
【成果简介】 近日,中国科学院重庆绿色智能技术研究院量子信息技术中心团队在以GeSe为代表的IVAVIB大面积单原子层材料制备和能带结构确定,及其器件测试分析研...

【成果简介】 哈尔滨工业大学机器人技术与系统国家重点实验室谢晖教授研究组在纳米力学测量成像方面研究取得了重要进展。研究成果以“Broad modulus ran...

【成果简介】 近日,中国科学院大连化学物理研究所航天与新材料研究室研究员黄延强、副研究员杨小峰,与大连理工大学副教授王新葵合作,在二氧化碳加氢合成甲酸研究中取得...

【成果简介】 在国家自然科学基金等项目资助下,哈工大化工与化学学院教授、城市水资源与水环境国家重点实验室成员邵路团队与国内外学者合作在国际著名期刊Progres...

【成果简介】 北京大学深圳研究生院新材料学院潘锋教授团队通过第一性原理计算,发现三元层状正极材料中过渡金属离子之间“自旋电子超交换”作用。本工作由新材料学院潘锋...

【成果简介】 中国科学院福建物质结构研究所结构化学国家重点实验室“无机光电功能晶体材料研究”罗军华团队,在铁电晶体的无公度相调制结构方面的研究取得进展。相关研究...

【成果简介】 近日,北京大学化学与分子工程学院齐利民教授课题组在具有特殊凹形结构的箭头状金纳米粒子的可控合成以及形状引导的超晶体自组装方面取得重要进展,为特异形...

【成果简介】 10月19日,华中HTH官网地址 大学光电信息学院江建军教授团队关于双作用位点在电催化分解水过程中的协同效应研究最新成果“Synergistic Effect...

【成果简介】 近日,复旦大学物理学系修发贤教授课题组在拓扑半金属砷化镉纳米片中探测到由表面态费米弧和体态手性能级构成的一种新型电子回旋轨道-外尔轨道,并首次发现...

【成果简介】 近日,中国科学院上海光学精密机械研究所强激光材料重点实验室研究员张龙、副研究员董红星领衔的微结构光物理研究小组,在光学谐振腔研究领...

【成果简介】 南京大学现代工程与应用科学学院周豪慎、何平团队应邀在能源材料领域刊物Adv. Energy Mater.上发表题为“Rechargeable So...

【成果简介】 近日,中国科学院合肥物质科学研究院等离子体物理研究所托卡马克物理研究室在破裂逃逸电子研究中取得新进展,相关研究成果以“Runaway electr...

【成果简介】 9月13日,吕文中教授和雷文副教授团队的研究论文以“Controllable τf value of barium silicate microw...

【成果简介】 近日,中国科学院大连化学物理研究所二维材料与能源器件研究组研究员吴忠帅,与中科院院士包信和合作,在新概念、平面化、自集成的石墨烯基超级电容器研究中...

【成果简介】 近日,中国科学院深圳先进技术研究院功能薄膜材料研究中心研究员唐永炳及其研究团队,联合中科院物理研究所研究员谷林,研发出具有核壳结构的铝@碳纳米球复...

【成果简介】 近日,武汉大学刘正猷团队经过精巧设计并结合3D打印技术,制备了具有手征结构的外尔声子晶体,测量声的色散关系显示出清晰的外尔点,并观察到表面波的费米...

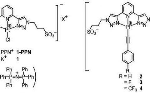
【成果简介】 中山大学化学学院李永光博士研究小组通过click反应设计合成了一类具有两亲性的磺酸根三齿Pt(II)配合物,这类配合物对VOC的刺激响应具有高度的...

【成果简介】 同济大学材料学院裴艳中教授课题组利用元胞中原子数目衡量材料晶体结构的复杂度、利用声音传播速度表征材料的化学键强,从而得出声学波截止频率是开发具有特...

【成果简介】 清华大学化学系王泉明教授课题组通过发展理性合成策略对团簇的发光核心进行保护,以避免溶剂、氧气等物质对发光的不利影响,从而实现溶液中团簇的强磷光发射...

【成果简介】 近日,中国科学院深圳先进技术研究院先进材料研究中心汪正平与孙蓉领导的先进电子封装材料科研团队成功研发出一种具有低成本、可印刷、高电导率等功能特性的...