研究背景
随着可持续能源技术的不断发展,电催化反应在能源转化和储存领域的重要性日益凸显。高熵合金(HEAs)因其独特的成分可调性、多元素协同效应和优异的结构稳定性,迅速成为催化领域的前沿研究方向。特别是具有有序晶格结构的高熵合金,通过精确调控元素组成和原子排列,进一步突破了传统催化材料(如贵金属、简单合金或金属氧化物)在活性、多功能性和耐久性方面的瓶颈,展现出广阔的应用潜力。然而,由于多元素更高的混合焓与更复杂的协同扩散性,有序高熵合金的形成需要克服很高的反应动力学能垒。这使得高熵合金有序化过程通常需要很高的温度和较长的退火时间。然而,采用高温长时间退火工艺制备有序高熵合金不仅会增加制备难度和成本,还会导致催化剂颗粒尺寸增大,表面活性位点的利用率降低。此外,单纯依赖调节温度来控制有序度,也不能充分发挥掺杂元素的本征活性或是性能调控特性。因此找到有效降低有序高熵合金制备温度,缩短制备时间,并且增强高熵合金催化剂的本征活性与多功能催化性能的方法,是当下的一个难点。
3.研究内容
近期,中南大学龚深教授、刘竝教授在《Advanced Functional Materials》期刊上发表了题为“Efficient Design of PtFeCoNiX Ordered High-Entropy Alloys as Multifunctional High-Performance Electrocatalysts”的文章(DOI: 10.1002/adfm.202506851)。团队提出了一种高效基础数据筛选高熵合金掺杂元素的策略。该方法通过高熵合金体系中单一掺杂元素的熔点、原子半径、电负性三个核心参数的筛选,选取最佳元素。一方面利用该元素低熔点特性降低高熵合金有序化能垒,从而可以在较低温度下快速形成有序结构。另一方面利用合理的原子半径与电负性的特性使表面原子产生表面压缩效应,从而调控与反应中间体的相互作用,使催化剂具备多功能催化性与高本征活性。
团队成员将该方法应用到典型的PtFeCoNiX五元高熵合金体系中快速筛选出Ga元素为最优掺杂元素。掺杂后高熵合金在600℃/1.5h制备条件下即呈现程度较高的L10型有序结构。当Ga原子比例以5%增量递增时,OER、ORR、HER、MOR等多个催化性能呈现一致的火山型变化,表明通过调控Ga含量可在维持L10结构的同时精准优化多个性能。达到最佳配比的样品碱性条件下OER的η10为255mV,HER的η10仅为18mV;ORR半波电位达到了0.905V,质量活性相比于商用Pt/C催化剂提升了524%。在酸性条件下MOR催化质量活性提高了589%。各个催化性能都优于目前报道的绝大多数催化剂。装配出的可充电锌空气电池相比商用催化剂在充放电功率、能量密度、稳定性等方面有着明显的增强。安培级电流下的阴离子交换膜全解水装置也展现了极好的稳定性。在随后的DFT+U计算中,文章揭示Ga掺杂诱导d带中心下移,有效调控反应中间体吸附能,佐证了策略的准确性。

图 1 PtFeCoNiX HEAs 催化剂的设计策略;(a)传统高熵合金催化剂设计方案;(b)本文提出的基于基础数据高效筛选HEAs方法。
图2展示了详细的基于基础数据高效筛选过程和 DFT 计算验证的相关过程。图 2a-c 展示了三个核心参数的筛选过程。熔点从根本上决定了是否能在低温下高效制备出具有细小分散颗粒的高有序铂基高熵合金。合理的原子半径差既能确保 HEA 结构的稳定性,又能加剧表面原子的压缩应变从而调节催化剂性能。当合金元素的电负性小于铂的特定阈值时,原子间的相互作用会加剧,键能增加,键长缩短,从而进一步增强合金表面的压缩应变效应。图 2e-f 列出了原子间混合焓和元素丰度的筛选标准。元素间的合理的混合焓可以确保自发均匀混合和 HEA 的稳定形成,从而实现均匀的固溶结构,防止相分离。元素丰度可确保催化剂的原料供应和成本控制。在经过一系列筛选后,Ga被确定为最佳掺杂元素。为佐证元素筛选的准确性,对熔点筛选后的Zn、Ga、In、Sn(安全无毒、较为常见的掺杂元素)四种元素的含氧中间体进行计算分析,验证了筛选原理,证实了筛选的准确性。

图 2 基于基础数据高效筛选过程和 DFT 计算验证的相关过程;(a)元素熔点统计分析;(b)元素原子半径统计分析;(c)元素电负性统计;(d)核心参数筛选结果;(e)不同元素之间的混合焓;(f)地壳中的元素丰度;(g)含氧中间体吸附过程(OER、ORR 过程)建模;(h)初步筛选出的元素(Pt60Fe10Co10Ni10X10)建模;(i)四种结构的计算反应能障图。
在随后的制备中,为了展现通过合理的元素比例变化对催化剂性能进行的精准调控。文章通过 5%原子增量的镓含量来调整元素组成,在保持结构完整性与合成可行性之间取得平衡。在保证Fe、Co、Ni元素比例基本上不变的条件下,设计制备了不同Ga含量的催化剂。(Pt65Fe13Co11Ni12/CNT,Pt55Fe12Co7Ni15Ga5/CNT,Pt54Fe15Co9Ni12Ga10/CNT, Pt51Fe10Co5Ni13Ga17/CNT,Pt40Fe13Co8Ni12Ga20/CNT,Pt27Fe14Co13Ni12Ga34/CNT)

图3 样品制备示意图
通过X射线衍射图(XRD)可以直观发现,无Ga催化剂样品有序程度仅为20.2%,而加入5%Ga后样品有序程度陡然增加到了85.3%,且随着Ga含量的提升,合金的有序程度不断增加。XRD揭示了低熔点Ga元素的加入显著增加了催化剂的有序程度。X射线光电子能谱(XPS)方法研究了样品表面的元素组成和价态比较。透射电子显微镜(TEM)用于表征Pt51Fe10Co5Ni13Ga17/CNT催化剂的微观形貌。两者充分说明了高熵催化剂的成功制备。

图 4 (a) PtFeCoNiGa/CNT 催化剂的 XRD 表征;(b) XPS 元素光谱;(c-g) PtFeCoNiMnGa/CNT 催化剂中铂、镓、铁、钴、镍的 XPS 高分辨率光谱。

图 5 (a-c) Pt51Fe10Co5Ni13Ga17/CNT 的 TEM 形貌;(d) Pt51Fe10Co5Ni13Ga17/CNT 晶格条纹;(e)与(d)相对应的FFT衍射斑;(f) Pt51Fe10Co5Ni13Ga17/CNT的EDS图谱。
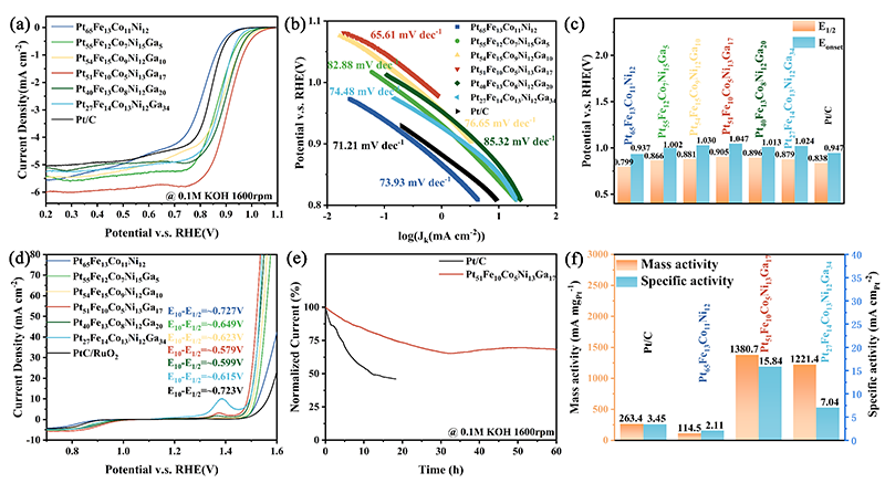
结合图6、7可以明显得到,随着Ga含量的梯度增加,催化剂的性能呈现火山型变化,表明了以5%Ga元素比例变化下,对催化剂的性能有着明显的调控。其中,Pt51Fe10Co5Ni13Ga17/CNT催化剂展现出了优异的OER/ORR双功能催化性(OER η10为254 mV;ORR半波电位为0.905 V)。

图 6 (a) PtFeCoNiGa/CNT催化剂和RuO2在1M KOH中OER的LSV曲线;(b) PtFeCoNiGa/CNT催化剂和RuO2的Tafel图;(c) PtFeCoNiGa/CNT催化剂和RuO2在10和100 mA cm-2 时的性能柱状图;(d) EIS Nyquist图;(e) PtFeCoNiGa/CNT催化剂和RuO2的ECSA;(f)PtFeCoNiGa/CNT和RuO2在10 mA cm-2 时1M KOH中的CP曲线;

图 7 (a) 在 0.1M KOH 溶液中1600 rpm转速时的LSV 曲线;(b) ORR的Tafel图;(c) PtFeCoNiGa/CNT 催化剂与Pt/C的开路电压与半波电位柱状图;(d)双功能OER/ORR 极化;(e) 1600rpm 时 Pt51Fe10Co5Ni13Ga17/CNT 催化剂和 Pt/C 的归一化 i-t 曲线;(f) 0.9 V时MA和SA的性能柱状图。
为展现催化剂良好的应用前景,将17Ga样品装备至可充电锌空气电池的空气电极中,与商业催化剂相比,其展现了优异的充放电性能与稳定性。

图8 (a)锌空气电池实物图;(b) Pt51Fe10Co5Ni13Ga17/CNT 和商用催化剂的充放电曲线;(c)放电曲线和相应的面积功率图;(d) 开路电压;(e)比容量图;(f)能量密度图;(g) Pt51Fe10Co5Ni13Ga17/CNT催化剂和商用催化剂在5mA cm-2下的稳定性。
为了进一步探究催化剂的多功能催化性,对催化剂的HER性能与MOR性能进行了测试。在两个测试中同样观察到了性能呈现火山型变化。其中,17Ga催化剂在1M KOH条件下HER η10仅为18mV,MOR质量活性达到了3059.8 mA mgPt-1。总之,经过精确调控下的催化剂拥有着优异的OER、ORR、HER、MOR多功能催化性能。

图 9 (a) PtFeCoNiGa/CNT在1 M KOH 中HER的LSV曲线;(b) PtFeCoNiGa/CNT 催化剂和Pt/C在10 和100 mA cm-2 时的性能柱状图;(c) HER Tafel图;(d-e) PtFeCoNiGa/CNT和Pt/C 在0.5M H2SO4+1M CH3OH.溶液中MOR性能图;(f) Pt51Fe10Co5Ni13Ga17/CNT 催化剂与商用催化剂的性能比较;(g-i) Pt51Fe10Co5Ni13Ga17/CNT 催化剂与许多已报道的铂基催化剂和其他类型催化剂的核心性能比较(HER OER的η10;ORR的E1/2;MOR的MA)。
为了进一步验证Ga元素对催化剂本征活性和多功能催化性的调节,文章对不同比例的催化剂进行了D能带计算与中间体吸附能计算。计算结果显示,随着Ga含量的提升,催化剂d带中心逐渐原理费米能级,表明了表面压缩程度的不断加剧。DFT计算有效佐证了文章策略的正确性。当Ga元素不断增加时,催化剂表面压缩程度越大,d能带越原理费米能级,表面与中间体的相互作用力越小。根据萨巴蒂理论,催化剂表面与反应中间体的相互作用应达到一个合理范围,催化剂可以展现出最佳吸附/脱附效率,进而展现出优异的催化性能。当Ga含量达到17%时,催化剂反应效率最佳,且有着最小的反应能垒。

图 10 PtFeCoNiGa/CNT 催化剂的计算的d波段态密度。

图 11 吸附过程和含氧中间产物模型(OER ORR);(b-g)不同原子比的铂铁镍钴镓/碳纳米管催化剂结构的计算反应能垒
4.结论
结合 DFT 计算和初步催化实验,证实了本研究提出的基础数据引导的 HEAs 掺杂筛选策略的有效性。新合成的 PtFeCoNiGa/CNT 材料在 600℃/1.5h 退火后出现了 L10 有序结构,其有序度与 Ga 含量呈正相关。相比之下,PtFeCoNi/CNT 材料在相同条件下的结构有序化程度很低,这表明镓的加入大大降低了有序化过程的动能势垒,促进了有序 HEA 的形成。催化测试表明,Ga的引入赋予了材料在OER、ORR、HER和MOR优异的多功能催化能力。重要的是,在严格保持Fe、Co、Ni原子比例的情况下,镓的含量以 5%的增量递增,PtFeCoNiGa/CNT催化剂在所有催化指标上几乎都表现出火山型趋势。这些研究结果表明,在最佳范围内调整 Ga 原子比例,可以在不会影响 L10 有序结构的前提下可实现精确的性能调节,完全符合本研究中概述的设计原则。
最佳组分 Pt51Fe10Co5Ni13Ga17/CNT 具有优异的OER、ORR、HER、MOR多功能催化性能,其单个催化性能优于迄今报道的绝大多数催化剂。当装配到可充电锌-空气电池中时,它的峰值功率密度达到 118 mW cm-2(商用 Pt/C + RuO2:86 mW cm-2),比容量为 801.99 mAh g-1(商用 Pt/C + RuO2:758.61 mAh g-1),并且在连续充放电循环 200 小时后无明显衰减。在阴离子交换膜全解水装置中,在安培级电流催化下稳定性超过200h。这些结果验证了该催化剂在实际条件下的多功能催化性能,并凸显了其在工业应用方面的潜力。催化剂拥有优异的催化性能的原因有三:1)稳定了L10有序结构。2)在低温短时条件下催化剂颗粒细小弥散。3)Ga元素产生的表面压缩效应对性能的进一步精确调节。
利用 DFT 计算了所有设计催化剂的 D 带中心计算结果和催化中间体吸附能。结果表明,随着镓含量的增加,D带中心单调地向下移动,表面催化剂表面压缩程度逐渐增加,从而降低了与催化中间体的结合强度。当相互作用达到合理值时,展现出优异的中间体吸附/脱附效率,这一趋势解释了Ga诱导的催化调制机制,并验证了该文章提出策略的准确性。
文章信息
- Luan, J. Zhao, T. Gao, F. Wang, H. Xu, Z. Song, L. Luo, S. Gong, B. Liu, Efficient Design of PtFeCoNiX Ordered High‐Entropy Alloys as Multifunctional High‐Performance Electrocatalysts. Adv. Funct. Mater.2025, 2506851.





