一、【导读】
近年来,传统化石燃料过度开采导致空气中二氧化碳(CO2)含量急剧上升。而可再生电力驱动的二氧化碳(CO2)电化学转化为增值产品是缓解人为过度碳排放负面影响的一种最有前途的策略。用于CO2电还原催化剂的研发也取得了突破性进展,其中最具有代表性的就是铜基催化剂。铜基催化剂对电化学CO2还原生产多种C1和C2化学品方面表现出了显著的活性。并且C3+末端氧化合物,如正丙醇和正丁醇等也可以从CO2电还原中产生。不幸的是,丙烯(CH2= CH-CH3)作为聚合物工业中不可或缺的化学原料,却很少在CO2电还原中被观察到。有研究发现氯诱导的双相Cu2O-Cu催化剂可以实现电化学CO2还原生成丙烯,但生产效率仅仅只有0.9 %。因此,只有深入了解丙烯形成的反应途径,才能设计出具有针对性选择的催化剂。
二、【成果掠影】
近日,瑞士洛桑联邦理工学院Michael Grätzel和西安交通大学任丹教授等人通过CuCl前体合成出表面由大量Cu(100)和Cu(111)晶面组成铜纳米晶体(CuNC)。CuNC 催化剂使CO2电还原生成丙烯具有明显的选择性和产率。相关的研究成果以“Electrochemical synthesis of propylene from carbon dioxide on copper nanocrystals”为题发表在Nature Chemistry上。

三、【核心创新点】
1、作者报告了一种表面由Cu(100)和Cu(111)晶面组成的铜纳米晶体。该晶面提供了结合关键*C1和*C2物种的活性中心,与多晶铜相比,提高了CuNCs对丙烯生产的内在活性。
2、引人注目的是,当一氧化碳被用作反应物时,丙烯的产量大幅下降。从同位素标记的二氧化碳与一氧化碳混合的电化学还原中,作者推断丙烯形成的关键步骤可能是吸附的二氧化碳分子或羧基与参与乙烯途径的*C2中间体之间的耦合。
四、【数据概览】

图1 Cu CuNC 的结构和化学表征。a) CuCl 薄膜、预还原 CuNCs 和 GDL 基板的 X 射线衍射图。b )CuCl 和预还原 CuNC 的Cu 2 p和 Cl 2 p的高分辨率 XPS 光谱。c – e)溅射铜膜 ( c )、预还原后的 CuNCs ( d ) 和 CO2在-0.60 V(RHE)还原 10 分钟后的 CuNCs ( e ) 的粗糙化形成的CuCl膜的SEM。f) CuNC催化剂的高分辨率透射电子显微照片。g – j) Cu (100)面 ( g , h ) 和 Cu (111) 面 ( i , j ) 的晶格条纹。©2023 Springer Nature

图2在电化学流通池CO2还原过程中CuNC催化剂上C3产物的产生。CuNC 上烯丙醇、丙烯和正丙醇的 FE ( a ) 和部分电流密度( b )作为施加电势的函数。jgeo表示针对催化剂的几何面积归一化的电流密度。c) 丙烯在CuNCs(实线)和多晶铜(虚线)上的 FE(紫色线)和部分电流密度(橙色线)。d) 在 CuNC 和多晶铜催化剂上生产丙烯的Tafel 分析。e )在 CuNCs 上电解16小时丙烯生产的 FE(紫色线)和部分电流密度(橙色线)。©2023 Springer Nature

图3 丙烯生产关键中间体的鉴别。a , b) 丙烯的部分电流密度与乙烯( a )和乙醇 ( b )的部分电流密度的函数关系。c)CO/CO2混合物中不同 CO 百分比的 CO/CO2共进料实验期间丙烯和乙烯的生产率。d) FE和在不同电位下从 CO 还原中检测到的丙烯的分电流密度。e)在三种不同进料条件下,CuNC催化剂在-0.60 V(RHE)上的丙烯和乙烯生产率。©2023 Springer Nature

图4不同进料条件下还原的 GC-MS 分析。a , b)乙烯( a )和丙烯( b )标准气体的质谱图。c , e , g , i) 乙烯在12CO2进料 ( c ) 、13CO2 R进料 ( e ) 、80% 13CO2和 20% 12CO共同进料 ( g ) 和 20% 13CO2和 80% 12CO 共同进料 ( i ) 条件 下的质谱。 d, f, h , j ) 12CO2进料 (d)、13CO2进料 ( f )、80% 13CO2和 20% 12 CO共同进料 ( h ) 和 20% 13CO2和 80% 12CO 共同进料 ( j ) 条件下的丙烯质谱。©2023 Springer Nature

图5用于丙烯生成的*C3中间体的鉴定。a ) 在可能的C3中间体的电化学还原过程中收集的在线气相色谱图。b ) 1、5、10、25 和 50 mM 不同浓度烯丙醇电化学还原过程中收集的在线气相色谱图。©2023 Springer Nature

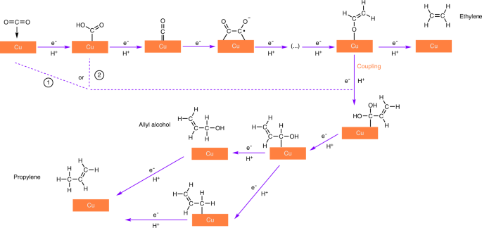
图6在铜催化剂上将CO2电还原为丙烯的机理。CO2首先被还原成*CO中间体。两个*C1中间体之间的偶联导致形成*C2中间体,后者进一步还原为C2产物,例如乙烯。可能的*C1和*C2中间体之间的偶联导致形成C3产物例如丙烯。烯丙醇的直接还原也导致丙烯的形成。©2023 Springer Nature
五、【成果启示】
综上所述。作者通过合成出表面由大量Cu(100)和Cu(111)晶面组成铜纳米晶体(CuNC)和精心设计的控制实验成功地说明CO2电还原生成丙烯过程的机理和反应途径。并且,在这个研究中发现的机制可以为设计先进的催化剂以高效生产这种关键化学原料提供机会。虽然距离大规模的实际应用还有很长的路要走,但这项研究为电化学CO2还原合成丙烯开辟了一条新途径。
原文详情:https://doi.org/10.1038/s41557-023-01163-8
本文由K . L撰稿。





