当前位置: 材料牛 » HTH官网地址 » 导读 » Advanced Science:从抑制离子迁移和释放薄膜应力的角度提高无MA钙钛矿太阳能电池效率和稳定性

Advanced Science:从抑制离子迁移和释放薄膜应力的角度提高无MA钙钛矿太阳能电池效率和稳定性

创新点

本工作使用二茂铁衍生物二苯甲酰基二茂铁 (DBzFe) 作为添加剂来提高无MA-PSC的性能和稳定性。结果表明,DBzFe的引入不仅有效提高了薄膜的质量,释放了薄膜中的残余应力,同时抑制了薄膜中的离子迁移,减少了器件中的非辐射复合。最终器件的效率达到23.53%,同时器件的稳定性也得以提高。

钙钛矿太阳能电池(PSCs)因其载流子寿命长、带隙可调、易于低温溶液法制备等优点,已成为第三代光伏市场的中流砥柱。目前,单电池钙钛矿太阳能电池的认证效率已超过26.0%,与硅基太阳能电池相当。此外,自组装单分子层(SAMs)由于其制备方法简单,也被广泛应用于叠层PSCs中。然而,基于SAMs的普通带隙PSCs却鲜有报道。因此,如何使用SAMs制备出高效稳定的一般带隙PSCs值得去探究。

日本国立电气通信大学的早濑修二/沈青团队和其合作者针对如何提高基于SAMs的PSCs器件性能,利用二苯甲酰基二茂铁 (DBzFe) 作为添加剂进行了一些探究:通过引入适量的DBzFe到钙钛矿前驱体溶液中,可以有效提高钙钛矿薄膜质量,进一步抑制薄膜中的离子迁移,释放薄膜中的残余应力,同时减少器件的非辐射复合。最终基于SAMs的PSCs效率达到23.53%。相关结果发表在Advanced Science上。文章第一作者为国立电气通信大学博士生毕欢(ORCID: 0000-0001-7680-9816, Web: https://happy-bi.github.io),通讯作者为国立电气通信大学Shuzi Hayase教授(Web: http://www.hayase.lab.uec.ac.jp/)和沈青教授(Web: http://www.shen.es.uec.ac.jp/index.htm)。

图文解析

图 1. (a) 本工作中使用的 PSC 的器件结构和 DBzFe 的静电势。(b) Pb 4f 和 (c) I 3d的XPS测试结果。 (d) FTIR 光谱。 (e) 弱相互作用的判断。

图 2. 钙钛矿薄膜的 AFM测试结果。 (c) 根据 TIPL 结果计算钙钛矿薄膜的陷阱密度。 (d) 有无修饰的薄膜的 tDOS。

图 3. (a)对照组和(b) DBzFe改性后的钙钛矿薄膜在不同ω值(0.5°–8°)下的GIXRD结果。(c) 不同薄膜的I2浸泡实验。(d)通过使用温度相关的电导率测量来评估离子迁移活化能。

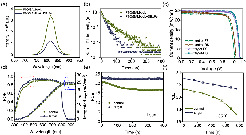
图 4. 沉积在FTO/SAM上的钙钛矿薄膜的(a)PL和(b)TRPL。(c)器件的J-V 曲线和(d)IPCE 曲线。未封装器件在(e)1个太阳光和(f)85 °C 氮气环境下老化的稳定性测量。

原文链接:

https://onlinelibrary.wiley.com/doi.org/10.1002/advs.202304790

未经允许不得转载:材料牛 » Advanced Science:从抑制离子迁移和释放薄膜应力的角度提高无MA钙钛矿太阳能电池效率和稳定性

相关文章

Baidu
map