一、【科学背景】
随着风电和太阳能发电成本快速下降,全球能源系统正加速向低碳转型。然而,高比例风光发电加剧了电力供需的时空波动性,需依赖储能、跨区域输电和灵活调峰技术平衡系统,推高整体成本。气候变化进一步放大风险:一方面,极端天气(如长时间无风无光事件)导致风光出力骤降;另一方面,气温变化加剧制冷/制热需求波动。这些因素共同导致未来电力系统供需失衡风险上升,威胁能源安全并可能延缓绿色转型。量化气候驱动的成本增量并设计韧性策略,成为构建高比例风光电力系统的关键挑战。
二、【科学创新】
近日,来自清华大学的张强教授和童丹老师课题组利用调度优化模型,评估在固定高风光渗透率下,气候强化的供需缺口导致的每小时成本潜在增长,并探索提升系统气候韧性的多元策略。研究发现:在多数国家,极端时段(即每小时成本上十分位数时段,成本最高的10%小时)未来可能更加昂贵,主因是对灵活能源容量的投资需求增加。例如,在SSP1-2.6情景下,全球未来发电量占比43.5%的47个国家,其极端时段平均每小时成本预计增长超5%,最高达23.7%。通过因地制宜的多措施协同策略(应对供需失衡并提升系统灵活性),成本上升风险可显著缓解。本研究为构建气候韧性电力系统并降低系统成本提供了关键见解。相关成果以“Strategies for climate-resilient global wind and solar power systems”为题发表在国际顶级期刊Nature上。

图1 未来气候变化下关键气候变量及其对风光出力与电力需求的影响。© 2025 Nature
a,b. SSP126 (a) 和 SSP245 (b) 情景下近地表风速平均变化;
c,d. 不同气候模型预测的国家级风速变化分布 (SSP126: c, SSP245: d);
e,f. 太阳辐射变化 (SSP126: e, SSP245: f);
g,h. 太阳辐射变化分布 (SSP126: g, SSP245: h);
i,j. 气温变化 (SSP126: i, SSP245: j);
k,l. 气温变化分布 (SSP126: k, SSP245: l);
m,n. 风光复合低出力事件持续时间变化 (SSP126: m, SSP245: n);
o,p. 风光复合低出力事件持续时间变化分布 (SSP126: o, SSP245: p);
q,r. 总需求波动变化 (SSP126: q, SSP245: r);
s,t. 总需求波动变化分布 (SSP126: s, SSP245: t)。
*注:M1-M7为七种全球气候模型;地图为多模型集合平均值;箱线图展示各模型33-67百分位(箱体)和10-90百分位(须线)范围,横线与圆点分别表示中位数和均值。

图2:未来气候变化下极端与正常时段每小时成本变化。© 2025 Nature
a,b. SSP126 (a) 和 SSP245 (b) 情景下178个国家的成本变化散点图。红/绿线分别表示极端/正常时段33-67百分位范围,垂直线/水平线表示中位数变化。

图3:SSP126情景下气候变化引致成本变化的技术驱动因素。© 2025 Nature
a,b. 26个主要国家在极端时段 (a) 和正常时段 (b) 的成本变化及技术贡献。柱状图为多模型集合平均值,竖线为33-67百分位范围,横线为中位数。

图4:SSP126情景下各策略降低气候驱动成本增加的有效性(50%概率水平)。数值表示26国平均每小时成本的相对降幅中位数(策略实施后与基线成本差)。© 2025 Nature

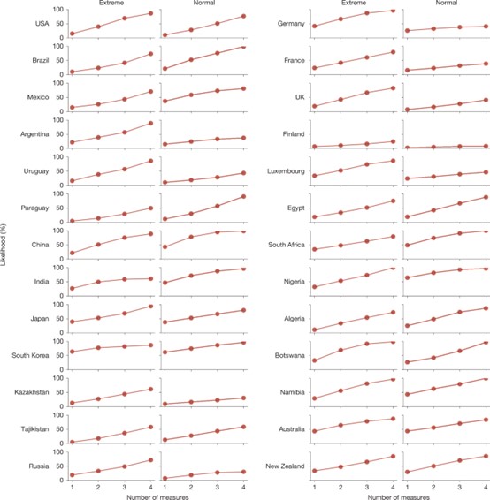
图5:SSP126情景下不同数量措施缓解成本增幅最大5%事件的概率。红线表示措施数量(1-4项)与极端/正常时段成本缓解概率的关系。© 2025 Nature
三、【科学启示】
气候变局下,风光电力系统的成本风险集中于极端时段(成本最高的10%小时),其贡献全年成本的15-30%且增幅显著(部分国家高达24%)。储能扩容与火电灵活性提升是抵御风险的核心,但单一措施效果有限。多国模拟表明:协同实施需求响应、跨区输电和储能优化可将平均成本降低9-23%,但需警惕区域风光出力同步化削弱互联效益。针对成本骤增的临界事件(如前5%高成本小时),需强化预警机制与定制化策略,以构建气候韧性电网。
本文由虚谷纳物供稿。





