王彪团队惠均,李润霞教授等人基于APT和DFT分析了硅对铜原子的排斥效应对铝合金的强度和延展性的影响, 文章信息: Repelling effect of Si on Cu atoms enhances the strength and ductility of Al alloys: Atom probe tomography and first-principles analysis, https://doi.org/10.1016/j.msea.2025.147888. 联系通讯作者惠均(Jun Hui), huijun@dgut.edu.cn。
简介
通过APT和DFT分析了纳米富铜相和Si-Cu团簇的有序转化行为。首先,实验发现白色薄膜Cu沉淀在疏松的Si结构内,温度诱导Si结构内高浓度的Cu的流失和亚稳态Cu~Si团簇的形成; Cu溶解在Al合金内加速了纳米富Cu相的析出; 其次, Cu从Si相和Ci-Si团簇流失归因于“Like charges repel”和“体积排斥”机制,高温促进流失的Cu溶解在Al合金内,Cu与Al的强结合有利于纳米富Cu相的析出. 通过AIMD发现Si促进了Cu原子向空位扩散高温下。通过原子层次分析纳米析出相和Cu~Si团簇的形成机理,这为Al合金强度,硬度和韧性提高的机理提供了解释(AIMD动画图见原文)。

图 1:(a)应力-应变曲线;(b)合金的拉伸/屈服强度与时效时间的相关性;(c)合金硬度与时效时间的相关性;(d)共晶硅相的晶粒尺寸与时效时间的相关性;红色、蓝色和绿色箭头分别表示铸造、固溶和峰值时效状态下的铜浓度。

图 2:(a)Si 相在铸造、固溶和峰值老化状态下的线扫描结果;(b)Al 合金在深度腐蚀(0.2% HF 腐蚀 30 分钟)后的微观结构;(c)合金在铸造和峰值老化状态下的 X 射线衍射能谱;(d)明视场 TEM 图;(e)高分辨率 TEM 图;以及(f)沿 [100] 轴的高分辨率 TEM 图。

图 3. 处于峰值老化状态的铝合金的三维 APT 分析。(a) 铝基体中富铜沉淀的三维 APT 重建;(b) 柱状区域的浓度分布;(c) 铝基体中铜硅团簇沉淀的三维 APT 重建;(d) 柱状区域的浓度分布。

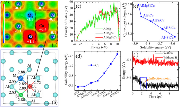
图4: (a)Al合金的电荷密度和电荷转移,(b)Al合金中元素间的键长,(c) AlMg, AlMgSi, AlMgSiCu的电荷密度, (d)Al合金体系内Cu的溶解能, (e) Al合金体系内Cu的溶解能和维诺体积的相关性,(e)有无Si的能量波动在时效温度下。
综上,Cu从Si相和Ci-Si团簇流失归因于“Like charges repel”和“体积排斥”机制,高温促进流失的Cu溶解在Al合金内,Cu与Al的强结合(i.e. 成键)有利于纳米富Cu相的析出。另外,疏松的Si相会诱导Cu元素的残余,应力会加速高能Cu~Si结构的失稳或开裂。因此,纳米析出相和合理的Cu浓度有益于Al合金强度,硬度和韧性的提高。虽然铸造铝合金内的纳米析出相的强化机制已经被研究,但是纳米析出相析出机理或强化机制背后的机制还没有被报道,本文通过APT和DFT分析了Si的排斥机制和Cu的有序转换机理将为航天用轻质铝合金的开发提供强力支撑。同时,本文实验和模拟结合的研究方法也可以运用在其他材料体系内。





