【引言】
全球能源危机和环境污染加速了对可持续清洁能源的研究。燃料电池因能够将可降解物质中的化学能转化为电能而被广泛研究。燃料电池中所用的催化剂清洁、可持续,可以在温和条件下产生电能,与贵金属催化剂相比,能够大幅度降低电池成本。同时,生物燃料电池利用廉价、环境友好、可持续的燃料,如糖类、废水等来发电。所有这些特点都使得燃料电池能够成为传统电池的替代物,具有很大的发展前景。然而,燃料电池商用化程度不是很高,主要是因为缺乏有效和负担得起的促进电池运行缓慢化学反应的催化剂。在操作条件下,到目前为止开发的最佳催化剂会经历特定的原子级变化导致ORR活性的显着损失,从而限制了电池的性能。质子交换膜燃料电池( PEMFCs )以其高能量转换效率、高能量密度、低污染物排放或零排放等优点,被普遍认为是替代日益稀缺的化石燃料的清洁可持续能源转换技术。PEMFC通过燃料的耦合氧化和氧气还原将储存在燃料(如氢气或酒精)中的化学能转化为电能。在该能量转换装置中,铂(Pt)作为催化剂在氧化和还原反应过程中是必不可少的。但是,Pt催化剂本身显示出缓慢的4-电子氧还原反应(ORR)动力学并且在腐蚀性反应环境中缺乏所需的长期稳定性。因此,通过理解Pt与许多含氧反应中间体的结合能以及通过使Pt与第一行过渡金属M合金化,致力于改善Pt上的ORR催化。
【成果简介】
近日,中央密歇根大学Valeri Petkov(通讯作者)课题组在Nano energy上发表了题为“Nanoalloy catalysts inside fuel cells: An atomic-level perspective on the functionality by combined in operando x-ray spectroscopy and total scattering” 的文章。研究人员用于结合同步辐射X射线光谱和总X射线散射的燃料电池催化剂的结构表征。该方法允许在两种时间(〜1分钟)和空间(〜μm)分辨方式下以原子级精度(〜0.02 Å)和元素特异性(〜2-3 at。%)探测燃料电池内部的催化剂。该方法在Pd-Sn和Pt-Ni-Cu纳米合金催化剂上用于在工作质子交换膜燃料电池的阴极上沉积的氧还原反应(ORR)。X射线数据表明:催化剂颗粒可以发生特定的结构变化,范围从亚原子波动和尖锐的纳米相转变到逐渐的应变松弛和增长,从而导致ORR活性的显着损失。尽管电化学触发,但这些变化并非仅由构成纳米合金的金属物种的还原电势和表面能的差异所驱动,而是由竞争纳米相的形成能,单个原子物种的尺寸与它们快速相互扩散的能力之间的不匹配寻找能量有利的配置。鉴于其复杂性,变化很难预测,因此导致的ORR损失仍然难以限制。证明了将富含Pd的Pd-Sn纳米合金成形为立方体可减少原子在其表面处的相互扩散,与其他Pd-Sn纳米合金相比,使其成为燃料电池中ORR的更好催化剂。此外,操作温度和整体催化剂利用率,特别是催化剂颗粒的元素和质量分布的演变电池的阴极。讨论如何在operando X射线光谱和总X射线散射可以弥合广泛使用的原位SAXS,EXAFS和单晶体表面XRD技术之间的知识差距,探索纳米合成催化剂的结构表征探索能源相关的应用。
【图文导读】
方案1 PEMFC的阴极处的ORR的机理描述以及在阴极催化剂上的操作性EDS和HE-XRD实验。

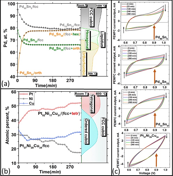
图1 Pd-Sn和Pt-Ni-Cu NPs的化学组成,纳米相类型及电化学过程中选定极化曲线。

(a)Pd-Sn的化学组成和纳米相类型的演变。 右边显示各批量对应物的相图;
(b)Pt-Ni-Cu NPs的化学组成和纳米相类型的演变。 右边显示各批量对应物的相图;
(c)表示在Pd-Sn和Pt-Ni-Cu NPs的电化学循环过程中记录的PEMFC电流输出在0.6V至1.0V范围内的选定极化曲线;
图2Pd-Sn和Pt-Ni-Cu纳米颗粒的操作原子PDF中与电化学循环的时间相比较。

(a)Pd43Sn57纳米颗粒的操作原子PDF中与电化学循环的时间相比较;
(b)Pd78Sn22纳米颗粒的操作原子PDF中与电化学循环的时间相比较;
(c)Pd95Sn5纳米颗粒的操作原子PDF中与电化学循环的时间相比较;
(d)Pt37Ni29Cu34纳米颗粒的操作原子PDF中与电化学循环的时间相比较;
图3 Pd43Sn57合金的纳米相分析的示例性结果。

(a)Pd43Sn57合金纳米粒子在操作原子PDF文件中的二维scedasticity图;
(b)Pd43Sn57纳米粒子在操作原子PDF中第一个峰的色图;
(c)未循环和循环的Pd43Sn57 NPs的示例性相分析;
(d)未循环的Pd43Sn57纳米粒子确实是正交晶型纳米合金,而循环的Pd43Sn57纳米粒子则偏析成大多数六角形和少数立方纳米相的混合物;
图4 未循环和循环Pd78Sn22,Pd95Sn5和Pt37Ni29Cu34合金纳米粒子的纳米相分析。

图5 PEMFC运行后获得的MEA的的Pd43Sn57纳米合金颗粒的质量分布和相同时间段内,相同MEA区域内Pd的实际百分比。

图6 Pd-Sn和Pt-Ni-Cu NPs的相含量相对于电化学循环时间的彩色图。

(a)Pd43Sn67;
(b)Pd78Sn22;
(c)Pd95Sn5;
(d)Pt37Ni29Cu34;
图7 未循环和循环的Pd-Sn纳米立方体的示例性纳米相分析,原子水平变化率及TEM。

(a)未循环和循环的Pd-Sn纳米立方体的示例性纳米相分析;
(b)PEMFC操作期间纳米立方体中的原子水平应变的变化率(符号和绿色箭头);
(c)未循环纳米立方体的TEM图像;
(d)未循环纳米立方体的代表性HR-TEM图像;
【小结】
在操作条件下的X-射线光谱和总散射实验相结合证明,在燃料电池阴极处发生ORR的纳米合金催化剂,特别是PEMFC可经历结构变化,具有大不相同的动力学范围。变化可以用原子级精度(〜0.02Å)和元素特异性(〜2-3 at。%)进行识别和量化,并且与时间(〜1 min)和空间(〜 μm)解决方式。该实验方法扩展了目前使用的非原位技术,为纳米合成催化剂的组成原子在实际操作条件下起作用的化学组成,几何表面积,相含量,3D结构和相互作用强度提供独特信息。最终,与其他广泛使用的原位技术相结合,用于功能催化剂的结构表征。
文献链接:Nanoalloy catalysts inside fuel cells: An atomic-level perspective on the functionality by combined in operando x-ray spectroscopy and total scattering(Nano energy,DOI: 10.1016/j.nanoen.2018.04.049)
本文由材料人编辑部纳米材料学术组Kevin供稿,材料牛编辑整理。欢迎加入材料人编辑部纳米材料学术交流群(228686798)!
材料牛网专注于跟踪材料领域HTH官网地址 及行业进展,这里汇集了各大高校硕博生、一线科研人员以及行业从业者,如果您对于跟踪材料领域HTH官网地址 进展,解读高水平文章或是评述行业有兴趣,点我加入材料人编辑部。
欢迎大家到材料人宣传HTH官网地址 成果并对文献进行深入解读,投稿邮箱tougao@cailiaoren.com。
投稿以及内容合作可加编辑微信:cailiaokefu.
材料测试,数据分析,上测试谷!





