【导读】
固态离子导体具有高离子电导率,是固态电池、固体氧化物燃料电池、电解池电化学能量转换器件的关键材料。上述器件的商业化应用将大力推动绿色能源发展,助力实现碳达峰、碳中和。深入理解材料的离子输运机制,将为研究人员开辟设计固态离子导体材料的新思路。在固态离子导体中经常观察到Meyer-Neldel规则(也称焓-熵补偿规则):在调控材料结构使离子输运活化能降低的同时,离子电导率指前因子也同时降低。该规则导致了一个不同于传统观点的结果,即活化能的降低并不总是能够提高离子电导率。然而,目前对固态离子学中Meyer-Neldel规则的基础物理理解并不全面。围绕Meyer-Neldel规则应用于固态离子导体的适用性与局限性探讨对新离子导体材料的设计开发具有重要意义。
【成果掠影】
近日,上海交通大学陈倩栎副教授团队详细诠释了Meyer-Neldel规则的概念、物理意义、适用范围以及该规则对于离子输运的影响,重点分析了固态离子导体中的焓–熵补偿关系,特别讨论了晶格振动(声子)对离子输运的贡献。该研究指出,Meyer-Neldel规则适用于成分相似和结构相似的材料。通过掺杂或应变改变此类材料的离子输运性质时,存在等动力学温度(isokinetic temperature, Tiso)限制离子电导率的提高。因此,研究等动力学温度对于设计离子电导率的调控策略具有重要意义。从等动力学温度入手,该研究解释了Meyer-Neldel规则背后的物理机制,即活化能和迁移熵之间的补偿关系,认为迁移熵与离子跳跃过程的振动频率有关。当活化能远大于环境所提供的热能时,迁移熵存在一个累计的激发贡献提供克服能垒所需的能量,即多激发熵(multi-excitation entropy)。此外,等动力学温度可通过改变材料组分或施加高压应变等实验方法确定。该研究特别关注了Meyer-Neldel规则对于离子输运的影响,有望为新型固态离子导体材料的研发指明方向。相关研究成果以“Entropy and Isokinetic Temperature in Fast Ion Transport”为题,发表在知名期刊《Advanced Science》上。

【核心创新点】
文章通过详细诠释Meyer-Neldel规则在固态离子学中的物理意义和适用范围,重点关注固态离子导体中的焓–熵补偿关系,讨论晶格振动对离子输运的贡献,为运用Meyer-Neldel规则研发新型固态离子导体材料提供了新的见解。
【数据概览】

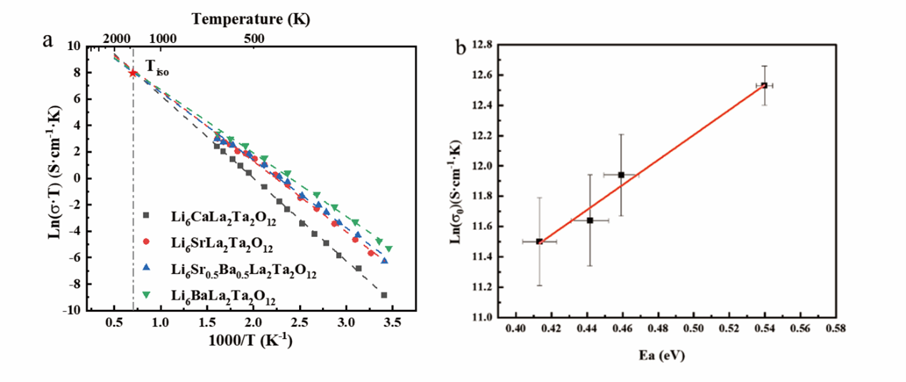
图1 石榴石型锂离子导体的离子电导率 © 2023 Wiley
(a) 阿仑尼乌斯图,图中的交点为等动力学温度。
(b) Meyer-Neldel图,显示了指前因子与离子迁移活化能的关系。

图2 等动力学温度(Tiso)对调控离子电导率的重要作用 © 2023 Wiley
(a) 区域I(蓝色)和区域II(粉色)分别表示材料温度高于和低于Tiso 的情况,离子电导率曲线i、ii和iii分别具有依次降低的活化能和指前因子。
(b) Li1-3xGaxZr2(PO4)3(x = 0, 0.02, 0.05, 0.1)的锂离子电导率。
(c) Na3PS4-xSex(x = 0, 2, 4)的钠离子电导率。

图3 高压应变下石榴石型锂离子导体Li6.4La3Zr1.4Ta0.6O12 的活化能与指前因子的关系严格遵循Meyer-Neldel规则。© 2023 Wiley

图4 (a) 钙钛矿型质子导体和 (b) 硫化物LGPS型锂离子导体中,等动力学温度和等动力学指前因子的相关性。© 2023 Wiley
【成果启示】
文章通过诠释Meyer-Neldel规则在固态离子学中的物理意义和适用范围、分析固态离子导体中的焓-熵补偿关系、讨论晶格振动对离子输运的贡献,研究了该规则对于离子输运的影响,以及对于新型快离子导体研发的指导作用,为未来围绕Meyer-Neldel规则的物理基础及实际应用等领域的研究指明了方向。
【原文信息】
Entropy and Isokinetic Temperature in Fast Ion Transport (Adv. Sci. 2023, 2305065.)
https://onlinelibrary.wiley.com/doi/10.1002/advs.202305065
本文第一作者杜朋为上海交通大学密西根学院博士,现于中国科学院上海应用物理研究所进行博士后研究。通讯作者为上海交通大学密西根学院副教授、博士生导师陈倩栎。上海交通大学密西根学院朱虹教授、瑞士联邦材料科学与技术研究所Artur Braun博士和加拿大蒙特利尔理工学院Arthur Yelon教授共同参与了研究工作。
【课题组简介】

陈倩栎,上海交通大学密西根学院副教授、博士生导师。2012年于瑞士苏黎世联邦理工大学物理专业获博士学位。2013至2015年于德国马克斯普朗克聚合物研究所从事博士后研究。主要研究材料中的离子与电子输运机制,通过揭示决定材料性能的物理化学机理,提出能源材料优化改性的新方法。入选德国洪堡学者、上海市“扬帆计划”。获得瑞士中子散射协会青年科学奖。代表性成果发表于Nature Communications、Chemical Reviews、Advanced Energy Materials、Chemistry of Materials等高水平期刊。课题组诚招2024年入学申请考核制博士生,欲了解详情,欢迎访问课题组网站:https://sites.ji.sjtu.edu.cn/qianli-chen
本文由陈倩栎课题组供稿。





