【引言】
超高温陶瓷具有良好的高温性能,在高超音速飞行器上具有重大应用前景。该类材料主要由二元过渡金属碳化物、氮化物和硼化物组成,如ZrB2和HfB2。然而,该材料的本征脆性和较差的抗氧化性能限制了该类材料的应用。一些含铝MAX相碳化物的实验结果表明Al层原子的插入可以显著提高该类材料的韧性和抗氧化性。最近的实验结果表明通过在二元硼化物晶格中插入Al层原子形成的“MAB”相也表现出类似性能,如MoAlB。本文采用密度泛函理论研究了MoAlB的性能,从理论上揭示了该材料具有高断裂韧性和损伤容限的物理本质,为进一步研究该类材料打下了基础。
【成果简介】
近日,哈尔滨工业大学赫晓东教授和柏跃磊副教授(通讯作者)领导的课题组在Acta Mater上发表了一篇名为“Density functional theory insights into ternary layered boride MoAlB”的文章。文中,研究人员利用密度泛函理论研究了三元层状陶瓷MoAlB的晶体结构,电子结构,晶格动力学和弹性特性,并利用他们所建立的“化学键刚度”模型定量分析了该化合物中的化学键结合强弱。研究发现MoAlB具有类似于金属的电子结构是其高导电性的根本原因。该材料中的B-B键甚至强于对应二元硼化物中的值,而相对很弱的Al-Al键则是MoAlB具有高断裂韧性和损伤容限的根本原因;MoAlB的剪切模量/体积模量比G/B与MAX相的相似,预示二者具有相似的力学性能。此外,本文还详细研究了MoAlB的晶格动力学行为,并重点分析了9种拉曼模式和6种红外模式的原子位移和对应的声子振动频率。
【图文导读】
图1(a) MoAlB 和 (b) MoB 的晶体结构图

图2 在MoAlB(a,b)和MoB(c)中不同平面上各个原子的差分价电子密度

从图中可知B1-B2键比Al1-Al2键更强。从图a可以看出,Mo1-Al1键周围的电子密度表明Mo1-Al1键的方向性,而Al原子周围几乎均匀分布的电子密度表现出非方向性的 Al1-Al2键。此外,图b和图c显示MoAlB和MoB的Mo-B单元内具有类似的化学键合。
图3(a)MoAlB,(b)Mo2AlC和(c)MoB的总密度和分波态密度

由图可知MoAlB在费米能级周围的态密度不为零,这与虚拟的MAX相化合物Mo2AlC相似。MoAlB类似金属的电子结构和化学键合解释了实验观察到的电子导电行为。
图4(a)MoAlB和(b)MoB的归一化晶格参数a/a0,b/b0和c/c0随压力的变化值

在MoAlB中,随着压力的增加,沿b轴的收缩率最高,沿c轴最低。比较MoAlB和MoB的压缩率和体积模量B,在MoB中添加两个Al层不仅导致沿着b轴的软化,而且也导致沿着a和c轴变软。
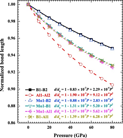
图5 在MoAlB中标准化键长随压力的变化

为了更好的理解MoAlB的压缩行为,把相对键长随压力的变化通过二次曲线拟合,其二次曲线拟合的斜率定义为压力为0GPa时的1/k,其中k是化学键刚度。Al1-Al2键是最低位的曲线,是最可压缩的。与B-B键相比非常弱的Al-Al键揭示了实验中观察到MoAlB具有高断裂韧性和损伤容限的物理本质。
图6 MoAlB的声子态密度(a)和沿着高对称点方向的声子色散曲线

MoAlB的声子谱中没有负频率意味着结构的吉布斯自由能相对于小变形处于局部最小值。400cm-1以上的高频声子状态几乎全部归因于B原子的振动,而Mo振动模式的频率总是在300cm -1以下。Al原子的振动频率处在50至420cm-1之间,其中在低频范围(约150-250cm-1)的一些峰与Mo相关的声子态一致。
图7 MoAlB中拉曼模式的原子振动模式

显然,拉曼原子运动主要由沿着三个晶格轴的Mo / Al / B原子的振动组成,每种类型的原子的振动方向在晶胞间交替。对于给定原子类型,沿着三个晶格轴的不同频率显示沿着这些轴的不同的结合强度,表明MoAlB中共价键的强定向性。
图8 DFT计算(ωDFT )和实验( ωExp)的拉曼波数的(a)绝对误差( ωDFT-ωExp)和(b)相对误差( 丨ωDFT-ωExp丨/ ωExp)

GGA低估了拉曼波数,而LDA则是相反的。如果用实验确定的晶格参数用于重新计算拉曼波数,GGA和LDA都低估了MoAlB的拉曼波数。这表明实验和理论拉曼波数之间的差异主要归因于计算晶格参数的误差
图9在MoAlB中红外活动模式下的原子位移

与拉曼活性模式不同,这些红外活性模式主要与沿着三个晶格轴的Al和B原子的振动有关,Mo原子仅轻微振动。
【小结】
1、MoAlB在费米能级处具有有限数量的态密度显示其类似于金属的电子结构和化学键合,且该处的态密度主要由Mo-d电子占据。相对Al-Al键较强的具有明显方向性的B-B、Mo-B和Mo-Al键显示MoAlB由强烈结合在一起Al-Mo-B单元组成,而这些单元则由较弱的Al-Al健结合在一起。
2、随着压力的施加,MoAlB表现出明显的各向异性。键刚度分析表明B1-B2和Mo1-B2键具有最高的刚度(1135-1205GPa)。随着两层Al原子的插入MoB晶格,Mo-B键的刚度降低而B1-B2键却增强。非常令人惊奇的是,Al1-Al2键刚度极低(526GPa),与MAX相(Mo2AlC)中的Mo-Al键刚度相当,这就揭示了MoAlB表现出高断裂韧性和损伤容限的物理本质。而对MoAlB弹性性能的分析同样表明MAB相拥有与MAX相相似的力学行为。
3、MoAlB中没有出现虚频率,表明了它的本征稳定性。MoAlB中存在9个拉曼振动模式和6个红外振动模式。DFT对拉曼振动频率预测的误差主要来源于对晶格参数计算的误差。因此,采用实验确定的晶格参数可以显著提高对拉曼振动频率的预测精度。
文献链接:Density functional theory insights into ternary layered boride MoAlB(Acta Materialia. 2017;132:69-81.)
本文由哈尔滨工业大学柏跃磊副教授投稿,材料牛编辑整理。
材料牛网专注于跟踪材料领域HTH官网地址 及行业进展,这里汇集了各大高校硕博生、一线科研人员以及行业从业者,如果您对于跟踪材料领域HTH官网地址 进展,解读高水平文章或是评述行业有兴趣,点我加入材料人编辑部。
材料测试,数据分析,上测试谷!





