【导读】
苯及其同系物是基本的化工原料,其中典型的苯系物包括苯、甲苯、乙苯和二甲苯,广泛应用于石油化工、制药和涂料等领域。然而,BTEX具有神经毒性,易挥发,即使低浓度的BTEX也会引起神经衰弱、头痛等症状。因此,在真实环境中对BTEX进行实时、准确的检测具有重要意义。近年来,气相色谱-质谱、高效液相色谱、荧光探针等多种检测技术被用于BTEX的检测。然而,这些检测方法依赖于体积庞大且昂贵的仪器,这极大地阻碍了它们在特定环境中的应用。因此,开发一种灵活的检测技术对于高效检测BTEX至关重要。
值得一提的是,金属氧化物半导体(MOS)因其易于合成、低成本和强大的传感行为而备受关注,使其成为分子识别的有希望的候选者。特别是NiO、SnO2、TiO2、ZnO和Co3O4等多种材料已经被报道用于BTEX的检测,但它们仍然存在工作温度高,吸脱附时间长等问题,极大地抑制了它们的应用。重要的是,BTEX具有惰性化学性质,而传统MOS材料的表面活性位点有限,表面反应性质弱,导致其传感性能较差。
【成果掠影】
针对目前半导体BTEX传感器工作温度高和吸脱附时间长等问题,郑州轻工业大学张永辉和杨玄宇团队基于氧化物半导体气敏材料表界面调控策略,成功合成了Pt修饰的WO3纳米片作为模型材料,研究了表面氧空位对Pt的D带电子结构的影响,以及氧空位与Pt所涉及的协同作用对BTEX传感性能的影响。值得注意的是,通过调节材料表面氧空位浓度可以系统的调节Pt的D带电子结构。特别是,Pt/WO3-400在140 ℃的较低工作温度下对50 ppm乙苯、苯、甲苯和二甲苯分别为S=377.33、365.21、348.45和319.23,以及良好的可靠性(σ=0.14)和传感稳定性(φ=0.08%)。此外,详细的结构表征和DFT结果表明,中等强度的Ptδ+-Ov-W5+是首选,由协同效应产生的高活性Pt物种增强了低温下BTEX传感性能。
【核心创新点】
通过在不同温度下处理来制备具有单独MSI的Pt修饰的WO3纳米片用于检测BTEX。研究了材料表面氧空位浓度对Pt的D带电子结构的影响以及氧空位和Pt协同效应与材料传感性能之间的关系。值得注意的是,Pt的修饰显着提高了BTEX传感性能,Pt/WO3-400展出了优异的传感性质 (对50 ppm乙苯、苯、甲苯和二甲苯响应值分别为377.33、365.21、348.45和319.23),以及良好的可靠性(σ=0.14)和传感稳定性(φ=0.08%),增强BTEX传感行为归因于Pt-WO3界面的协同效应。适度的Ptδ+-Ov-W5+相互作用有利于生成具有高迁移率的活性O2–(ad)物质,从而保证了材料具有优异的表面反应能力。
【成果启示】
利用Pt修饰的WO3纳米片作为模型材料,研究了MSI对传感性能的影响,MSI而产生高迁移率表面O2-(ad)物种。中等强度的Ptδ+-Ov-W5+是首选,由协同效应产生的高活性Pt物种增强了低温下BTEX的感知。这有助于提高BTEX的高效传感性能。我们的工作为高性能表面反应材料的设计提供了新的见解。
【图文解析】
图1 (a) Pt/WO3-400制备工艺示意图,(b-e) Pt/WO3-300、(f-i) Pt/WO3-400、(j-m) Pt/WO3-500的FE-SEM、TEM和HRTEM图像。

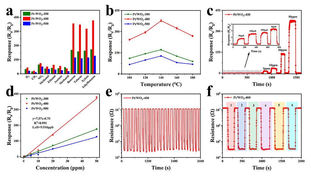
图2 (a) Pt/WO3-x (x=300、400、500)在140 ℃下对浓度为50 ppm的H2、CH4、NO2、甲醇、乙醇、丙酮、甲醇、苯、甲苯和乙苯气体的传感响应。(b)所获得的传感器在不同工作温度下对50 ppm乙苯的传感响应。(c) 140 ℃下Pt/WO3-400对不同浓度乙苯(0.05~50 ppm乙苯)的传感响应。(d) Pt/WO3-x (x=300、400、500)在140 ℃下的线性拟合曲线。(e) Pt/WO3-400传感器通过50 ppm乙苯在140℃下26次循环的稳定性。(f) Pt/WO3-400传感器在140℃时的干扰选择性。

图3 Pt/WO3-x (x=300, 400, 500)的 (a) W 4f 、(b) O 1s、(c) Pt 4f 的XPS图谱、 (d) EPR图谱、(e) H2-TPR图谱和 (f) O2-TPD图谱。

图4 (a) WO3-1O1O-Pt、WO3-2O-Pt和WO3-1O-Pt的简化模型。(b)乙苯吸附在Pt/WO3-400、(c) WO3-1O-Pt、WO3-2O-Pt和WO3-1O1O-Pt上的态投射密度(PDOS)。

图5 表面传感机制示意图。





