当前位置: 材料牛 » HTH官网地址 » 导读 » Adv. Energy Mater. 北航:看如何掌握热电材料中的1+1>2效应,获得高性能热电材料

Adv. Energy Mater. 北航:看如何掌握热电材料中的1+1>2效应,获得高性能热电材料

【引言】

热电材料,在热电转换上的能力有目共睹,关键就是要充分挖掘这类材料的能力,提高热电转换性能,最直观的判断依据就是考察材料的ZT(ZT =S2σT /κ)值。ZT值越高,说明材料的热电性能越好。过去几十年间,ZT值在通过提高功率系数S2σ或是降低热导率κ得到了一定的提高,再者就是可发现一些具本征低热导率的材料来作为新型候选热电材料。

【成果简介】

北京航空航天大学的赵立东教授和美国西北大学的Mercouri G. Kanatzidis(共同通讯作者)等人构建PbTe1−xSex-2%Na-y%SrTe体系,并证实PbTe0.85Se0.15-2%Na-4%SrTe在923K时具最大ZT值2.3。这主要通过修正电子能带结构,构建全尺度的多级层状结构并将这两种效应结合起来实现。同时PbTe0.85Se0.15-2%Na-4%SrTe在300-873K的温度之间,平均ZT值还能达到1.23,这很大程度上超过了很多类型的热电材料。PbTe1−xSex-2%Na-y%SrTe的制备可选择PbTe-2Na-4SrTe或是PbTe0.85Se0.15-2Na作为基底实现高性能。室温下,随着SrTe含量的增加,载流子迁移率改变的不明显,但加入5.0%的SrTe时,晶格热导率却会显著的从1.1降低至大约0.82W m-1 K-1,在923K下晶格热导率则会从0.59降低至0.43 W m-1 K-1。由于晶带结构改变,提高Se组分,PbTe1−xSex-2%Na-y%SrTe体系也会达到最大功率系数。

【图文导读】

图一、高性能PbTe0.85Se0.15-2%Na-4%SrTe样品制备流程

通过结合能带结构工程与全尺度的多级层次结构化,获得高性能PbTe0.85Se0.15-2%Na-4%SrTe样品的可选路线。

图二、PbTe1−xSex-2Na-4SrTe的表征及各参数的测定

(a) XRD图谱                                                                       (b) 晶格参数

(c) 电子吸收光谱                                                               (d) 能隙改变

图三、PbTe1−xSex-2Na-4SrTe的电子运输性质

(a) 电导率随温度的改变                                       (b) 室温下,载流子浓度随Se含量的改变

图四、PbTe1−xSex-2Na-4SrTe的特性及能带结构

(a)和(b)分别为PbTe1−xSex-2Na-4SrTe的赛贝克系数和霍尔系数
(c) 随着PbTe0.96Se0.04中Se组分含量的增加,PbTe1−xSex-2Na-4SrTe系统中,电子带的相对能量改变。通过扩大L和∑能带间的能量补偿,固溶体合金实现价带结构的修饰。使得∑价带的能量得到降低。因此Se合金化将提高有L和∑能带聚集的温度。因为PbTe和PbSe具有相似的能隙,因而在有Se合金化的部位对其能隙尺寸没有显著的影响。

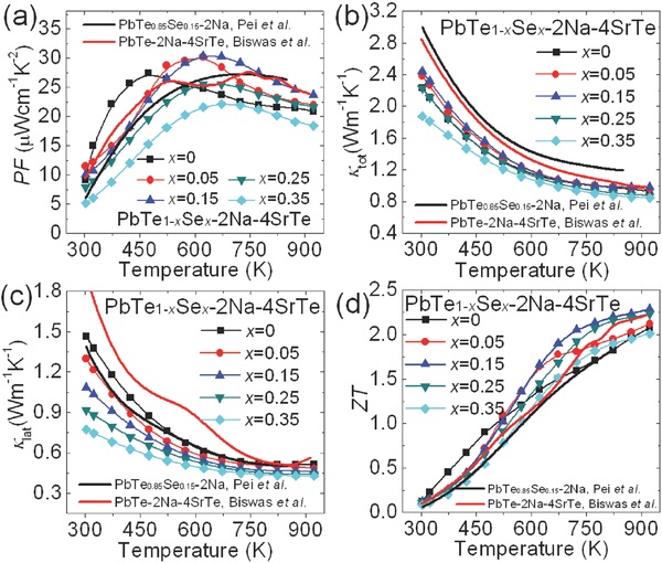
图五、PbTe1−xSex-2Na-4SrTe的热电性与温度的关系

(a) 功率系数                                                                    (b) 总热导率

(c) 晶格热导率                                                                (d) ZT值

图六、PbTe0.85Se0.15-2Na-ySrTe的表征及各参数测定

(a) XRD图谱                                                                      (b) 晶格参数

(c) 电子吸收光谱                                                               (d) 能隙改变

图七、PbTe0.85Se0.15-2Na-ySrTe的电子运输性质

(a) 电导率随温度的改变                                                     (b) 室温下,载流子浓度与迁移率随Se含量的改变

图八、PbTe0.85Se0.15-2Na-ySrTe的特性及能带结构

(a)、(b)分别为PbTe0.85Se0.15-2Na-ySrTe的赛贝克系数和霍尔系数

(c) 随着固溶体中Sr组分含量的增加,Pb1−x SrxTe0.85Se0.15系统中,电子带的相对能量改变。通过降低L能带不改变∑能量值,固溶体合金实现价带结构的修饰。

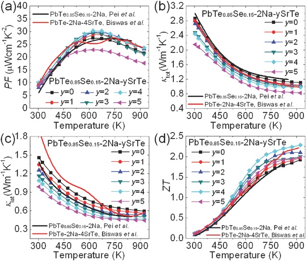
图九、PbTe0.85Se0.15-2Na-ySrTe的热电性与温度的关系

(a) 功率系数                                                                    (b) 总热导率

(c) 晶格热导率                                                                (d) ZT值

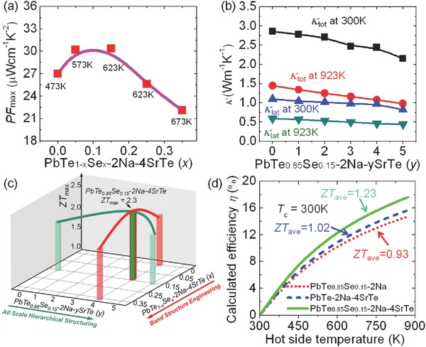
图十、Se和SrTe组分含量对样品性能的影响及材料平均ZT值

(a) PbTe1-xSex-2Na-4SrTe中,最大功率系数(PFmax)随Se组分含量的改变,表明随着Se组分的增加,PFmax向高温转移。

(b) PbTe0.85Se0.15-2Na-ySrTe中,300K(923K)下热导率随SrTe组分含量的变化,表明总的晶格热导率随着SrTe量的增加而降低

(c) 结合能带结构工程和全尺度的多级层次结构化,使PbTe0.85Se0.15-2Na-4SrTe样品达到最高ZT值2.3。

(d) 改变PbTe0.85Se0.15-2Na, PbTe-2Na-4SrTe, 和 PbTe0.85Se0.15-2Na-4SrTe的热端温度(冷端温度为300K),计算工作效率,获得样品在300-873K间的平均ZT值(ZTave

图十一、PbTe0.85Se0.15-2Na-4SrTe的微观结构

(a) 低倍放大的HAADF-STEM图

(b) HRTEM图与电子衍射图表明纳米沉积嵌入基底中

(c) HAADF-STEM图

(d-g) 分别为Se/Sr/Te/Pb的光谱图,反映出材料中的Sr和Se富沉积。

【小结】

Sr合金化掺杂对PbTe有着双重作用,(i) 降低两类价带(L和∑)间的能量补偿(△E L-∑),这有助于提高材料的赛贝克系数;(ii) 产生一普通的纳米结构,使得Sr组分含量超过其极限溶度。而Se的合金化掺杂在另一方面使价带(L和∑)分化,使材料的性能向高温移动。同时,Se的掺入会强烈散射声子,降低晶格热导率。整合这两种效应到同一材料中,就获得了具高ZT值的PbTe0.85Se0.15-2Na-4SrTe材料。

文献链接:Integrating Band Structure Engineering with All-Scale Hierarchical Structuring for High Thermoelectric Performance in PbTe System(Adv. Energy Mater.,2016,DOI:10.1002/aenm. 201601450)

本文由材料人编辑部电子电工学术组大黑天供稿,材料牛编辑整理。

材料牛网专注于跟踪材料领域HTH官网地址 及行业进展,这里汇集了各大高校硕博生、一线科研人员以及行业从业者,如果您对于跟踪材料领域HTH官网地址 进展,解读高水平文章或是评述行业有兴趣,点我加入编辑部

材料人网尊重所有进行知识传播的媒体,转载请联系tougao@cailiaoren.com。

未经允许不得转载:材料牛 » Adv. Energy Mater. 北航:看如何掌握热电材料中的1+1>2效应,获得高性能热电材料

相关文章

Baidu
map