【导读】
热电转换技术是一种利用半导体材料直接将热能与电能进行相互转换的“绿色”能源技术,具有无需传动部件、运行安静、尺寸小、无污染、无磨损、可靠性高等诸多突出优点,在温差发电和微系统芯片控温制冷等领域有重大应用价值。能源使用中约有三分之二的能量以废热的形式排放到大气中,利用热电转换技术能够捕获废热发电,应用前景广阔。凭借独特的优势,热电制冷在5G/6G 通信光模块、光纤激光器等关键领域的精确温度控制上,成为唯一的解决方案。SnSe是极具发展潜力的中高温热电材料体系之一,SnSe单晶因无晶界电阻具有高加权迁移率,但电声输运呈现各向异性,在a轴方向的晶格热导率显著低于b、c轴方向。然而,高质量晶体制备困难、成本高、易解理等特点限制了其应用。相比之下,多晶SnSe易于规模化生产,具有高机械强度。尽管如此,多晶SnSe失去了单晶在特定取向上的电声输运优势,需要通过实现沿特定取向生长的低维晶粒定向排列以最大化电/热输运性能。然而,在实际操作中,控制SnSe粉体的晶体学生长取向结合定向烧结非常困难。
【成果掠影】
南京理工大学唐国栋教授等创新性提出通过设计高度择优取向纳米棒协同能带对齐提升多晶SnSe热电性能新方法,选用Ge和S作为掺杂元素,通过水热法成功设计了[1 0 0]取向生长的SnSe纳米棒。掺杂引起的晶格畸变和晶胞改变诱导了SnSe粉体生长取向从[0 1 1]变为[1 0 0]。通过单向加压的SPS烧结方式,使块体中晶粒继承了前驱体的一维构型,且所有晶粒沿轴向呈现择优取向排列。由于沿[1 0 0]方向具有最低热导率,合成的纳米棒状晶粒高度择优取向的SnSe块体获得了超低晶格热导率(0.15 W m-1 K-1),明显低于绝大多数已报道的多晶SnSe材料。同时,Ge掺杂促进了价带对齐,显著增强了塞贝克系数,进而提高了材料的功率因子。使得多晶SnSe材料获得了2.4的超高峰值ZT和高达0.9的平均ZT,宽温域热电性能的提升大幅提升了材料热电转换效率,在无毒元素掺杂的多晶SnSe材料中处于领先地位。此外,择优取向的纳米级晶粒使材料表现出了优异的力学性能,有利于材料在热电器件的应用。这一研究为通过择优取向晶粒设计开发高性能多晶热电材料提供了重要参考价值。
相关研究成果以题为“Realizing the high thermoelectric performance of highly preferentially oriented SnSe based nanorods via band alignment”发表在国际顶尖期刊Energy & Environmental Science。

【核心创新点】
1.设计了高度择优取向纳米棒结构,使多晶SnSe晶格热导率最低降至15 W m-1 K-1,低于大多数报道的多晶SnSe材料。
2.发现Ge掺杂促使能带对齐,从而在全温域大幅提升材料的电性能。
3.在多晶SnSe材料获得了4的超高峰值ZT和高达0.9的平均ZT。
4.由于纳米棒结构的晶粒细化作用,材料同时表现出优异的硬度和抗压强度。
【数据概览】

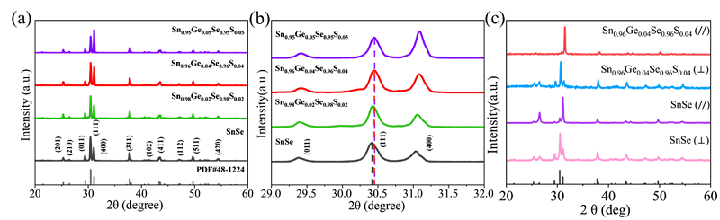
图1 (a, b)高度择优取向Sn1-xGexSe1-xSx纳米棒的粉末XRD图,(c)SPS烧结后块体样品沿平行和垂直于压力方向的XRD图。
Ge和S共掺杂诱导了SnSe晶体生长方向的改变,粉末XRD的最强峰由(1 1 1)向(4 0 0)转变,并且随着掺杂浓度的增加,这种转变更加明显。此外,块体材料沿平行烧结压力方向表现出沿[1 0 0]明显的晶粒取向。

图2 Sn0.96Ge0.04Se0.96S0.04纳米棒的SEM图和EDS分析。
利用水热法合成了横向尺寸为100 ~ 200 nm、长度为1 ~ 2 μm的沿[1 0 0]取向生长的Sn0.96Ge0.04Se0.96S0.04纳米棒。

图3 高度择优取向Sn1-xGexSe1-xSx纳米棒的(a)总热导率(kT),(b)kT与相关报道对比,(c)晶格热导率(kL),(d)kL与相关报道对比。
得益于纳米棒状晶粒的高度择优取向,多晶Sn0.96Ge0.04Se0.96S0.04样品沿平行于SPS烧结压力方向表现出极低的晶格热导率,在873 K时为0.15 Wm-1K-1。

图4 Sn0.96Ge0.04Se0.96S0.04样品的微观结构表征。(a)低倍明场STEM图像,显示出样品具有明显的纳米棒状晶粒。(b)高倍明场STEM图像观察到择优取向的纳米棒状晶粒。(c, d)纳米析出相的STEM-EDS元素图谱。(e, f)HADDF-STEM图像显示SnSe基体中存在SnS纳米析出相。(g)SnSe基体的HADDF-STEM图像,图中标出了孪晶边界(TB,绿线)和堆垛层错(SF,箭头)。
微观组织结构表征显示,样品基体中存在丰富的纳米棒状晶粒结构、纳米析出相、相界面等,形成强声子散射中心,降低晶格热导率。

图5 高度择优取向Sn1-xGexSe1-xSx纳米棒的(a)电导率,(b)载流子浓度和迁移率,(c)赛贝克系数,(d)赛贝克系数与载流子浓度依赖性,(e)功率因子,(f)品质因子。
Ge和S双掺杂优化了样品的载流子浓度,提高了材料的电导率。同时通过Ge元素掺杂引起价带对齐增大了赛贝克系数,从而在全温区大幅提升材料功率因子和B因子,有利于在宽温域实现电声输运协同调控,获得高平均ZT值。

图6 SnSe掺杂Ge和S的能带结构变化。(a)Sn24Se24,(b)Sn24Se23S,(c)Sn23GeSe24,(d)Sn23GeSe23S。
Ge元素的引入,优化了SnSe的电子能带结构,诱导多重价带对齐。

图7 高度择优取向Sn1-xGexSe1-xSx纳米棒的(a)热电优值(ZT),(b)峰值ZT(ZTmax)和平均ZT(ZTavg)与有关报道的比较,(c)维氏硬度和显微硬度,(d)抗压强度。
通过电声输运的协同调控,高度择优取向SnSe纳米棒在873 K获得了2.4的超高峰值ZT,并且在很宽的温度范围(400-873K)实现了0.9的高平均ZT,在无毒元素掺杂的多晶SnSe材料中处于领先地位。此外,择优取向的纳米级晶粒使材料表现出了优异的力学性能。
【成果启示】
综上所述,该工作利用溶液法制备了[1 0 0]取向生长的SnSe纳米棒,在纳米棒状晶粒高度择优取向的多晶SnSe中实现了平均ZT为0.9,峰值ZT达到2.4的高热电性能。鉴于单晶SnSe沿[1 0 0]方向具有本征的极低热导率,纳米棒状晶粒的高度择优取向有利于使多晶SnSe获得超低晶格热导率。同时,Ge掺杂促进了SnSe价带对齐,显著增强了塞贝克系数和功率因子,有助于在宽温度范围内优化多晶SnSe电声输运性能。同时纳米级的晶粒尺寸进一步优化了材料的力学性能,使材料获得了优异的高宽温域热电性能和力学性能。这一研究为利用微结构设计获得高热电性能材料提供了新思路。
论文信息
Realizing the high thermoelectric performance of highly preferentially oriented SnSe based nanorods via band alignment
Yaru Gong,# Pan Ying,# Qingtang Zhang, Yuqi Liu, Xinqi Huang, Wei Dou, Yujing Zhang, Di Li, Dewei Zhang, Tao Feng, Meiyu Wang,* Guang Chen,* Guodong Tang*
文章链接:https://doi.org/10.1039/D3EE04109C
DOI:10.1039/D3EE04109C





