【成果简介】
最近,清华大学物理系的肖志刚研究小组在束流能量为30MeV/u的40Ar+197Au原子核反应中,首次通过出射粒子同位旋性质在大范围内的角分布行为给这个问题提供了一个定性的答案。在大角度范围内,轻粒子的中子丰度随角度增加而减小。由于同位旋效应的长时间累积,该角分布可以作为对称能密度依赖行为的一个敏感观测量。这一工作最近以快讯(Rapid Communication)形式发表在期刊Physical Review C 上,题目为“Long-time drift of the isospin degree of freedom in heavy ion collisions”。
【图文导读】
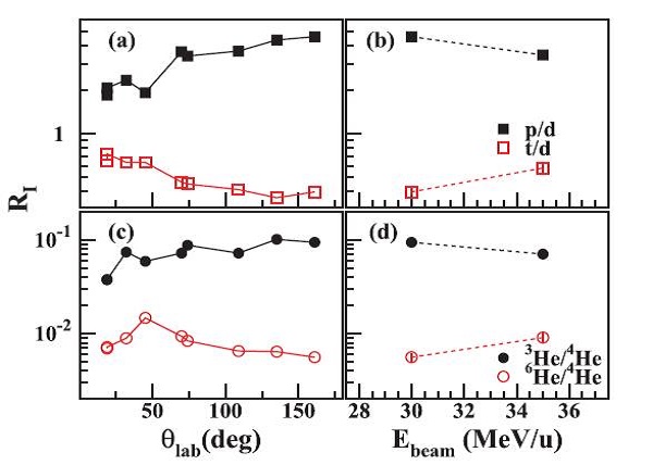
图1 同位素比随Θlab的变化

在30MeV / u(左)和光束能量(右)下,同位素作为实验室角度的函数,Z = 1(上)和Z = 2的同位素比(下)。
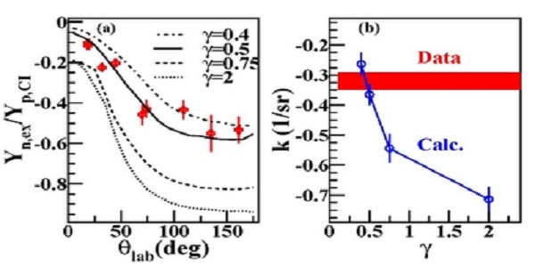
图2 同位旋分馏过程

(a) 30MeV/u Ar+Au反应中出射粒子的相对中子丰度随角度的变化关系;
(b) 0°-90°内该角分布斜率k与对称能随密度的变化率参数γ之间的关系。
【研究内容】
特定自由度的弛豫是所有输运过程研究中的一个基本物理问题。两个原子核的碰撞反应,是一个典型的输运过程。同位旋作为一个描述中子和质子数量差异的自由度,在核反应中的弛豫到底有多快,一直没有确定的结论,然而它对于核反应的输运性质与核物质状态方程的研究而言都至关重要。
在核反应中可形成高激发的热核体系,并可能发生核物质的液气相变。中子和质子作为体系的两种组分,具有不同的化学势。它们之间的差异同对称能及其密度依赖紧密相关。由于这一差异,中子和质子从热核体系中“蒸发”出来的几率不同,呈现出“分馏”效应。这一现象和我们的生活经验非常类似,当我们开启酒瓶闻到的扑鼻酒香,其实也是源于酒精分子和水分子的挥发性(化学势)不同。
同位旋分馏过程到底多快?最近,清华大学物理系的肖志刚研究小组在束流能量为30MeV/u的40Ar+197Au原子核反应中,首次通过出射粒子同位旋性质在大范围内的角分布行为给这个问题提供了一个定性的答案。在大角度范围内,轻粒子的中子丰度随角度增加而减小。这表明同位旋在不同密度区之间的输运过程,从早期的动力学发射一直持续到后期的统计蒸发过程,呈现出长时标的输运特征,如图2(a)。由于同位旋效应的长时间累积,该角分布可以作为对称能密度依赖行为的一个敏感观测量。借助核反应输运模型和热核统计蒸发模型的计算,给出了对称能在饱和点处的密度依赖参数以很好的约束,如图2(b)。
该实验是在兰州重离子加速器国家实验室(HIRFL)的放射性束流线终端(RIBLL)上完成的。文章的第一作者是清华大学物理系2012级博士生张嫣,共同通讯作者是肖志刚副教授,清华物理系的访问学者(2015-2016年度)、安阳师范学院物理与电子工程学院的田俊龙教授。
文献链接:Long-time drift of the isospin degree of freedom in heavy ion collisions。
本文由材料人编辑部王冰编辑,点我加入材料人编辑部。
材料测试,数据分析,上测试谷。





