一、【导读】
开发用于替代现有铅酸电池和柴油发电机的备用电源燃料电池是一个活跃的研究领域。燃料电池技术作为备用电源以其响应速度快、低温运行、系统稳定性好、发电效率高、燃料通用性等优点受到广泛关注。特别是,质子交换膜燃料电池(PEMFC)被认为是具有最先进和最成熟的有前途的能源。然而,在酸性介质中的PEMFC通常使用铂族金属(PGM)催化剂。然而PGM催化剂因价格昂贵导致工业发展受到限制。为此有研究学者提出在碱性介质中运行,并使用不含PGM催化剂的阴离子交换膜燃料电池(AEMFC)作为替代方案。尽管 AEMFC 具有经济实力,但与商业化阶段的 PEMFC 相比,缺乏对催化作用和材料间相互作用的了解,无法实现高电流密度和耐久性。因此,合理设计并开发出用于AEMFC的无PGM有效阳极氢氧化反应(HOR)催化剂是至关重要的。
二、【成果掠影】
近日,浦项HTH官网地址 大学Yong-Tae Kim教授团队提出了一种通过将钽(Ta)作为亲氧剂沉积在商用NiMo/C催化剂的表面来增强碱性介质中HOR催化活性的策略。相关的研究成果以“Enhancement of the Hydrogen Oxidation Reaction in Alkaline Media via a Bi-functional Effect Using Tantalum as an Oxophilic Agent on NiMo/C ”为题发表在ACS Catalysis上。

三、【核心创新点】
1、作者展示了一种通过物理气相沉积(PVP)技术在商业NiMo/C上负载Ta(Ta-on-NiMo/C),作为阴离子交换膜燃料电池(AEMFC)的阳极催化剂。Ta的高亲氧性确保连续的OH–供应,Ta和Ni之间的双功能效应加速了HOR。
2、与裸露的NiMo/C相比,Ta-on-NiMo/C显示出高1.5倍的HOR活性。此外,在膜电极组件中Ta-on-NiMo/C用作阳极催化剂增强电池整体性能,并证明了Ta作为亲氧剂的作用。
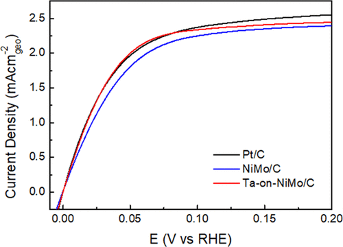
四、【数据概览】

图1 与商用 Pt/C 和 NiMo/C 相比,Ta-on-NiMo/C 的氢气氧化活性。H饱和的0.1 M KOH中 HOR极化曲线。© 2023 ACS publication

图2 初始状态,CV 测量后以及 HOR后的Ta-on-NiMo/C的 XPS光谱,(a) Ta 4f、(b) Ni 2p、(c) Mo 3d 和 (d) O 1s。© 2023 ACS publication
图3 Ta-on-NiMo/C的XANES 光谱和 FT 幅度,(a, d) Ta L2-edge、(b, e) Ni K-edge 和 (c, f) Mo K-edge。© 2023 ACS publication

图4初始状态,CV 测量后以及 HOR后的Ta-on-NiMo/C的(a) Ni K-edge 和 (b) Mo K-edge 的 XANES 光谱和 (c) Ni K-edge 的实验EXAFS信号的 FT幅度。© 2023 ACS publication

图5 MEA中商用NiMo/C 和Ta-on-NiMo/C的电化学实验。(a) AEMFC电池的极化曲线和高频电阻和(b)Tafel图。© 2023 ACS publication
五、【成果启示】
综上所述,作者成功通过磁控溅射在商业NiMo/C上沉积Ta制备了Ta-on-NiMo/C催化剂,为碱性 HOR的电催化剂性能不足提供了解决方案。Ta-on-NiMo/C的双功能效应有助于在氢解离后的质子吸附和碱性电解质中接近阴离子方面实现了最佳的协同电化学相互作用。此外,Ta-on-NiMo/C改进了膜电极组件(MEA)的性能,并为设计用于AEMFC 的不含 PGM 的阳极催化剂提供了一个新平台。
原文详情:https://doi.org/10.1021/acscatal.2c05816
本文由K . L撰稿。





