日本长野信州大学Nat.Energy.:石墨烯包覆纳米多孔碳中高密度甲烷的常压储存
一、【科学背景】
在当今社会以及未来,甲烷(CH4)作为一种重要能源对人类社会发展将做出持续贡献,但低体积能量密度限制了人类对它的储存和利用。目前已知常用的储存方法主要为液化天然气(LNG)和压缩天然气(CNG)。但相关储存和运输需要使用昂贵的低温系统和隔热储存容器,并且甲烷不能在环境温度下液化,而必须在高压(约25 MPa)下作为压缩气体储存。当然,尽管它可以在中等压力(例如3.5 MPa)下储存在纳米多孔材料中,但这种“吸附天然气”方法可能会在温度略有升高的情况下发生大量解吸。幸运的是,吸附天然气(ANG)技术旨在通过在相对较低的压力下将CH4物理吸附到纳米孔中来应对这些挑战。
值得注意的是,ANG技术仍然面临着一些挑战。例如,CH4的物理吸附高度依赖于温度,这意味着ANG储存容器必须经过合理设计,以适应温度变化引起的巨大压力波动。此外,在ANG系统中,压力为3.5 MPa的CH4仍被归类为压缩气体,需要设计特殊的安全措施和具有高压额定值的储存容器。
二、【创新成果】
基于上述挑战,近期日本长野信州大学Isamu Moriguchi教授团队设计了一种石墨烯包覆的多孔碳材料,研究人员在高表面积碳(AC)上化学气相沉积石墨烯来合成石墨烯涂层碳,它能够在高压下充注CH4,并在常压和常温(低于318 K)下持续储存CH4,从而提高了储存安全性。研究数据表明,石墨烯起到了热控锁的作用,能够阻塞或激活孔隙以捕获或释放CH4,在298 K时实现了相当于19.9 MPa的压力负载,并在加热至473 K时释放。在考虑容器空间利用率的情况下,由此产生的可逆CH4容积容量达到142 v/v,超过了各种吸附天然气材料在3.5 MPa 和 298 K 时的容量。

图1石墨烯涂层碳材料的表征;© Springer Nature Limited 2025
研究人员设计了具有阻隔/活化功能的碳孔,多孔碳由具有化学活性边缘的石墨单元组成。当暴露于富含活性碳原子的环境中时,例如在CH4热解过程中,碳原子优先沉积在这些边缘上,形成石墨烯片,在环境温度下可以相互作用并阻碍纳米孔。加热后,石墨烯片弯曲运动的增加会激活孔隙。如图1所示,研究展示了碳边缘上的石墨烯生长模型,与分子动力学模拟得出的模型结构相对应。研究人员证明了石墨烯涂层碳的低密度优势,突显了石墨烯涂层下方存在孔隙,即使是氦气,在环境温度下也无法进入孔隙。拉曼光谱和XRD图案也证明了石墨烯涂层碳材料的成功制备。

图2 CH4储存/释放模型和CH4储存性能;© Springer Nature Limited 2025
随后,研究人员强调了孔入口处的石墨烯涂层能够通过温度调节实现对CH4的封装、储存和受控释放。如图2所示,研究发现,在环境温度下,石墨烯涂覆的孔仍然无法被CH4分子接触到。当加热至473 K、 与之接触的石墨烯层开始协同弯曲和变形,激活孔隙并允许CH4在高压下进入。随后将系统冷却至298 K实现CH4分子的捕获,其释放可以通过重新加热至473 K激活孔隙来实现。石墨烯包覆碳的孔活化/阻塞效应得到了温度依赖性透射电镜扫描观察的支持,298 K下,石墨烯组件呈现出连续无缝的边缘,相比之下,在473 K下,堵塞的孔被打开,但将温度降至298 K时,孔隙似乎重新被闭合,并且这一过程可以通过循环温度变化来重复。这些观察结果表明,温度调节控制着可逆的孔隙堵塞/活化机制。

图3 孔隙堵塞/活化的表征; © Springer Nature Limited 2025
如图3所示,通过一系列的结构表征,研究人员进一步探讨了温度变化对孔隙阻塞/活化的影响机制。拉曼光谱使微小石墨结构随温度的变化得以被研究。涂覆石墨烯的D和G波段频率峰更高,表明涂覆石墨烯材料有更高比例的有序结构。在XRD图中,涂层石墨烯的(002)峰应源自无序堆叠的石墨烯层。AC的(002)峰没有随着温度的升高而移动,而涂层石墨烯的峰则移动到了更低的角度,这表明在AC上生长的石墨烯层比石墨更具可膨胀性。后续研究表明,CH4的储存只发生在石墨烯涂层的碳中,与AC相反,在125分钟记录的CH4压力降至环境水平后,CH4的保留量证明了这一点。通过调节压力和温度,可以证明CH4的可逆包封和释放。

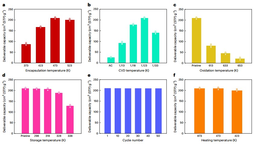
图4 石墨烯涂层碳中CH4储存性能的评估;© Springer Nature Limited 2025
如图4所示,研究发现,石墨烯包覆碳中CH4的储藏量随包覆温度的增加而减少,较低的包封温度不能为CH4提供足够的通道,而较高的包封温度不利于CH4在纳米孔中的物理吸附。涂覆在碳孔入口上的石墨烯具有温度驱动的孔堵塞效应,其坚固性随着化学气相沉积温度的升高而增加。研究人员检查了涂层石墨烯的坚固性对CH4存储性能的影响,结果发现,没有涂层石墨烯的多孔碳储存的CH4很少,这是因为在环境条件下,高压CH4很容易从可自由进入的孔隙中解吸。相反,用石墨烯涂层堵塞碳孔显著提高了CH4的储存能力。
该研究介绍了一种有效将CH4储存在石墨烯涂层碳中的新方法,开发了安全、高效、可循环的CH4存储新模式。文章以“Ambient pressure storage of high-density methane in nanoporous carbon coated with graphene”为题发表在国际顶级期刊Nature energy上,引起了相关领域研究人员热议。

三、【科学启迪】
综上所述,研究人员介绍了一种将CH4储存在石墨烯涂层碳中的新方法。该研究沉积的石墨烯覆盖了碳孔的入口以阻塞孔,并且在低于318 K的环境条件下足够坚固,可以保留大量的CH4。研究人员利用473 K低温余热活化碳材料,可以实现CH4释放。此外,常压储存CH4大大减轻了高压环境的安全隐患。该研究概述的方法为安全、高效和具有成本效益的CH4存储解决方案铺平了道路。
文献链接:Ambient pressure storage of high-density methane in nanoporous carbon coated with graphene,2025,https://doi.org/10.1038/s41560-025-01783-z)
本文由LWB供稿。





