【引言】
胶体半导体纳米晶体由于其尺寸依赖的光学性质而引起了人们极大的关注。自20世纪90年代初以来,高质量胶体0D纳米晶体的合成研究及相应的生长机制得到很大的益处。相比之下,2D纳米晶体不发达。对于大多数开发的II-VI二维纳米晶体,2006年首次报道CdSe 2D纳米晶体的纤维素结构,2008年报道了闪锌矿结构。2D纳米晶体的胶体合成困难与形成机制理解不甚相关,特别是必要的对称性破坏(对称性破坏是指沿对称等效和各向同性方向的优选生长)。
【成果简介】
近日,浙江大学彭笑刚教授和湖南大学李正教授(共同通讯)在JACS发表了题为“Symmetry-Breaking for Formation of Rectangular CdSe Two-Dimensional Nanocrystals in Zinc-Blende Structure” 的文章,研究二维量子限制的CdSe纳米晶体的形成。通过颗粒内成熟快速形成单点中间体,实现了第一个对称断裂,其具有垂直于原子平面{100}基底平面的厚度减小。第二个对称性破坏起源于定向附件中极性和钝化的{100}侧面的不平衡发展。
【图文导读】
图1 CdSe 2D纳米晶体的合成,Uv-vis和TEM

(a)CdSe 2D纳米晶体的合成方案的示意图;
(b)纯化的CdSe种子和合成的2D纳米晶体的UV-vis吸收光谱;
(c)CdSe 2D纳米晶体的典型TEM图像;
(d)CdSe 2D纳米晶体的原子模型的侧视图;
(e)具有相应FFT图案的CdSe 2D纳米晶体的HRTEM图像(插图)。
图2 不同条件下,CdSe纳米晶体的UV-vis和PL光谱

(a)乙酸镉和硬脂酸镉,CdSe纳米晶体的UV-vis和PL光谱;
(b)Cd(Ac)2或Cd(St)2,CdSe纳米晶体的UV-vis和PL光谱;
(c)油胺,三丁基膦或三辛基氧化膦混合的Cd(Ac)2,CdSe纳米晶体的UV-vis。
图3 具有固定量的Cd(St)2或Cd(Ac)2,三个代表性反应的最终产品的UV-vis

(a)具有固定量的Cd(St)2,2D纳米晶体的相对CdSe单位产量与Cd(Ac)2的浓度
(b)面板a中三个代表性反应的最终产品的UV-vis;
(c)固定量的Cd(Ac)2,2D纳米晶体的相对CdSe单位产量与Cd(St)2的浓度;
(d)面板c中三种代表性反应的最终产物的UV-vis。
图4 在250℃下CdSe纳米晶体的UV-vis/PL(左)和TEM图像(右)

CdSe纳米晶体的UV-vis/PL(左)及CdSe纳米晶体的TEM图像(右)
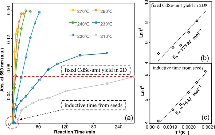
图5 CdSe单元在不同温度下从0D到2D纳米晶体的相对转化率及Arrhenius图

(a)CdSe单元在不同温度下从0D到2D纳米晶体的相对转化率;
(b)从单点中间体转变为二维纳米晶体的Arrhenius图;
(c)Arrhenius图从种子转换为单点中间体。
图6 2D胚胎的表征

(a)通过离心最终溶液等分试样分离上清液和沉淀物的紫外-可见光谱;
(b)具有标记的几个代表{110}和{100}面的高分辨率TEM图像;
(c)种子,单点中间体和2D胚胎的紫外-可见光谱;
(d)在对准主峰之后,单点中间体和2D胚胎之间的吸收特征的重叠比较。
【小结】
闪锌矿CdSe通过涉及定向附着的复杂机制,生长具有六个{100}面的2D纳米晶体,具有厚度,宽度和长度的独特尺寸。乙酸镉协助形成单点中间体和定向附着。链烷酸镉能够选择性地稳定纳米晶体的极化{100}面并将不溶性乙酸酯穿梭到纳米晶体的表面。初步结果表明,取向附着机制也适用于其他类型的闪锌矿镉硫属化物2D纳米晶体。了解高度对称的晶体结构中的对称断裂有助于了解合成具有独特光学和光电特性的多组二维纳米晶体。
文献链接:Symmetry-Breaking for Formation of Rectangular CdSe Two-Dimensional Nanocrystals in Zinc-Blende Structure(JACS, 2017, DOI: 10.1021/jacs.7b04855)
本文由材料人编辑部纳米材料学术组坚毅供稿,材料牛编辑整理。欢迎加入材料人编辑部纳米材料学术交流群(228686798)!
材料牛网专注于跟踪材料领域HTH官网地址 及行业进展,这里汇集了各大高校硕博生、一线科研人员以及行业从业者,如果您对于跟踪材料领域HTH官网地址 进展,解读高水平文章或是评述行业有兴趣,点我加入材料人编辑部。
材料测试,数据分析,上测试谷!





