非线性热电效应的开创性研究至关重要。
文献链接: Germanese, G., Paolucci, F., Marchegiani, G. et al. Bipolar thermoelectric Josephson engine. Nat. Nanotechnol. (2022). https://doi.org/10.1038/s41565-022-01208-y
本文由MichstaBe孙国文供稿





